Präsentation einbetten
Downloaden Sie, um offline zu lesen
![Deber+De+Integrales[1]](https://image.slidesharecdn.com/deberdeintegrales1-090527131503-phpapp02/75/Deber-De-Integrales-1-1-2048.jpg)
![Deber+De+Integrales[1]](https://image.slidesharecdn.com/deberdeintegrales1-090527131503-phpapp02/75/Deber-De-Integrales-1-2-2048.jpg)
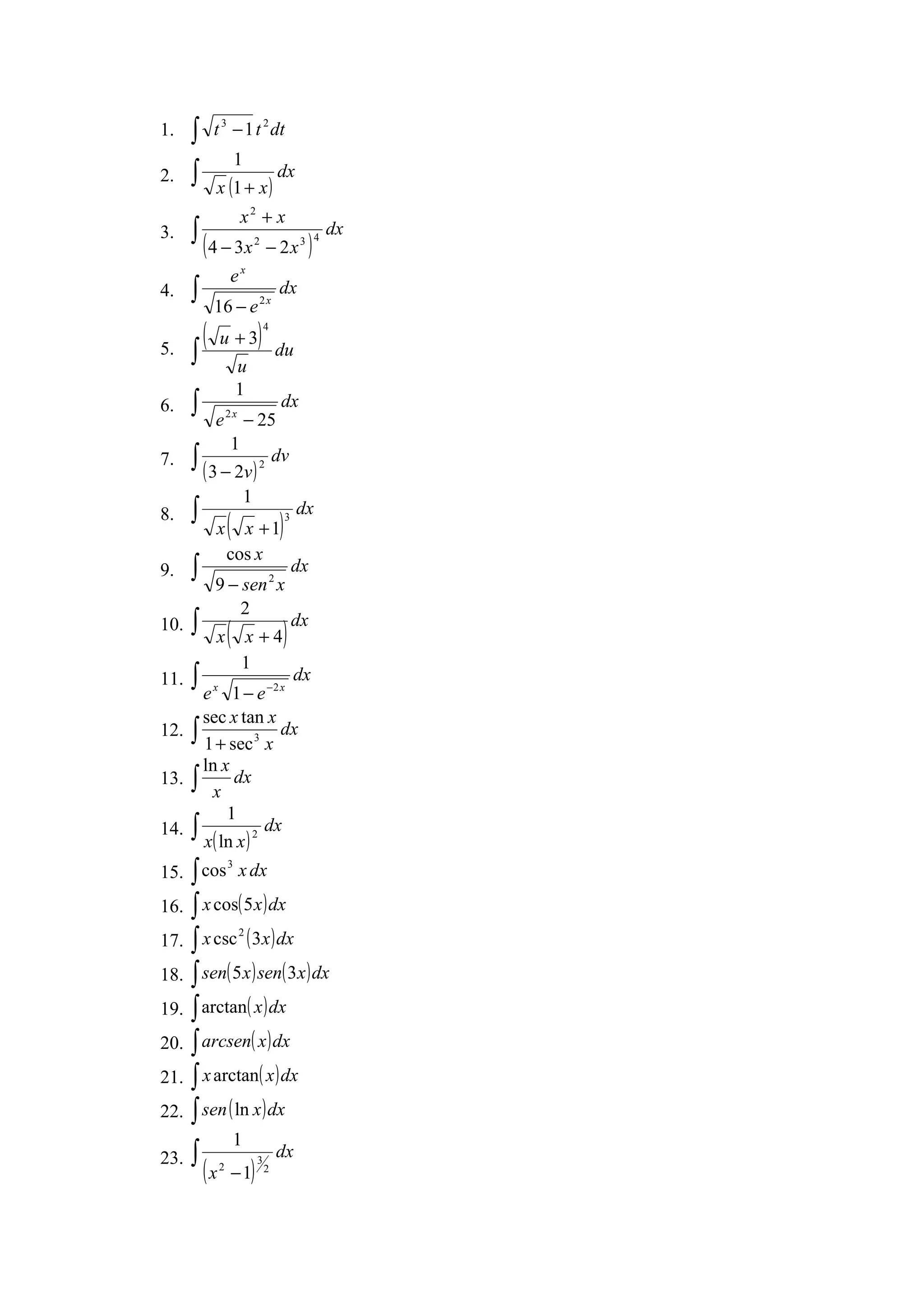
Das Dokument umfasst eine Reihe von Integrationsaufgaben, die mathematische Ausdrücke und Funktionen enthalten. Es werden verschiedene Integrationsmethoden zu verschiedenen Funktionen wie Polynomen, Exponential- und trigonometrischen Funktionen behandelt. Insgesamt bietet es eine umfassende Sammlung von Aufgaben zur Anwendung von Integrationstechniken.
![Deber+De+Integrales[1]](https://image.slidesharecdn.com/deberdeintegrales1-090527131503-phpapp02/75/Deber-De-Integrales-1-1-2048.jpg)
![Deber+De+Integrales[1]](https://image.slidesharecdn.com/deberdeintegrales1-090527131503-phpapp02/75/Deber-De-Integrales-1-2-2048.jpg)