ESCUELA POLITÉCNICA NACIONAL
EXAMEN DE ALGEBRA LINEAL
1) Determinar para que valores de 𝛼 y 𝛽
a) Ǝ única solución
b) Ǝ infinitas soluciones
c) No existe solución
Resolucion:
𝛼
( 𝛼 ) 𝛽 𝛽
} s.e
a) | 𝛼
𝛼 𝛽
| 𝛼𝛽 𝛼 𝛼 𝛼 𝛽
𝛼𝛽 𝛼 𝛽
𝛼( 𝛽 ) ( 𝛽)
( 𝛽 )( 𝛼 ) .: 𝛽
.: Ǝ! Sol ( ) * +
Si 𝛼 = -2
(
𝛽
|
𝛽
) (
𝛽
|
𝛽
) (
𝛽
|
𝛽
)
( |
𝛽
) ( | )
b) Ǝ infinitas soluciones si 𝛼 = -2 y 𝛽 = -2
c) No existe solución si 𝛼 = -2 y 𝛽 ϵ - {-2}
2) Sea A ϵ Mn, tal que .
Sea
a) Hallar
b) Hallar
18
ESCUELA POLITÉCNICA NACIONAL
Resolucion:
( )
( )
B
( )
.: {
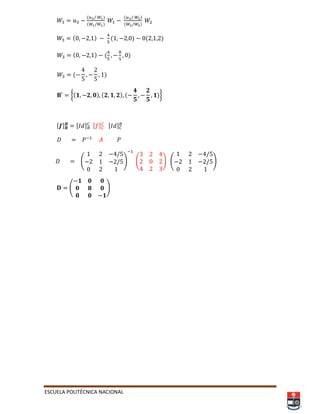
3) * 𝛼 𝛽 (𝛼 𝛼) +
a) Para que valores de 𝛼 y 𝛽 S es L.D.
b) Para 𝛼= -2 hallar el s.e.v. Generado por S
Resolucion:
a) ( ) ( ) ( 𝛼 𝛽 ) (
( 𝛼 𝛼) )
| | | 𝛼
𝛽 ( 𝛼 𝛼)
| = 𝛼 𝛼 𝛽 𝛼 𝛽 𝛼 𝛼
.: Ǝ infinitas soluciones para 𝛼 ϵ - {-2,1} 𝛽 ϵ
.: S es L.D.
b) Para 𝛼 = - 2
*( ) ( ) ( ) ( 𝛽 )
( )}
ESCUELA POLITÉCNICA NACIONAL
(
𝛽
| ) (
𝛽
| ) ( 𝛽 | )
*( ) +
4.- Sea ( ) un e.v con producto interno (/)
* + ( ) ( ) ( )
A partir de S calcule una base ortogonal de conociendo que:
/ = 0 ( / )=0 ( / )
Resolucion:
* +
⁄ ⁄
⁄ ⁄ √ ⁄ √ ⁄
⁄ ⁄ ⁄⁄
⁄ ( / )
( )
( )
⁄
⁄
⁄
⁄
⁄
⁄
⁄
⁄
ESCUELA POLITÉCNICA NACIONAL
( )
( )
( )
( )
( )
( )
( )
( )
*( )( )( )+
5) ( )
( ) ( ) ( ) ( ) ( )
*( ) ( ) ( )+ * + Bases de y ( )
a) Hallar , - C1 y C2 son bases canónicas
b) Utilizando matrices cambio de base hallar , -
Resolucion:
a) ( ) ( ) 𝛼 ( ) 𝛽 ( ) ( )
( ) ( ) 𝛼 ( ) 𝛽 ( ) ( )
( ) ( ) 𝛼 ( ) 𝛽 ( ) ( )
𝛼
𝛽
𝛾
| | |} s.e
( | ) ⟹ , - ( )
b) , - , - , - , -
, - ( )
( ) ( ) 𝛼( ) 𝛽( ) 𝛾( )
( ) ( ) 𝛼( ) 𝛽( ) 𝛾( )
( ) ( ) 𝛼( ) 𝛽( ) 𝛾( )
𝛼
𝛼 𝛽
𝛽 𝛾
} s.e
( | ) ( | ) ( | )
ESCUELA POLITÉCNICA NACIONAL
, - ( )
, - ( ) ( ) ( )
, - ( )
6) , - ( ) C es la Base canónica de
a) Determinar
Resolucion:
Base canónica de *( ) ( ) ( )+
( ) ( ) 𝛼 ( ) 𝛽 ( ) ( )
( ) ( ) ( ) ( )
( ) ( ) 𝛼 ( ) 𝛽 ( ) ( )
( ) ( ) ( ) ( )
( ) ( ) 𝛼 ( ) 𝛽 ( ) ( )
( ) ( ) ( ) ( )
( ) 𝛼( ) 𝛽( ) ( )
( ) 𝛼 ( ) 𝛽 ( ) ( )
( ) ( ) ( ) ( )
( ) ( )
→
ESCUELA POLITÉCNICA NACIONAL
( ) ( ) ( )
*( ) ( ) ( )+
*( ) ( ) ( )+
*( ) ( ) ( )+
*( ) ( ) ( )+
( | | |)
*( ) +
*( )+ ⟹ Dim. del Nf = 0 ⟹ INYECTIVA
Imgf = Todos los elementos del conjunto de llegada ⟹ Dim. de Imgf = 3
Dim. de Imgf + Dim. de Nf = Dim. de
3 + 0 = 3 ⟹ SOBREYECTIVA
→
( ) ( ) ( )
7) ( ) Matriz asociada a ( )
a) Diagonalizar ortogonalmente la matriz A
Resolucion:
| |
| | | | | |=
( ) | | ( ),( )( ) -
( ),( -
ESCUELA POLITÉCNICA NACIONAL
( ), - ( ),( )( )-
⟹
Para λ = -1
( | ) ( | )
*( ) +
*( ) +
* ( ) ( ) +
*( ) ( )+
Para λ = 8
( | ) ( | ) ( | )
( | ) ( | ) ( | )
*( ) +
*( ) +
*( )+
*( ) ( ) ( )+
( ) ⟹ u1, u2 ORTOGONAL
ESCUELA POLITÉCNICA NACIONAL
( )
( )
( )
( )
( ) ( ) ( )
( ) ( )
( )
{( ) ( ) ( )}
, - , - , - , -
( ) ( ) ( )
( )

Examen de algebra lineal 18

  • 1.
    ESCUELA POLITÉCNICA NACIONAL EXAMENDE ALGEBRA LINEAL 1) Determinar para que valores de 𝛼 y 𝛽 a) Ǝ única solución b) Ǝ infinitas soluciones c) No existe solución Resolucion: 𝛼 ( 𝛼 ) 𝛽 𝛽 } s.e a) | 𝛼 𝛼 𝛽 | 𝛼𝛽 𝛼 𝛼 𝛼 𝛽 𝛼𝛽 𝛼 𝛽 𝛼( 𝛽 ) ( 𝛽) ( 𝛽 )( 𝛼 ) .: 𝛽 .: Ǝ! Sol ( ) * + Si 𝛼 = -2 ( 𝛽 | 𝛽 ) ( 𝛽 | 𝛽 ) ( 𝛽 | 𝛽 ) ( | 𝛽 ) ( | ) b) Ǝ infinitas soluciones si 𝛼 = -2 y 𝛽 = -2 c) No existe solución si 𝛼 = -2 y 𝛽 ϵ - {-2} 2) Sea A ϵ Mn, tal que . Sea a) Hallar b) Hallar 18
  • 2.
    ESCUELA POLITÉCNICA NACIONAL Resolucion: () ( ) B ( ) .: { 3) * 𝛼 𝛽 (𝛼 𝛼) + a) Para que valores de 𝛼 y 𝛽 S es L.D. b) Para 𝛼= -2 hallar el s.e.v. Generado por S Resolucion: a) ( ) ( ) ( 𝛼 𝛽 ) ( ( 𝛼 𝛼) ) | | | 𝛼 𝛽 ( 𝛼 𝛼) | = 𝛼 𝛼 𝛽 𝛼 𝛽 𝛼 𝛼 .: Ǝ infinitas soluciones para 𝛼 ϵ - {-2,1} 𝛽 ϵ .: S es L.D. b) Para 𝛼 = - 2 *( ) ( ) ( ) ( 𝛽 ) ( )}
  • 3.
    ESCUELA POLITÉCNICA NACIONAL ( 𝛽 |) ( 𝛽 | ) ( 𝛽 | ) *( ) + 4.- Sea ( ) un e.v con producto interno (/) * + ( ) ( ) ( ) A partir de S calcule una base ortogonal de conociendo que: / = 0 ( / )=0 ( / ) Resolucion: * + ⁄ ⁄ ⁄ ⁄ √ ⁄ √ ⁄ ⁄ ⁄ ⁄⁄ ⁄ ( / ) ( ) ( ) ⁄ ⁄ ⁄ ⁄ ⁄ ⁄ ⁄ ⁄
  • 4.
    ESCUELA POLITÉCNICA NACIONAL () ( ) ( ) ( ) ( ) ( ) ( ) ( ) *( )( )( )+ 5) ( ) ( ) ( ) ( ) ( ) ( ) *( ) ( ) ( )+ * + Bases de y ( ) a) Hallar , - C1 y C2 son bases canónicas b) Utilizando matrices cambio de base hallar , - Resolucion: a) ( ) ( ) 𝛼 ( ) 𝛽 ( ) ( ) ( ) ( ) 𝛼 ( ) 𝛽 ( ) ( ) ( ) ( ) 𝛼 ( ) 𝛽 ( ) ( ) 𝛼 𝛽 𝛾 | | |} s.e ( | ) ⟹ , - ( ) b) , - , - , - , - , - ( ) ( ) ( ) 𝛼( ) 𝛽( ) 𝛾( ) ( ) ( ) 𝛼( ) 𝛽( ) 𝛾( ) ( ) ( ) 𝛼( ) 𝛽( ) 𝛾( ) 𝛼 𝛼 𝛽 𝛽 𝛾 } s.e ( | ) ( | ) ( | )
  • 5.
    ESCUELA POLITÉCNICA NACIONAL ,- ( ) , - ( ) ( ) ( ) , - ( ) 6) , - ( ) C es la Base canónica de a) Determinar Resolucion: Base canónica de *( ) ( ) ( )+ ( ) ( ) 𝛼 ( ) 𝛽 ( ) ( ) ( ) ( ) ( ) ( ) ( ) ( ) 𝛼 ( ) 𝛽 ( ) ( ) ( ) ( ) ( ) ( ) ( ) ( ) 𝛼 ( ) 𝛽 ( ) ( ) ( ) ( ) ( ) ( ) ( ) 𝛼( ) 𝛽( ) ( ) ( ) 𝛼 ( ) 𝛽 ( ) ( ) ( ) ( ) ( ) ( ) ( ) ( ) →
  • 6.
    ESCUELA POLITÉCNICA NACIONAL () ( ) ( ) *( ) ( ) ( )+ *( ) ( ) ( )+ *( ) ( ) ( )+ *( ) ( ) ( )+ ( | | |) *( ) + *( )+ ⟹ Dim. del Nf = 0 ⟹ INYECTIVA Imgf = Todos los elementos del conjunto de llegada ⟹ Dim. de Imgf = 3 Dim. de Imgf + Dim. de Nf = Dim. de 3 + 0 = 3 ⟹ SOBREYECTIVA → ( ) ( ) ( ) 7) ( ) Matriz asociada a ( ) a) Diagonalizar ortogonalmente la matriz A Resolucion: | | | | | | | |= ( ) | | ( ),( )( ) - ( ),( -
  • 7.
    ESCUELA POLITÉCNICA NACIONAL (), - ( ),( )( )- ⟹ Para λ = -1 ( | ) ( | ) *( ) + *( ) + * ( ) ( ) + *( ) ( )+ Para λ = 8 ( | ) ( | ) ( | ) ( | ) ( | ) ( | ) *( ) + *( ) + *( )+ *( ) ( ) ( )+ ( ) ⟹ u1, u2 ORTOGONAL
  • 8.
    ESCUELA POLITÉCNICA NACIONAL () ( ) ( ) ( ) ( ) ( ) ( ) ( ) ( ) ( ) {( ) ( ) ( )} , - , - , - , - ( ) ( ) ( ) ( )