Die Polynomdivision Der Rechenweg
(x³+6x²+10x+25):(x+5)=
(x³+6x²+10x+25):(x+5)= Wie oft passt  der Wert ,  da  rein?
(x³+6x²+10x+25):(x+5)= Wie oft passt  der Wert ,  da  rein? Lösung:  x³:x= x²
(x³+6x²+10x+25):(x+5)=  x²
(x³+6x²+10x+25):( x +5)=  x² =x² x * x² = x³
(x³+6x²+10x+25):( x +5)=  x² =x² x³ x * x² = x³
(x³+6x²+10x+25):(x +5 )=  x² =x² x³ +5x² 5 * x² = 5x²
(x³+6x²+10x+25):( x+5)= =x² x³+5x²
(x³+6x²+10x+25):( x+5)= =x² -( x³+5x² ) - Klammern drum ! - Minus davor ! - Strich drunter !
(x³+6x²+10x+25):( x+5)= =x² -(x³+5x²) x²
(x³+6x²+10x+25):( x+5)= =x² -(x³+5x²) x² Wie oft passt  der Wert ,  da  rein?
(x³+6x²+10x+25):( x+5)= =x² -(x³+5x²) x² Wie oft passt  der Wert ,  da  rein? Lösung:  x²:x= x
(x³+6x²+10x+25 ):(x+5)=  x =x²+x -(x³+5x²) x²
(x³+6x²+10x+25):( x +5)=  x =x²+x -(x³+5x²) x² +10x x * x = x²
(x³+6x²+10x+25):( x +5)=  x =x²+x -(x³+5x²) x² +10x x * x = x² x²
(x³+6x²+10x+25):( x +5 )=  x =x²+x -(x³+5x²) x²+10x 5 * x = 5x x² + 5x
(x³+6x²+10x+25):( x+5)=  =x²+x -(x³+5x²) x²+10x x²+ 5x
(x³+6x²+10x+25):( x+5)= =x²+x -(x³+5x²) x²+10x -( x²+ 5x ) - Klammern drum ! - Minus davor ! - Strich drunter !
(x³+6x²+10x+25):( x+5)= =x²+x -(x³+5x²) x²+10x -(x²+ 5x) 5x Wie oft passt  der Wert ,  da  rein?
(x³+6x²+10x+25):( x+5)= =x²+x -(x³+5x²) x²+10x -(x²+ 5x) 5x Wie oft passt  der Wert ,  da  rein? Lösung:  5x:x= 5
(x³+6x²+10x+25):( x+5)=  5 =x²+x -(x³+5x²) x²+10x -(x²+ 5x) 5x
(x³+6x²+10x+25):( x +5)=  5 =x²+x+5 -(x³+5x²) x²+10x -(x²+ 5x) 5x +25 x * 5 = 5x
(x³+6x²+10x+25):( x +5)=  5 =x²+x+5 -(x³+5x²) x²+10x -(x²+ 5x) 5x +25 x * 5 = 5x 5x
(x³+6x²+10x+25):( x +5 )=  5 =x²+x+5 -(x³+5x²) x²+10x -(x²+ 5x) 5x+25 5 * 5 = 25 5x +25
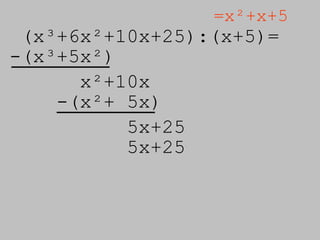
(x³+6x²+10x+25):( x+5)=  =x²+x+5 -(x³+5x²) x²+10x -(x²+ 5x) 5x+25 5x+25
(x³+6x²+10x+25):( x+5)=  =x²+x+5 -(x³+5x²) x²+10x -(x²+ 5x) 5x+25 -( 5x+25 ) - Klammern drum ! - Minus davor ! - Strich drunter !
(x³+6x²+10x+25):( x+5)=  =x²+x+5 -(x³+5x²) x²+10x -(x²+ 5x) 5x+25 -(5x+25) 0
(x³+6x²+10x+25):( x+5) =x²+x+5
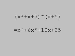
(x²+x+5)*( x+5) = x³+6x²+10x+25
Die Polynomdivision Christian Schute Wladimir Ruf Artur Wins

Die Polynomdivision