Der Arbeits- und Ausbildungsmarkt
in Deutschland

Februar 2011




                                    Monatsbericht
Monatsbericht Februar 2011
                                                                                                        Bundesagentur für Arbeit




Herausgabe:

Bundesagentur für Arbeit
90327 Nürnberg

Kontakt für Auskünfte zum Monatsbericht:

Michael Hartmann:                         0911 179-3611
Katrin Schmidt:                           0911 179-1077
Judith Wüllerich:                         0911 179-5448
E-Mail:                                   arbeitsmarktberichterstattung@arbeitsagentur.de

Zitiervorschlag:
Bundesagentur für Arbeit: Der Arbeits- und Ausbildungsmarkt in Deutschland - Monatsbericht Februar 2011, Nürnberg 2011.




Weiterführende Informationen der Statistik der Bundesagentur für Arbeit finden Sie im Internet unter:

Direkt:   http://statistik.arbeitsagentur.de   (ohne www)

Hier finden Sie statistische Informationen und Erläuterungen zu Themen wie
Arbeitsmarkt
Arbeitsmarktpolitische Maßnahmen
Ausbildungsmarkt
Beschäftigung
Grundsicherung
Leistung

Zahlreiche Statistiken sind auch regional verfügbar. Daneben werden statistische Analysen zum Arbeitsmarkt und zur Grundsiche-
rung angeboten.
In der Rubrik „Grundlagen“ finden sich ausführliche Hintergrundinformationen zu den verschiedenen Statistiken.

Der aktuelle Monatsbericht, alle Grafiken zum Monatsbericht sowie weitere Broschüren und Berichte sind unter der Rubrik „Ar-
beitsmarktberichte“ abrufbar.

Newsletter zur Statistik und Arbeitsmarktberichterstattung
Der gemeinsame Newsletter der Statistik und Arbeitsmarktberichterstattung informiert Sie monatlich über aktuelle Berichte, wie z. B.
den Monatsbericht oder den BA-Stellenindex "BA-X" und stellt neue Veröffentlichungen, Dienstleistungen und andere Neuigkeiten
aus der Statistik vor. In unregelmäßigen Abständen werden Sie zudem über die neuesten Sonderberichte auf dem Laufenden
gehalten. Der Newsletter ist selbstverständlich kostenlos.
Abonnement unter
http://statistik.arbeitsagentur.de/Navigation/Statistik/Service/Newsletter/Newsletter-Nav.html

Kontakt für weiterführende Informationen/ Statistiken/ Auswertungen (diese sind teilweise kostenpflichtig):

Bundesagentur für Arbeit
BA-Service-Haus
Statistik-Datenzentrum
           Hotline: 01801 78722-10       (Festnetzpreis 3,9 ct/min; Mobilfunkpreise abweichend. Ab 01.03.2010 gilt: Mobilfunkpreise
                                          höchstens 42 ct/min)
Fax:      01801 78722-11
E-Mail:   statistik-datenzentrum@arbeitsagentur.de




                                                                                                                               2
Monatsbericht Februar 2011
                                                                                                                                Bundesagentur für Arbeit




                                                       Inhaltsverzeichnis
Zusammenfassung............................................................................................................................................. 6
I. Arbeitsmarkt im Februar 2011 - Arbeitsmarkt entwickelt sich weiter positiv................................................... 7
   1. Realisierte Arbeitskräftenachfrage ............................................................................................................. 7
      1.1 Entwicklung der Erwerbstätigkeit .......................................................................................................... 7
      1.2 Entwicklung der sozialversicherungspflichtigen Beschäftigung nach Ländern und
          Wirtschaftszweigen ............................................................................................................................... 8
      1.3 Kurzarbeitergeld ................................................................................................................................... 8
   2. Nicht realisierte Arbeitskräftenachfrage ................................................................................................... 10
      2.1 Gemeldete Arbeitsstellen.................................................................................................................... 10
      2.2 BA Stellenindex BA-X ......................................................................................................................... 11
      2.3 Gesamtwirtschaftliches Stellenangebot .............................................................................................. 11
   3. Arbeitslosigkeit und Unterbeschäftigung .................................................................................................. 11
      3.1 Entwicklung im Bund .......................................................................................................................... 12
      3.2 Entwicklung in West- und Ostdeutschland ......................................................................................... 13
      3.3 Entwicklung nach Rechtskreisen und Langzeitarbeitslosigkeit .......................................................... 13
      3.4 Arbeitslosigkeit – Zu- und Abgänge .................................................................................................... 14
      3.5 Arbeitslosenquoten ............................................................................................................................. 16
      3.6 Unterbeschäftigung ............................................................................................................................. 16
      3.7 Erwerbslosigkeit nach ILO und internationaler Vergleich ................................................................... 17
II. Soziale Sicherung bei Arbeitslosigkeit ......................................................................................................... 19
    1. Überblick ................................................................................................................................................... 19
   2. Arbeitslosenversicherung ......................................................................................................................... 20
      2.1 Bezieher von Arbeitslosengeld ........................................................................................................... 20
      2.2 Zugang und Abgang von Arbeitslosengeld-Empfängern.................................................................... 20
      2.3 Höhe des Arbeitslosengeldes ............................................................................................................. 21
   3. Grundsicherung für Arbeitsuchende......................................................................................................... 21
      3.1 Erwerbsfähige Hilfebedürftige ............................................................................................................ 21
      3.2 Erwerbstätige Leistungsbezieher ....................................................................................................... 22
      3.3 Bedarfsgemeinschaften und hilfebedürftige Personen ....................................................................... 23
      3.4 Zugang und Abgang von erwerbsfähigen Hilfebedürftigen ................................................................ 23
      3.5 Hilfequoten .......................................................................................................................................... 24
      3.6 Höhe der Geldleistungen .................................................................................................................... 24
III. Ausbildungsmarkt........................................................................................................................................ 25
IV. Einsatz der arbeitsmarktpolitischen Instrumente ........................................................................................ 26
  1. Umfang der eingesetzten arbeitsmarktpolitischen Instrumente ............................................................... 26
      1.1 Teilnahme an Maßnahmen zur Aktivierung und beruflichen Eingliederung ....................................... 26
      1.2 Förderung der beruflichen Weiterbildung ........................................................................................... 26
      1.2.1 Qualifizierung über das Programm WeGebAU .............................................................................. 27
      1.3 Eingliederungszuschüsse ................................................................................................................... 27
      1.4 Förderung der Selbständigkeit ........................................................................................................... 27
   2. Förderung im Bereich SGB III .................................................................................................................. 27




                                                                                                                                                             3
Monatsbericht Februar 2011
                                                                                                                            Bundesagentur für Arbeit



      2.1 Aktuelle Entwicklungen des Fördergeschehens im SGB III ............................................................... 28
      2.2 Förderung der Aufnahme einer selbständigen Tätigkeit durch Gründungszuschuss ........................ 28
   3. Förderung im Bereich SGB II ................................................................................................................... 28
      3.1 Aktuelle Entwicklungen des Fördergeschehens im SGB II ................................................................ 29
      3.2 Einstiegsgeld ...................................................................................................................................... 29
      3.3 Arbeitsgelegenheiten .......................................................................................................................... 29
      3.4 Bürgerarbeit ........................................................................................................................................ 29
      3.5 Beschäftigungszuschuss .................................................................................................................... 30
   4. Förderung der Berufsausbildung .............................................................................................................. 30
      4.1 Berufsvorbereitende Bildungsmaßnahmen ........................................................................................ 30
      4.2 Berufsausbildung Benachteiligter ....................................................................................................... 31
      4.3 Einstiegsqualifizierung ........................................................................................................................ 31
      4.4 Ausbildungsbonus .............................................................................................................................. 31
V. Wichtige statistische Hinweise zur Interpretation ........................................................................................ 32
VI. Arbeitsmarkt Gesamtübersicht ................................................................................................................... 45
VII Tabellenanhang .......................................................................................................................................... 46




                                                                                                                                                        4
Monatsbericht Februar 2011
                                                                                                                     Bundesagentur für Arbeit




                                            Abbildungsverzeichnis
Abbildung 1 Erwerbstätige und sozialversicherungspflichtig Beschäftigte .................................................. 8
Abbildung 2 Kurzarbeit ................................................................................................................................. 9
Abbildung 3 Konjunkturell bedingte Kurzarbeit ............................................................................................ 9
Abbildung 4 Gemeldetes Arbeitsstellenangebot ........................................................................................ 10
Abbildung 5 Bestand, Zugang und Abgang gemeldeter Arbeitsstellen ...................................................... 11
Abbildung 6 Arbeitslose .............................................................................................................................. 13
Abbildung 7 Arbeitslose nach Rechtskreisen ............................................................................................. 14
Abbildung 8 Langzeitarbeitslosigkeit .......................................................................................................... 14
Abbildung 9 Zugang in und Abgang aus Arbeitslosigkeit ........................................................................... 15
Abbildung 10 Saisonbereinigte Erwerbslosenquoten ................................................................................. 18
Abbildung 11 Saisonbereinigte Erwerbslosenquoten in der EU................................................................. 18
Abbildung 12 Arbeitslosigkeit und Leistungsbezug .................................................................................... 19
Abbildung 13 Leistungsempfänger nach Rechtskreisen ............................................................................ 20
Abbildung 14 Struktur der erwerbsfähigen Hilfebedürftigen....................................................................... 22
Abbildung 15 Bedarfsgemeinschaften und hilfebedürftige Personen ........................................................ 23
Abbildung 16 Beschäftigung schaffende Maßnahmen............................................................................... 27
Abbildung 17 Förderung der Selbständigkeit im SGB III ............................................................................ 28




                                                                                                                                                   5
Monatsbericht Februar 2011
                                                                               Bundesagentur für Arbeit



                                       Zusammenfassung

Arbeitsmarkt entwickelt sich weiter positiv
Die Erholung in der deutschen Wirtschaft hat sich fortgesetzt. Nach ersten Berechnungen des Statisti-
schen Bundesamtes ist das reale Bruttoinlandsprodukt im vierten Quartal 2010 saison- und kalenderbe-
reinigt um 0,4 Prozent gewachsen, nach +0,7 Prozent im dritten Quartal. Dass das Wachstum zuletzt
etwas schwächer ausgefallen ist, dürfte mit dem kalten und schneereichen Dezember zusammenhängen.
Die konjunkturellen Frühindikatoren wie ifo-Geschäftsklimaindex und ZEW-Konjunkturerwartungen sind
weiter deutlich nach oben gerichtet. Der Arbeitsmarkt entwickelt sich uneingeschränkt positiv. Die Er-
werbstätigkeit und die sozialversicherungspflichtige Beschäftigung nahmen saisonbereinigt kräftig zu.
Arbeitslosigkeit und Unterbeschäftigung sind im Februar saisonbereinigt deutlich gesunken. Der BA-X als
Indikator für die Arbeitskräftenachfrage ist erneut stark gestiegen und überschreitet den Höchstwert des
vergangenen Konjunkturzyklus.


Zur sozialen Sicherung bei Arbeitslosigkeit
Im Februar erhielten 5.732.000 erwerbsfähige Menschen Lohnersatzleistungen nach dem SGB III oder
Leistungen zur Sicherung des Lebensunterhalts nach dem SGB II. Die Zahl der Leistungsempfänger ist
damit im Vorjahresvergleich um 504.000 zurückgegangen. Integrierte Auswertungen zu Leistungsbezug
und Arbeitslosigkeit liegen für den Oktober vor. Danach waren 47 Prozent der Leistungsempfänger ar-
beitslos gemeldet. Von allen Arbeitslosen erhielten 88 Prozent Leistungen aus der Arbeitslosenversiche-
rung oder der Grundsicherung für Arbeitsuchende.


Zum Ausbildungsmarkt
Im Gegensatz zum Arbeitsmarkt ist der Ausbildungsmarkt nicht auf einen umgehenden Ausgleich von
Angebot und Nachfrage gerichtet. Vielmehr orientieren sich Jugendliche und Ausbildungsbetriebe am
regulären Beginn der Ausbildung im August und September. Kumulierte Stellen und Bewerbermeldungen
zu Beginn des Berufsberatungsjahres (Oktober bis Februar) sind daher kaum aussagekräftig und werden
nicht veröffentlicht. Eine erste Einschätzung der Lage auf dem Ausbildungsmarkt im Berufsberatungsjahr
2010/2011 erfolgt im Monatsbericht März 2011.


Zur Arbeitsmarktpolitik
Im Februar befanden sich 1,3 Mio Personen in einer von Bund oder Bundesagentur für Arbeit geförderten
arbeitsmarktpolitischen Maßnahme. Dies waren 18 Prozent weniger als im gleichen Monat des Vorjahrs.
Im Februar 2011 kamen 2,5 Arbeitslose auf jede geförderte Person, gegenüber einer Förderintensität von
2,3 im Februar 2010. Damit fiel die Förderung durch Maßnahmen der aktiven Arbeitsmarktpolitik niedriger
aus als im Vorjahresmonat.




                                                                                                   6
Monatsbericht Februar 2011
                                                                                                               Bundesagentur für Arbeit



                                          I. Arbeitsmarkt im Februar 2011 -
                                      Arbeitsmarkt entwickelt sich weiter positiv

Die Erholung in der deutschen Wirtschaft hat sich fortgesetzt. Nach ersten Berechnungen des Statisti-
schen Bundesamtes ist das reale Bruttoinlandsprodukt im vierten Quartal 2010 saison- und kalenderbe-
reinigt um 0,4 Prozent gewachsen, nach +0,7 Prozent im dritten Quartal. Dass das Wachstum zuletzt
etwas schwächer ausgefallen ist, dürfte mit dem kalten und schneereichen Dezember zusammenhängen.
Die konjunkturellen Frühindikatoren wie ifo-Geschäftsklimaindex und ZEW-Konjunkturerwartungen sind
weiter deutlich nach oben gerichtet. Der Arbeitsmarkt entwickelt sich uneingeschränkt positiv. Die Er-
werbstätigkeit und die sozialversicherungspflichtige Beschäftigung nahmen saisonbereinigt kräftig zu.
Arbeitslosigkeit und Unterbeschäftigung sind im Februar saisonbereinigt deutlich gesunken. Der BA-X als
Indikator für die Arbeitskräftenachfrage ist erneut stark gestiegen und überschreitet den Höchstwert des
vergangenen Konjunkturzyklus.


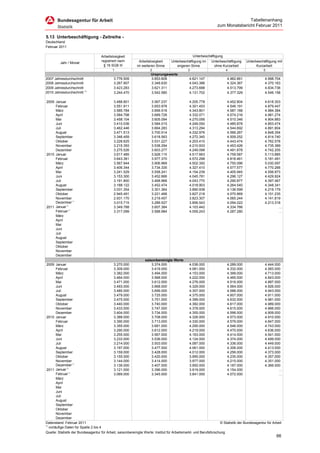
1. Realisierte Arbeitskräftenachfrage                                      bereinigt um 52.000 zugenommen, nach
                                                                           +67.000 im November (siehe Abbildung 1: Er-
Erwerbstätigkeit und sozialversicherungspflichti-
                                                                           werbstätige und sozialversicherungspflichtig
ge Beschäftigung haben in saisonbereinigter                                               3
                                                                           Beschäftigte).
Rechnung weiter deutlich zugenommen und
liegen über dem Vorjahresniveau (vgl. 1.1). Alle
                                                                           Nicht saisonbereinigt hat sich die Erwerbstätig-
Bundesländer verzeichneten im Vorjahresver-
                                                                           keit nach Berechnungen des Statistischen Bun-
gleich einen Anstieg; nach Branchen gab es ein
                                                                           desamtes von Dezember auf Januar im Zuge
kräftiges Plus in der Arbeitnehmerüberlassung
                                                                           der Winterpause um 639.000 auf 40,28 Mio
und in weiteren wirtschaftlichen Dienstleistungen
                                                                           verringert. Gegenüber dem Vorjahr ist die Er-
sowie im Gesundheits- und Sozialwesen (vgl.
1.2). Konjunkturelle Kurzarbeit stützt noch in                             werbstätigkeit um 463.000 oder 1,2 Prozent
nennenswertem Umfang die Beschäftigung,                                    gestiegen, nach +428.000 oder +1,1 Prozent im
erreicht aber nur noch 10 Prozent des Höhe-                                Dezember. Die sozialversicherungspflichtige
punktes vom Mai 2009 (vgl. 1.3).                                           Beschäftigung lag im Dezember nach der Hoch-
                                                                           rechnung der Bundesagentur für Arbeit bei
                                                                           28,05 Mio, gegenüber dem Vorjahr war das ein
1.1 Entwicklung der Erwerbstätigkeit
                                                                           Zuwachs von 559.000 oder 2,0 Prozent, nach
Nach Angaben des Statistischen Bundesamtes                                 +544.000 oder ebenfalls +2,0 Prozent im No-
ist die Zahl der Erwerbstätigen (nach dem In-                              vember. Dabei hat die sozialversicherungs-
                1
landskonzept) im Januar saisonbereinigt um                                 pflichtige Vollzeitbeschäftigung im Vorjahresver-
23.000 gestiegen, nach +35.000 im Dezember                                 gleich um 334.000 oder 1,5 Prozent und die
und +31.000 im November. Die sozialversiche-                               sozialversicherungspflichtige Teilzeitbeschäfti-
                              2
rungspflichtige Beschäftigung hat nach vorläu-                             gung um 218.000 oder 4,2 Prozent zugenom-
figen, hochgerechneten Daten der Bundesagen-                               men.
tur für Arbeit, die bis Dezember reichen, saison-

1
    Zum Unterschied zwischen Inlands- und Inländerkonzept vgl. „Wichtige
    statistische Hinweise“ in Teil V des Berichts. Unterschiede zwischen
    Niveau und Veränderung der Erwerbstätigkeit nach den beiden Konzep-
    ten erklären sich durch Höhe und Veränderung des Pendlersaldos.
2                                                                          3
    Zur Hochrechnung vgl. „Wichtige Statistische Hinweise“ in Teil V des       Zum Saisonbereinigungsverfahren vgl. „Wichtige Statistische Hinweise“
    Berichts.                                                                  in Teil V des Berichts.




                                                                                                                                             7
Monatsbericht Februar 2011
                                                                                            Bundesagentur für Arbeit



Abbildung 1                                                        die Nebenjobber schon mit ihrer Hauptbeschäf-
                                                                   tigung gezählt werden.

Erwerbstätige und sozialversicherungspflichtig Beschäftigte
in Millionen                                                       1.2 Entwicklung der sozialversicherungs-
Deutschland
                                                                   pflichtigen Beschäftigung nach Ländern und
2005 bis 2011
                                                                   Wirtschaftszweigen

                 Erwerbstätige                                     Im Dezember lag die sozialversicherungspflich-
 40
                                                                   tige Beschäftigung in Westdeutschland um
                                                                   2,1 Prozent und in Ostdeutschland um
 36                                                                1,6 Prozent über dem Vorjahresniveau. Alle
                                                                   Bundesländer verzeichneten einen Beschäfti-
                                                                   gungsanstieg, der von +0,4 Prozent in Mecklen-
 32
                                                                   burg-Vorpommern bis zu +2,6 Prozent in Nie-
          sozialversicherungspflichtig Beschäftigte
                                                                   dersachsen reicht.
 28

                                                                   Die Betrachtung nach Branchen zeigt im Vorjah-
                                                                   resvergleich weit überwiegend Zuwächse. Das
 24
  2005         2006      2007       2008   2009       2010         größte Plus gab es in der Arbeitnehmerüberlas-
                 Saisonbereinigte Werte           Ursprungswerte
                                                                   sung (+188.000 oder +34,0 Prozent). Besonders
Quelle : Statistisches Bundesamt (Erwerbstätige Inlandskonzept),
Statistik der Bundesagentur für Arbeit                             starke Anstiege verzeichneten auch das
                                                                   Gesundheits- und Sozialwesen (+117.000 bzw.
Die sonstigen Formen der Erwerbstätigkeit ha-                      +3,4 Prozent) und wirtschaftliche Dienstleistun-
ben sich gegenüber dem Vorjahr unterschiedlich                     gen (ohne Arbeitnehmerüberlassung: +93.000
entwickelt. So ist die Zahl der Selbständigen                      bzw. +3,2 Prozent). Die Beschäftigung im Ver-
(einschließlich mithelfender Familienangehöri-                     arbeitenden Gewerbe liegt mittlerweile wieder
ger) nach Angaben des Statistischen Bundes-                        über dem Vorjahresniveau (+36.000 oder
amtes im vierten Quartal um 10.000 oder                            +0,6 Prozent), aber noch deutlich unter dem
0,2 Prozent auf 4,43 Mio gesunken. In Arbeits-                     Vorkrisenniveau. Beschäftigungsverluste gab es
gelegenheiten (in der Mehraufwandsvariante)                        bei sonstigen Dienstleistungen (-10.000 oder
waren nach vorläufigen Angaben im Januar                           -0,9 Prozent) und in der Öffentlichen Verwaltung
196.000 Arbeitslosengeld II-Empfänger beschäf-                     (-7.000 oder -0,4 Prozent).
tigt, 53.000 oder 21 Prozent weniger als vor
einem Jahr. Dagegen hat die Zahl der aus-
schließlich geringfügig entlohnt Beschäftigten                     1.3 Kurzarbeitergeld
leicht zugenommen. Nach ersten Hochrechnun-                        Durch die Zahlung von Kurzarbeitergeld sollen
gen der Bundesagentur für Arbeit betrug sie im                     den Arbeitnehmern ihre Arbeitsplätze und den
Dezember 4,99 Mio, das waren 17.000 oder                           Betrieben ihre eingearbeiteten Mitarbeiter erhal-
0,4 Prozent mehr als vor einem Jahr. Darüber                       ten und damit Arbeitslosigkeit vermieden wer-
hinaus übten 2,49 Mio oder 8,9 Prozent der                         den. Vor Beginn der Kurzarbeit müssen die Be-
sozialversicherungspflichtig Beschäftigten zu-                     triebe eine Anzeige über den voraussichtlichen
sätzlich einen geringfügig entlohnten Nebenjob                     Arbeitszeitausfall erstatten, es sei denn der Ar-
aus, gegenüber dem Vorjahr 149.000 oder                            beitszeitausfall beruht auf Witterungsgründen.
6,4 Prozent mehr. Dabei gehen in die                               Kurzarbeitergeld wird frühestens von dem Ka-
Erwerbstätigenrechnung allein die ausschließ-                      lendermonat an geleistet, in dem die Anzeige
lich geringfügig entlohnt Beschäftigten ein, da                    eingegangen ist. Die Anzeigen sind deshalb als



                                                                                                               8
Monatsbericht Februar 2011
                                                                                        Bundesagentur für Arbeit



potenzielle Zugänge in die Kurzarbeit zu inter-    Abbildung 2
pretieren. Im Januar gingen neue Anzeigen für              g
68.000 Kurzarbeiter ein, nach 157.000 im De-
                                                   Kurzarbeit 1)
zember und 94.000 im November. Betrachtet
                                                   in Tausend
man nur die konjunkturell bedingten Anzeigen       Deutschland
nach § 170 SGB III, kommt man im Januar auf        2005 bis 2011

neu angezeigte Kurzarbeit für 42.000 Personen,
                                                        1.600
nach 66.000 im Dezember und 48.000 im No-
                                                        1.400
vember. Erste Schätzungen für den Februar
signalisieren neue Anzeigen für konjunkturelle          1.200
                                                                                 Kurzarbeiter
Kurzarbeit für etwa 25.000 Personen.                    1.000


                                                         800
Nach den jüngsten vorläufigen hochgerechneten
Daten wurde im Dezember an 150.000 Arbeit-               600
                                                                               Anzeigen von
nehmer konjunkturelles Kurzarbeitergeld nach             400
                                                                               Kurzarbeit
                                                                               für Personen
§ 170 SGB III gezahlt, das waren 36.000 weni-
                                                         200
ger als im Vormonat und 659.000 weniger als
                                                           0
vor einem Jahr. Zum Höhepunkt der Inan-                    2005   2006    2007     2008    2009      2010   2011
spruchnahme im Mai 2009 hatte es noch               1) Kurzarbeiterdaten auf
                                                                           Basis der Abrechnungslisten der Betriebe
                                                    (bis 2009 Betriebsmeldungen); am aktuellen Rand vorläufig und
1.443.000 konjunkturelle Kurzarbeiter gegeben       hochgerechnet.

(siehe Abbildungen 2 und 3: Kurzarbeit und          Quelle: Statistik der Bundesagentur für Arbeit
konjunkturell bedingte Kurzarbeit). Damit errei-
chen die Kurzarbeiterzahlen im Dezember 2010       Abbildung 3
nur 10 Prozent des Höhepunkts der Inanspruch-
nahme im Mai 2009.
                                                   Konjunkturell bedingte Kurzarbeit 1)
                                                   in Tausend
                                                   Deutschland
                                                   2005 bis 2011


                                                        1.600


                                                        1.400


                                                        1.200                    Kurzarbeiter

                                                        1.000


                                                         800


                                                         600
                                                                               Anzeigen von
                                                         400                   Kurzarbeit
                                                                               für Personen
                                                         200


                                                           0
                                                           2005   2006    2007     2008    2009      2010   2011
                                                   1)
                                                      Kurzarbeit gem.       170 SGB III (vor 2007 ohne Bau- und
                                                   Landwirtschaft). Daten auf Basis der Abrechnungslisten der Betriebe (bis
                                                   2009 Betriebsmeldungen); am aktuellen Rand vorläufig und
                                                   hochgerechnet.
                                                   Quelle: Statistik der Bundesagentur für Arbeit




                                                                                                                      9
Monatsbericht Februar 2011
                                                                                                                     Bundesagentur für Arbeit



Endgültige Daten zu Kurzarbeit in allen Differen-                               Abbildung 4
zierungen stehen für den August 2010 zur Ver-
fügung. In diesem Monat erhielten insgesamt
                                                                                Gemeldete Arbeitsstellen
244.000           Personen          Kurzarbeitergeld,              davon        in Tausend
219.000 konjunkturelles Kurzarbeitergeld und                                    Deutschland
                                                                                2005 bis 2011
25.000 Transferkurzarbeitergeld. Der durch-
schnittliche Arbeitszeitausfall über alle Kurzar-
beiter betrug in diesem Monat 34 Prozent. Im                                     700
                                      4
Beschäftigtenäquivalent   errechnen sich so                                      600
84.000 Kurzarbeiter. Bei konjunktureller Kurzar-
                                                                                                Bestand
                                                                                 500
beit       gab      es      einen         Arbeitszeitausfall           von
30 Prozent und ein Beschäftigtenäquivalent von                                   400

65.000 Kurzarbeitern.
                                                                                 300
                                                                                                                 Zugang

                                                                                 200
2. Nicht realisierte Arbeitskräftenach-
                                                                                 100
frage
                                                                                    0
Die saisonbereinigten gemeldeten Arbeitsstellen                                     2005     2006     2007     2008       2009   2010     2011
und der BA-X legten im Februar weiter zu. Die                                                    Saisonbereinigte Werte          Ursprungswerte

Werte des Vorjahres werden deutlich überschrit-                                 Quelle: Statistik der Bundesagentur für Arbeit
ten (vgl. 2.1 und 2.2). Auch das gesamtwirt-
schaftliche Stellenangebot, das außerdem die                                    In Westdeutschland hat der Bestand gemeldeter
Arbeitsstellen erfasst, die den Arbeitsagenturen                                Arbeitsstellen gegenüber dem Vorjahr um
nicht gemeldet wurden, liegt im vierten Quartal                                 42 Prozent auf 348.000 und in Ostdeutschland
2010 über dem Vorjahresniveau (vgl. 2.3).                                       um 33 Prozent auf 69.000 zugenommen. Im
                                                                                Westen waren 88 Prozent und im Osten
2.1 Gemeldete Arbeitsstellen                                                    73 Prozent der Arbeitsstellen sofort zu besetzen.

Die gemeldeten Arbeitsstellen haben im Februar
                                                                                Der Bestand an Arbeitsstellen schlägt sich rela-
saisonbereinigt um 15.000 zugenommen, nach
                                                                                tiv schnell um. Die Veränderungen von Zugän-
+13.000 im Januar und +11.000 im Dezember                                       gen sind ein besserer Indikator für die Einstel-
(siehe Abbildung 4: Gemeldete Arbeitsstellen).                                  lungsbereitschaft der Betriebe als Veränderun-
Nicht saisonbereinigt belief sich der Bestand im                                gen der Bestandszahlen. Im saisonbereinigten
Februar auf 417.000 Arbeitsstellen. Gegenüber                                   Vormonatsvergleich haben sich die Stellenmel-
dem Vorjahr war das ein Anstieg von 120.000                                     dungen auf hohem Niveau weiter erhöht
oder  40 Prozent,   nach   +103.000    oder                                     (+10.000). Nicht saisonbereinigt wurden im Feb-
+38 Prozent im Januar. Von den gemeldeten                                       ruar 200.000 Arbeitsstellen neu gemeldet, ge-
Arbeitsstellen waren 85 Prozent sofort zu beset-                                genüber dem Vorjahresmonat waren das 56.000
zen.                                                                            oder 39 Prozent mehr. In der gleitenden Jahres-
                                                                                summe von März 2010 bis Februar 2011 gab es
                                                                                2,10 Mio     Stellenzugänge,    474.000    oder
                                                                                29 Prozent mehr als im gleichen Vorjahreszeit-
                                                                                raum. Nach Wirtschaftszweigen differenziert
4                                                                               beruht das Plus in der gleitenden Jahressumme
    Das Beschäftigtenäquivalent setzt sich aus Vollzeit- und Teilzeitbeschäf-
    tigten zusammen.                                                            zu mehr als der Hälfte auf Meldungen aus der




                                                                                                                                                  10
Monatsbericht Februar 2011
                                                                                                                            Bundesagentur für Arbeit



Arbeitnehmerüberlassung     (+255.000     oder                                     nachfrage am ersten Arbeitsmarkt ab. Von Ja-
+55 Prozent). Die neu gemeldeten Arbeitsstellen                                    nuar auf Februar hat der BA-X um 6 auf
waren im Februar zu 52 Prozent und in der glei-                                    166 Punkte zugenommen. Gegenüber dem Vor-
tenden Jahressumme zu 53 Prozent sofort zu                                         jahr ist er um 46 Punkte gestiegen.
besetzen.
                                                                                                                                                   5
Abbildung 5                                                                        2.3 Gesamtwirtschaftliches Stellenangebot

                                                                                   Einen umfassenderen Überblick über die nicht
Gemeldete Arbeitsstellen                                                           realisierte Arbeitskräftenachfrage geben reprä-
Angaben in Tausend
                                                                                   sentative Betriebsbefragungen des Instituts für
Deutschland
Februar 2011                                                                       Arbeitsmarkt- und Berufsforschung (IAB) zum
                                                               Veränderung zum
                                                                                   gesamtwirtschaftlichen Stellenangebot, die vier-
                                           Februar Anteil       Vorjahresmonat     teljährlich durchgeführt werden. In diesen Erhe-
                                                 2011   in %    absolut     in %
                                                                                   bungen werden auch jene Stellen erfasst, die
Bestand                                          417    100           120   40,1   der Bundesagentur für Arbeit nicht gemeldet
darunter: Vakanzen                               355    85,2          115   47,9   sind.
Zugang                                           200    100           56    38,7
darunter: Vakanzen                               103    51,7          35    50,1
                                                                                   Nach jüngsten Angaben des IAB lag das ge-
Abgang                                           157    100           40    34,1
                                                                                   samtwirtschaftliche Stellenangebot für den ers-
darunter: ohne Vakanzzeit                         16     9,9           2    17,8
                über drei Monate                  39    24,5          13    49,1
                                                                                   ten Arbeitsmarkt im vierten Quartal 2010 bei
 durchschnittliche Vakanzzeit 1)                  64       -           3     5,3   996.000 Stellen. Das waren 200.000 oder
1)
     Zeitspanne vom Besetzungstermin bis zum Stellenabgang in Tagen                25 Prozent mehr als vor einem Jahr. Von den
Quelle: Statistik der Bundesagentur für Arbeit
                                                                                   Stellen für den ersten Arbeitsmarkt waren der
Im Februar wurden 157.000 Arbeitsstellen ab-                                       Bundesagentur für Arbeit 39 Prozent gemeldet.
gemeldet, 40.000 oder 34 Prozent mehr als im
Vorjahr. 10 Prozent davon wurden abgemeldet,
                                                                                   3. Arbeitslosigkeit und Unterbeschäfti-
bevor sie vakant wurden, 24 Prozent waren
                                                                                   gung
länger als drei Monate vakant. Die durchschnitt-
liche Vakanzzeit der im Februar abgemeldeten                                       Arbeitslosigkeit und Unterbeschäftigung haben
Arbeitsstellen, also die Zeit, in der der Arbeits-                                 im Februar abgenommen, saisonbereinigt er-
platz zu besetzen war, belief sich auf 64 Tage,                                    rechnen sich deutliche Rückgänge. Im Vorjah-
das waren 4 Tage mehr als vor einem Jahr. In                                       resvergleich werden Arbeitslosigkeit und Unter-
der gleitenden Jahressumme gab es 1,98 Mio                                         beschäftigung beachtlich unterschritten (vgl. 3.1
Abgänge, 334.000 oder 20 Prozent mehr als im                                       und 3.6; zu einer geringfügigen Korrektur der
                                                                                   Arbeitslosenzahl für den Januar 2011 siehe
gleichen Vorjahreszeitraum. 9 Prozent der Ar-
                                                                                   Erläuterungen im Kasten). Getragen wird diese
beitsstellen wurden abgemeldet, bevor sie va-
                                                                                   positive Entwicklung vom Aufbau sozialversiche-
kant wurden, und 19 Prozent der abgemeldeten
                                                                                   rungspflichtiger Beschäftigung (vgl. 1.1). Die
Arbeitsstellen waren länger als 3 Monate vakant.
                                                                                   Chancen, Arbeitslosigkeit durch Aufnahme einer
Die durchschnittliche Vakanzzeit von März 2010
                                                                                   Beschäftigung zu beenden, haben sich deutlich
bis Februar 2011 belief sich auf 56 Tage, 4 Tage
                                                                                   erhöht (vgl. 3.4). Geholfen hat auch ein Rück-
weniger als im Vorjahreszeitraum.                                                  gang des Arbeitskräfteangebots. Rückläufig ist
                                                                                   die Arbeitslosigkeit in allen Bundesländern (vgl.
2.2 BA Stellenindex BA-X
                                                                                   5
Der Stellenindex der BA (BA-X) bildet die sai-                                         Vgl. Presseinformation des IAB vom 16.02.2011;
                                                                                       http://doku.iab.de/grauepap/2011/os1004.pdf
sonbereinigte Entwicklung der Arbeitskräfte-



                                                                                                                                              11
Monatsbericht Februar 2011
                                                                                                    Bundesagentur für Arbeit



3.2), in beiden Rechtskreisen und auch bei         7,9%); in West- und Ostdeutschland bleiben die
Langzeitarbeitslosen (vgl. 3.3). Im europäischen   Quoten gleich (6,8% bzw. 12,7%).
Vergleich verzeichnet Deutschland im Vorjah-
resvergleich einen der größten Rückgänge der
Erwerbslosenquote (vgl. 3.7).                      Korrektur der Arbeitslosenzahlen für den Januar 2011
                                                   Deutschland


Korrektur der Statistik der Arbeitslosen und                                                                                 Korrektur
                                                                                       Januar            Januar                  in %
Arbeitsuchenden für den Januar 2011                                                   2011 alt         2011 neu
                                                                                                                   absolut
                                                                                                                                zu (2)

                                                                                              1               2         3           4

                                                   Insgesamt
Seit Januar hat sich die regionale Zuständigkeit
                                                   Bestand                          3.347.018          3.349.788    2.770        0,08
der Träger der Grundsicherung in Sachsen und
                                                   Zugang                             937.540           934.659     -2.881       -0,31
Sachsen-Anhalt verändert. Im Zuge dieser Trä-      Abgang                             602.675           596.870     -5.805       -0,97
gergebietsreform kam es im Berichtsmonat Ja-       Rechtskreis SGB II
                                                   Bestand                          2.200.346          2.203.116    2.770        0,13
nuar 2011 bei der Erstellung der Arbeitsmarkt-
                                                   Zugang                             450.350           447.469     -2.881       -0,64
statistik zu Ungenauigkeiten bei der regionalen
                                                   Abgang                             334.473           328.668     -5.805       -1,77
Zuordnung der Arbeitslosen und der Schätzung       Quelle: Statistik der Bundesagentur für Arbeit

fehlender Daten, die nunmehr rückwirkend be-
richtigt werden. Die korrigierten Daten werden
mit dem Veröffentlichungstermin 1. März 2011 in    3.1 Entwicklung im Bund
den aktuellen Statistikheften veröffentlicht.      Die Arbeitslosigkeit ist von Januar auf Februar
                                                   um 33.000 auf 3.317.000 gesunken. Im Durch-
Der Bestand an Arbeitslosen erhöht sich da-
                                                   schnitt der letzten drei Jahre hatte die Arbeitslo-
durch für den Januar geringfügig um 2.770 oder
                                                   senzahl im Februar um 16.000 zugenommen, im
0,08 Prozent auf 3.349.788. Sowohl bei der
                                                   Februar 2010 um 26.000. Das Saisonbereini-
Plausibilitätsprüfung der von den neuen Trägern
                                                   gungsverfahren errechnet für den Februar 2011
gelieferten Daten als auch bei der Schätzung
                                                   ein Minus von 52.000, nach -18.000 im Januar
aufgrund nicht vollständig vorliegender Daten
                                                   und -5.000 im Dezember (siehe Abbildung 6:
wurden die neuen Gebietszuschnitte nur zum                                 6
Teil berücksichtigt. Dies wirkte sich auf alle     Arbeitslose). Die Entlastung durch Arbeitsgele-
Kennzahlen (Zugang, Bestand, Abgang) und           genheiten hat von Januar auf Februar weiter
Status (arbeitslos, nicht arbeitslos arbeitsu-     abgenommen; die Unterbeschäftigung (ohne
chend, arbeitsuchend) im Rechtskreis SGB II        Kurzarbeit), die Veränderungen in der entlas-
aus und damit auch auf die rechtskreisübergrei-    tenden           Arbeitsmarktpolitik                    berücksichtigt,         ist
fenden Summen. Betroffen sind sämtliche Ge-        deshalb saisonbereinigt stärker als die Arbeits-
bietseinheiten, die von der Trägerfusion in        losigkeit gesunken, und zwar um 82.000 (vgl.
Sachsen und Sachsen-Anhalt berührt sind, d.h.      3.6).
auch Gebiete bzw. Bezirke höherer Aggregati-
onsebenen (Deutschland, Sachsen, Sachsen-
Anhalt, Ostdeutschland). Die Korrektur der Ar-
beitslosenzahlen auf Landesebene beträgt für
Sachsen-Anhalt 415 und für Sachsen 2.355.

Trotz des geringen Effekts bei der Gesamtzahl
der Arbeitslosen liegt die gerundete Arbeitslo-
senquote für den Januar auf Bundesebene da-
                                                   6
mit um 0,1 Prozentpunkte höher (8,0% statt             Zum Saisonbereinigungsverfahren vgl. „Wichtige Statistische Hinweise“
                                                       in Teil V des Berichts.




                                                                                                                              12
Monatsbericht Februar 2011
                                                                                                                     Bundesagentur für Arbeit



Abbildung 6                                                               3.2 Entwicklung in West- und Ostdeutsch-
                                                                          land

Arbeitslose                                                               In Westdeutschland hat die registrierte Ar-
in Tausend                                                                beitslosigkeit im Februar um 33.000 oder
Deutschland
                                                                          1 Prozent auf 2.242.000 abgenommen. Saison-
2005 bis 2011
                                                                          bereinigt verringerte sie sich um 39.000, nach
                                                                          -17.000 im Januar und -10.000 im Dezember. Im
    6.000
                                                                          Vergleich zum Vorjahr ist die Arbeitslosigkeit in
                  Deutschland
    5.000
                                                                          Westdeutschland um 240.000 oder 10 Prozent
                                                                          gesunken. Rückgänge gab es in allen westdeut-
    4.000                                                                 schen           Ländern,             am        stärksten            in      Baden-
                 Westdeutschland
                                                                          Württemberg und Bayern (-18 bzw. -15 Pro-
    3.000
                                                                          zent).
                  Ostdeutschland
    2.000
                                                                          In Ostdeutschland blieb die Arbeitslosigkeit ge-
    1.000                                                                 genüber dem Vormonat praktisch unverändert
                                                                          bei 1.076.000. Saisonbereinigt errechnet sich
         0
          2005     2006      2007     2008       2009   2010   2011       eine Abnahme von 13.000, nach -1.000 im Ja-
                        Saisonbereinigte Werte           Ursprungswerte   nuar und +5.000 im Dezember. Die Arbeitslo-
Quelle: Statistik der Bundesagentur für Arbeit                            senzahl lag um 86.000 oder 7 Prozent unter
Im Vergleich zum Vorjahr waren im Februar                                 dem Vorjahreswert. Es gab in allen ostdeut-
326.000 oder 9 Prozent weniger Arbeitslose                                schen Ländern Rückgänge, am stärksten in
registriert, nach -268.000 oder -7 Prozent im                             Thüringen und                      Sachsen-Anhalt                    (-13        bzw.
Januar. Die Unterbeschäftigung (ohne Kurzar-                              -11 Prozent).
beit) ist im Vorjahresvergleich um 529.000 oder
11 Prozent gesunken, nach -425.000 oder
                                                                          3.3 Entwicklung nach Rechtskreisen und
-9 Prozent im Januar (vgl. 3.6).                                                                   8
                                                                          Langzeitarbeitslosigkeit

Maßgeblich für die positive Entwicklung von                               Von den 3.317.000 Arbeitslosen im Februar
Arbeitslosigkeit und Unterbeschäftigung ist der                           wurden 1.109.000 oder 33 Prozent im Rechts-
Konjunkturaufschwung, der zu einem deutlichen                             kreis SGB III von einer Agentur für Arbeit und
Zuwachs der sozialversicherungspflichtigen                                2.209.000 oder 67 Prozent im Rechtskreis
Beschäftigung geführt (vgl. 1.1) und damit die                            SGB II von einem Jobcenter betreut. Die Ar-
Chancen, durch Aufnahme einer Beschäftigung                               beitslosenzahl ist gegenüber dem Vormonat im
die Arbeitslosigkeit zu beenden, erhöht hat (vgl.                         Rechtskreis SGB III um 38.000 oder 3 Prozent
3.4). Entlastend wirkt außerdem ein seit mehre-                           gesunken und im Rechtskreis SGB II um 5.000
ren Jahren rückläufiges Arbeitskräfteangebot,                             leicht gestiegen (siehe Abbildung 7: Arbeitslose
das nach Einschätzungen des Instituts für Ar-                             nach Rechtskreisen). Bereinigt um saisonale
beitsmarkt- und Berufsforschung 2011 jahres-                              Einflüsse hat die Arbeitslosigkeit im Rechtskreis
durchschnittlich voraussichtlich um 115.000                               SGB III um 42.000 abgenommen, nach -29.000
                                          7
weiter abnehmen wird.
                                                                          8
                                                                              Ausführlicheres Datenmaterial dazu findet sich u.a. im monatlichen
                                                                              Analytikreport der Statistik der BA, Arbeitslosigkeit nach Rechtskreisen
                                                                              im Vergleich;
7                                                                             http://statistik.arbeitsagentur.de/Navigation/Statistik/Statistische-
    Vgl. IAB-Kurzbericht 18/2010.
                                                                              Analysen/Analytikreports/Zentral/Monatliche-Analytikreports/Analyse-Arbeitslosigkeit-
    http://doku.iab.de/kurzber/2010/kb1810.pdf                                Rechtskreise-Vergleich-nav.html




                                                                                                                                                         13
Monatsbericht Februar 2011
                                                                                                                     Bundesagentur für Arbeit



im Januar. Im Rechtskreis SGB II ist die saison-                           (+4.000) ein Rückgang im Rechtskreis SGB II
bereinigte Arbeitslosenzahl um 10.000 gesun-                               (-51.000) gegenüber. Der Anteil der Langzeitar-
ken, nach +11.000 im Januar. Im Vergleich zum                              beitslosen verringerte sich im Vorjahresvergleich
Vorjahr hat sich die Arbeitslosigkeit in beiden                            im Rechtskreis SGB II um 2 Prozentpunkte auf
Rechtskreisen verringert, und zwar im Rechts-                              39 Prozent und stieg im Rechtskreis SGB III um
kreis SGB III um 252.000 oder 19 Prozent und                               3 Prozentpunkte auf 14 Prozent.
im Rechtskreis SGB II um 75.000 oder 3 Pro-                                Abbildung 8
zent.

Abbildung 7                                                                Langzeitarbeitslosigkeit1)
                                                                           Angaben in Tausend
                                                                           Deutschland
Arbeitslose nach Rechtskreisen                                             Februar 2011
in Tausend
                                                                                                                          Anteil an allen Veränderung zum
Deutschland
                                                                                                               Februar      Arbeitslosen      Vorjahresmonat
2005 bis 2011
                                                                                                                  2011              in %     absolut           in %


                                                                           Langzeitarbeitslose                      903             30,0          -47          -5,0
    6.000
                                                                           davon arbeitslos seit:
                                                                            12 bis 24 Monate                        469             15,6          -26          -5,2
    5.000                                                                       24 Monate und mehr                  435             14,4          -22          -4,8
                            Insgesamt
                                                                           Rechtskreis SGB III
    4.000                                                                  Langzeitarbeitslose                      156             14,1            4           2,4
                                                                           davon arbeitslos seit:
    3.000                          SGB II                                   12 bis 24 Monate                        105               9,4           4           4,4
                                                                                24 Monate und mehr                   51               4,6           -1         -1,3

    2.000                                                                  Rechtskreis SGB II
                                       SGB III
                                                                           Langzeitarbeitslose                      747             39,3          -51          -6,4
    1.000                                                                  davon arbeitslos seit:
                                                                            12 bis 24 Monate                        364             19,1          -30          -7,6
       0                                                                        24 Monate und mehr                  383             20,1          -21          -5,2
                                                                           1)
       2005     2006   2007     2008        2009   2010   2011                  Ermittelt auf Basis von Daten aus dem BA-IT-Fachverfahren;
                                                                                Vorjahresvergleiche w erden auf Basis fiktiver Gebietsstände gerechnet.
                   Saisonbereinigte Werte           Ursprungswerte
                                                                           Quelle: Statistik der Bundesagentur für Arbeit
Quelle: Statistik der Bundesagentur für Arbeit


                                                                           Bei Langzeitarbeitslosen im Rechtskreis SGB III
Die Langzeitarbeitslosigkeit (ohne Daten der
                                                                           handelt es sich zum größeren Teil um Nicht-
Jobcenter in zugelassener kommunaler Träger-
                                                                           Leistungsempfänger, die entweder nie einen
schaft) hat im Vorjahresvergleich abgenommen.
                                                                           Anspruch auf Arbeitslosengeld hatten (z.B. Be-
Die Zahl der Arbeitslosen, die länger als
                                                                           rufsrückkehrer oder Berufseinsteiger) oder die
12 Monate arbeitslos waren, ist gegenüber dem
                                                                           nach dem Auslaufen des Leistungsbezuges
Vorjahr um 47.000 oder 5 Prozent auf 903.000
                                                                           wegen mangelnder Bedürftigkeit kein Arbeitslo-
gesunken. Ihr Anteil an allen Arbeitslosen erhöh-
                                                                           sengeld II erhalten. Außerdem sind hier ältere
te sich um 1 Prozentpunkt auf 30 Prozent (siehe
                                         9                                 Arbeitslosengeld-Empfänger enthalten, die Leis-
Abbildung 8: Langzeitarbeitslosigkeit). Dabei
                                                                           tungsansprüche von mehr als 12 Monaten ha-
stand einem geringfügigen Anstieg der Zahl der
                                                                           ben.
Langzeitarbeitslosen im Rechtskreis SGB III

9                                                                          3.4 Arbeitslosigkeit – Zu- und Abgänge
    Im Januar 2011 haben sich die Gebietszuständigkeiten von einigen
    zugelassenen kommunalen Trägern in Sachsen und Sachsen-Anhalt
                                                                           Arbeitslosigkeit ist kein fester Block, vielmehr
    verändert; Vorjahresvergleiche werden mit den gleichen, fiktiven Ge-
    bietsständen in der Vergangenheit berechnet.                           gibt es unabhängig von der wirtschaftlichen La-
                                                                           ge viel Bewegung. So meldeten sich im Februar


                                                                                                                                                          14
Monatsbericht Februar 2011
                                                                                                                     Bundesagentur für Arbeit



703.000 Menschen bei einer Arbeitsagentur                                   den Gewerbe, der Arbeitnehmerüberlassung
oder einem Jobcenter arbeitslos, während                                    und dem Handel, die in der Krise in großem
gleichzeitig 732.000 Personen ihre Arbeitslosig-                            Umfang Personal abgebaut hatten.
                         10
keit beendeten.               Im Vergleich zum Vorjahres-
monat haben die Zugänge um 8 Prozent abge-                                  Zugänge und Abgänge haben sich in den beiden
nommen, während die Abgänge praktisch un-                                   Rechtskreisen im Vorjahresvergleich unter-
verändert blieben (siehe Abbildung 9: Zugang in                             schiedlich entwickelt. Im Rechtskreis SGB III
und Abgang aus Arbeitslosigkeit). Dabei gab es                              verringerten sich im Februar die Zugänge und
weniger Zugänge aus Beschäftigung und mehr                                  die Abgänge um 21 bzw. 5 Prozent, während im
Beschäftigungsaufnahmen am 1. Arbeitsmarkt                                  Rechtskreis SGB II die Zugänge und die Abgän-
(einschließlich Selbständigkeit; gegenüber Vor-                             ge um 6 bzw. 4 Prozent gestiegen sind.
jahr: -11 Prozent bzw. +17 Prozent). In der glei-
tenden Jahressumme von März 2010 bis Febru-
                                                                            Abbildung 9
ar 2011 – die saisonale und zufällige Schwan-
kungen ausgleicht – meldeten sich 9,09 Mio
Menschen arbeitslos, und 9,37 Mio Arbeitslose                               Zugang in und Abgang aus Arbeitslosigkeit
                                                                            Angaben in Tausend
meldeten sich wieder ab. Im Vergleich zum ent-
                                                                            Deutschland
sprechenden Vorjahreszeitraum hat die Zahl der                              Februar 2011

Zugänge um 2 Prozent abgenommen, während                                                                                               Veränderung zum
die Zahl der Abgänge um 3 Prozent gestiegen                                                                                  Februar     Vorjahresmonat
                                                                                                                               2011      absolut     in %
ist.
                                                                            Zugang                                              703          -60      -7,9

Die Zugänge von abhängig Beschäftigten aus                                  Zugangsrate1)                                       21,0         -0,1        x
                                                                            Abgang                                              732            0         0,0
dem 1. Arbeitsmarkt können nach dem Wirt-
                                                                            Abgangsrate1)                                       21,8         1,6         x
schaftszweig differenziert und daraus wichtige
                                                                             dar. in den 1. Arbeitsmarkt 2)                      6,7         1,4         x
Informationen zur Branchenentwicklung im Kon-                               Rechtskreis SGB III3)
junkturverlauf gewonnen werden (ohne Daten                                  Zugang                                              308          -82     -21,1
der Jobcenter in kommunaler Trägerschaft). Im                               Zugangsrate       1)
                                                                                                                                26,9         -2,2        x

Februar gab es 216.000 Zugänge von abhängig                                 Abgang                                              322          -16      -4,6
                                                                            Abgangsrate1)                                       28,1         2,9         x
Beschäftigten aus dem 1. Arbeitsmarkt, das
                                                                             dar. in den 1. Arbeitsmarkt 2)                     13,8         3,3         x
waren 31.000 oder 12 Prozent weniger als vor
                                                                            Rechtskreis SGB II3)
einem Jahr. Der Rückgang fand in allen Bran-                                Zugang                                              395           22         5,9
chen statt, nur aus der Arbeitnehmerüberlas-                                Zugangsrate1)                                       17,9         1,5         x
sung und aus dem Gesundheits- und Sozialwe-                                 Abgang                                              410           15         3,9

sen gab es mehr Arbeitslosmeldungen. In der                                 Abgangsrate1)                                       18,6         1,3         x
                                                                             dar. in den 1. Arbeitsmarkt 2)                      3,1         0,7         x
gleitenden Jahressumme von März 2010 bis                                    1)
                                                                                 Zugang bzw . Abgang bezogen auf den Bestand des Vormonats
Februar 2011 gab es 2,84 Mio Zugänge aus                                    2)
                                                                                 einschließlich Selbständigkeit
                                                                            3)
                                                                                 ohne Rechtskreisw echsler
dem 1. Arbeitsmarkt, 305.000 oder 10 Prozent
                                                                            Quelle: Statistik der Bundesagentur für Arbeit
weniger als im gleichen Zeitraum des Vorjahres.
Der Rückgang beruht zum weitaus größten Teil
auf weniger Meldungen aus dem Verarbeiten-


10
     In den Bewegungsdaten sind ein kleiner Teil der Rechtskreiswechsler
     enthalten. Deshalb ist die Fortschreibung im Stock-Flow-Modell nicht
     exakt erfüllt.




                                                                                                                                                    15
Monatsbericht Februar 2011
                                                                                                             Bundesagentur für Arbeit



Ergänzend zu den absoluten Zahlen können                                 3.5 Arbeitslosenquoten
Abgangsraten etwas über die Abgangschancen
                               11
                                                                         Die Arbeitslosenquote auf Basis aller zivilen
aus Arbeitslosigkeit aussagen. Bezogen auf
                                                                         Erwerbspersonen belief sich im Februar auf
den Arbeitslosenbestand beendeten im Februar
                                                                         7,9 Prozent. Im Vergleich zum Vorjahr nahm sie
mehr Menschen ihre Arbeitslosigkeit; die Ab-
                                                                         um 0,8 Prozentpunkte ab. Die saisonbereinigte
gangsrate hat sich im Vorjahresvergleich um
                                                                         Arbeitslosenquote hat sich gegenüber dem
1,6 Prozentpunkte auf 21,8 Prozent erhöht, da-
                                                                         Vormonat um 0,1 Prozentpunkte auf 7,3 Prozent
runter die Abgangsrate in den 1. Arbeitsmarkt
                                                                         verringert. In Ostdeutschland war die Quote mit
(einschließlich      Selbständigkeit)        um
                                                                         12,7 Prozent deutlich größer als im Westen mit
1,4 Prozentpunkte auf 6,7 Prozent. In der glei-
                                                                         6,7 Prozent. Im Vergleich zum Vorjahr hat sich
tenden Jahressumme von März 2010 bis Febru-
                                                                         die         Quote           in       Westdeutschland                   um
ar    2011      ist  die    Abgangsrate      um
                                                                         0,7 Prozentpunkte und in Ostdeutschland um
2,1 Prozentpunkte auf 24,2 Prozent bzw. um
                                                                         1,0 Prozentpunkte verringert.
1,2 Prozentpunkte auf 7,6 Prozent gestiegen.
                                                                                                                                      12
                                                                         Die anteilige SGB III-Arbeitslosenquote belief
Im Rechtskreis SGB III hat sich die Wahrschein-
                                                                         sich im Februar auf 2,6 Prozent und die anteilige
lichkeit, die Arbeitslosigkeit zu beenden, um
                                                                         SGB II-Arbeitslosenquote auf 5,2 Prozent. Die
2,9 Prozentpunkte auf 28,1 Prozent und im
                                                                         SGB III-Quote verringerte sich gegenüber dem
Rechtskreis SGB II um 1,3 Prozentpunkte auf
                                                                         Vorjahr um 0,6 Prozentpunkte, die SGB II-Quote
18,6 Prozent erhöht. Die Chance, durch Auf-
                                                                         um 0,2 Prozentpunkte.
nahme einer Beschäftigung am 1. Arbeitsmarkt
(einschließlich Selbständigkeit) die Arbeitslosig-
keit im folgenden Monat zu beenden, nahm im                              3.6 Unterbeschäftigung
Rechtskreis SGB III um 3,3 Prozentpunkte auf                             In der Unterbeschäftigungsrechnung nach dem
13,8 Prozent und im Rechtskreis SGB II um                                Konzept der BA sind neben den Arbeitslosen die
0,7 Prozentpunkte auf 3,1 Prozent zu.                                    Personen enthalten, die an entlastenden Maß-
                                                                         nahmen der Arbeitsmarktpolitik teilnehmen oder
Insgesamt ist der Umschlag im Rechtskreis                                zeitweise arbeitsunfähig erkrankt sind und des-
SGB III deutlich größer als im Rechtskreis
                                                                         halb nicht als arbeitslos gezählt werden. Damit
SGB II. So waren im gleitenden Jahresdurch-                              wird ein umfassenderes Bild vom Defizit an re-
schnitt von März 2010 bis Februar 2011 die                               gulärer Beschäftigung in einer Volkswirtschaft
Zugangs- und Abgangsraten im Rechtskreis                                 gegeben. Realwirtschaftlich (insbesondere kon-
SGB III mit 32,4 bzw. 32,2 Prozent deutlich grö-                         junkturell) bedingte Einflüsse können besser
ßer als im Rechtskreis SGB II mit 19,1 bzw.
                                                                         erkannt werden, weil der Einsatz entlastender
20,3 Prozent. Insbesondere die Abgangsrate in                            Arbeitsmarktpolitik zwar die Arbeitslosigkeit,
Beschäftigung am 1. Arbeitsmarkt (einschließ-
                                                                         nicht aber die Unterbeschäftigung verändert (zur
lich Selbständigkeit) ist mit 15,5 Prozent im                            Unterbeschäftigungs- und Entlastungsrechnung
Rechtskreis SGB III erheblich größer als im                              vergleiche die Methodischen Hinweise in Kapi-
Rechtskreis SGB II mit 3,8 Prozent.
                                                                         tel V).



11                                                                       12
     Abgangs- und Zugangsraten beziehen den Abgang bzw. den Zugang            Die Arbeitslosenquote kann zerlegt werden in anteilige Quoten für die
     des laufenden Monats auf den Bestand des Vormonats und ermögli-          Rechtskreise SGB III und SGB II. Dabei werden die Arbeitslosen aus
     chen damit Aussagen zur relativen Bedeutung von Abgängen bzw. Zu-        dem Rechtskreis SGB III und SGB II jeweils auf alle zivilen Erwerbs-
     gängen u.a. im Zeitvergleich bei abnehmenden oder zunehmenden            personen bezogen. Die Summe der beiden anteiligen Einzelquoten er-
     Beständen.                                                               gibt die Gesamtquote (rundungsbedingte Abweichungen sind möglich).




                                                                                                                                           16
Monatsbericht Februar 2011
                                                                                                                           Bundesagentur für Arbeit



Im Februar belief sich die Unterbeschäftigung                                  Förderung Behinderter: -94.000) und bei der
(ohne Kurzarbeit) auf 4.287.000. Gegenüber                                     Förderung der Selbständigkeit (-11.000). Die
dem Vormonat hat sie um 47.000 abgenommen.                                     berufliche Weiterbildung hat im Vorjahresver-
Das Saisonbereinigungsverfahren errechnet ein                                  gleich praktisch stagniert (einschließlich der
Minus von 82.000, nach -33.000 im Januar und                                   Förderung               Behinderter                gegenüber               Vorjahr:
                                                                                      14
-28.000 im Dezember. Dass der Rückgang der                                     -300).
Unterbeschäftigung in den letzten Monaten stär-
ker ausfiel als bei der Arbeitslosigkeit, hängt                                In diesen Zahlen ist die Entlastung durch Kurz-
damit zusammen, dass entlastende Arbeits-                                      arbeit nicht enthalten, weil hochgerechnete An-
marktpolitik und hier insbesondere Arbeitsgele-                                gaben dazu nur bis Dezember vorliegen. In die-
genheiten zurückgeführt wurden. Im Vergleich                                   sem Monat belief sich die Entlastung durch
zum Vorjahr hat sich die Unterbeschäftigung                                    Kurzarbeit nach vorläufigen Angaben auf
(ohne Kurzarbeit) um 529.000 oder 11 Prozent                                   119.000 Kurzarbeiter im Beschäftigtenäquiva-
verringert, nach -425.000 oder -9 Prozent im                                   lent. Einschließlich des Beschäftigtenäquivalents
        13
Januar.                                                                        Kurzarbeit betrug die Unterbeschäftigung in
                                                                               diesem Monat 4.213.000. Im Vergleich zum
Die      Entlastung          durch        arbeitsmarktpolitische               Dezember 2009 war das ein Rückgang von
Instrumente (ohne Kurzarbeit) war im Vorjahres-                                529.000 oder 11 Prozent.
vergleich rückläufig: Abnahmen gab es bei Ar-
beitsgelegenheiten,    Arbeitsbeschaffungsmaß-
                                                                               3.7 Erwerbslosigkeit nach ILO und internati-
nahmen und dem Beschäftigungszuschuss (ein-
                                                                               onaler Vergleich
schließlich 443 Personen in der Beschäfti-
gungsphase Bürgerarbeit; insgesamt: -106.000),                                 Die nach dem ILO-Erwerbskonzept vom Statisti-
bei Maßnahmen zur Aktivierung und beruflichen                                  schen Bundesamt ermittelte Erwerbslosigkeit
Eingliederung (einschließlich von Eignungsfest-                                belief sich in Deutschland für den Januar auf
stellungs- und Trainingsmaßnahmen sowie der                                    2,87 Mio und die Erwerbslosenquote auf
                                                                                             15
                                                                               6,7 Prozent.       Die registrierte Arbeitslosigkeit
                                                                               nach dem Sozialgesetzbuch (SGB III) betrug im
13
     In der Entlastungs- und Unterbeschäftigungsrechnung werden von den        gleichen Monat 3,35 Mio und die Arbeitslosen-
     vorruhestandsähnlichen Regelungen die Anwendung des § 53a Abs. 2
     SGB II auf Arbeitslosengeld II-Empfänger und die Inanspruchnahme
                                                                               quote 8,0 Prozent. Saisonbereinigt lag die Er-
     des § 428 SGB III durch Arbeitslosengeldempfänger berücksichtigt. Im      werbslosenquote bei 6,5 Prozent und die Ar-
     Februar werden in der Unterbeschäftigung 89.000 Personen im Son-
     derstatus des § 53a Abs. 2 SGB II ausgewiesen, 32.000 mehr als vor
                                                                               beitslosenquote bei 7,4 Prozent. Die Unter-
     einem Jahr, und nur noch 200 Arbeitslosengeldempfänger im Sonder-         schiede zwischen den beiden Quoten folgen aus
     status des § 428 SGB III, 2.100 weniger als vor einem Jahr. Die Ent-
                                                                               verschiedenen Erhebungsmethoden (Stichpro-
     lastung durch vorruhestandsähnliche Regelungen hat also nach dieser
     Rechnung im Saldo um 30.000 zugenommen. Mit der Statistik der ge-         benbefragung der Bevölkerung versus Meldung
     meldeten erwerbsfähigen Personen steht seit November 2010 eine
                                                                               bei einer Arbeitsagentur oder einem Träger der
     neue Datenquelle zur Verfügung, die es ermöglicht, auch die Inan-
     spruchnahme des § 428 SGB III durch Arbeitslosengeld II-Bezieher          Grundsicherung) und unterschiedlichen Konkre-
     und die Inanspruchnahme des § 252 Abs. 8 SGB VI durch Nichtleis-
                                                                               tisierungen von Begriffsmerkmalen der Arbeits-
     tungsempfänger auszuweisen (ohne Daten der Jobcenter in kommu-
     naler Trägerschaft). Danach gab es im Februar rechtskreisübergrei-        losigkeit (z. B. liegt nach dem SGB Arbeitslosig-
     fend noch 173.000 gemeldete Personen, die die vorruhestandsähnli-
     chen Regelungen der §§ 428 SGB III und 252 Abs. 8 SGB VI in An-
     spruch nahmen, 72.000 weniger als vor einem Jahr. Auf Basis der           14
     neuen Statistik der gemeldete Personen hat damit in der Summe die              Dem Anstieg von Personen im Sonderstatus des § 53a SGB II muss im
     Inanspruchnahme aller vorruhestandsähnlichen Regelungen, also der              Zusammenhang dem Rückgang der Inanspruchnahme des § 428 SGB
     §§ 428 SGB III, 252 Abs. 8 SGB VI und 53a Abs. 2 SGB II, im Vorjah-            II im Rechtskreis SGB II gesehen werden; vgl. Fußnote 16.
     resvergleich nicht zugenommen, sondern um 40.000 auf 261.000 ab-          15
                                                                                    Ausführliche Informationen finden sich auf der Internetseite des Statisti-
     genommen. Entsprechend würde der Rückgang der Unterbeschäfti-                  schen Bundesamtes unter
     gung stärker ausfallen. Es ist beabsichtigt, die neue Datenquelle künf-        http://www.destatis.de/jetspeed/portal/cms/Sites/destatis/Internet/DE/Presse/abisz/
     tig für die Unterbeschäftigungsrechnung zu nutzen.                             ILO-Arbeitsmarktstatistik,templateId=renderPrint.psml.




                                                                                                                                                               17
Monatsbericht Februar 2011
                                                                                                                 Bundesagentur für Arbeit



keit auch dann vor, wenn eine Beschäftigung                                  Abbildung 10
von weniger als 15 Wochenstunden ausgeübt
wird, während nach dem ILO-Konzept schon
                                                                             Saisonbereinigte Erwerbslosenquoten
eine Wochenstunde Arbeit Erwerbslosigkeit
                                                                             in Prozent
beendet; im Einzelnen vergleiche „Wichtige sta-                              Deutschland, Europäische Union und Eurozone
tistische Hinweise“ in Teil V des Berichts).                                 2005 bis 2010



Für internationale Vergleiche liegen von Euro-                               12,0
stat, dem Statistischen Amt der Europäischen                                                       Deutschland
Gemeinschaften, Angaben überwiegend bis                                                                                     EZ 16
                16
Dezember vor. Nach diesen Daten belief sich                                   9,0
die saisonbereinigte Erwerbslosenquote im De-
                                        17
zember in der Eurozone (EZ 16)              auf
10,0 Prozent und in der Europäischen Union                                    6,0                                EU 27
        18
(EU 27) auf 9,6 Prozent (vgl. Abbildungen 10,
11). Von den Mitgliedstaaten der EU verzeichne-
ten die Niederlande (4,3 Prozent) und Luxem-                                  3,0
burg (4,9 Prozent) die niedrigsten und Spanien
(20,2 Prozent) sowie Lettland und Litauen (je-
weils 18,3 Prozent) die höchsten Quoten.                                      0,0
                                                                                 2005       2006       2007       2008     2009       2010
Deutschland hat mit 6,6 Prozent eine unter-
                                                                             Quelle : Eurostat, Statistisches Bundesamt
durchschnittliche Quote. In den USA lag die
Erwerbslosenquote zuletzt bei 9,4 Prozent und                                Abbildung 11
in Japan bei 4,9 Prozent.

                                                                             Saisonbereinigte Erwerbslosenquoten in der EU
Im Vergleich zum Vorjahresmonat hat die sai-
                                                                             in Prozent
sonbereinigte Erwerbslosenquote in der Euro-                                 Europäische Union
zone und in der EU um jeweils 0,1 Prozent-                                   Dezember 2010

punkte zugenommen. Dabei gab es in den meis-                                   Niederlande              4,3
                                                                                Luxemburg                4,9
ten Mitgliedstaaten einen Anstieg, den stärksten                                 Österreich              5,0
                                                                                       Malta                6,2
in Griechenland (+2,7 Prozentpunkte). Den                                      Deutschland                   6,6
                                                                                 Rumänien                     7,3
größten Rückgang verzeichnete Lettland                                               Zypern                   7,3
                                                                                Tschechien                      7,7
(-1,6 Prozentpunkte). In Deutschland betrug das                                  Slowenien                      7,8
                                                                             Großbritannien                     7,8
Minus 0,8 Prozentpunkte. In den USA und Ja-                                      Schweden                       7,8
                                                                                   Finnland                     8,0
pan nahm die Erwerbslosenquote um jeweils um                                        Belgien                      8,1
                                                                                 Dänemark                        8,2
0,5 bzw. um 0,3 Prozentpunkte ab.                                                     Italien                     8,6
                                                                                      EU 27                          9,6
                                                                                 Frankreich                          9,7
                                                                                       Polen                          10,0
16                                                                                    EZ 16                           10,0
     Quelle: Erhebung über Arbeitskräfte, Eurostat Datenbank (Datenstand:
                                                                                  Bulgarien                           10,1
     22.02.2011) und Statistisches Bundesamt. Wenn bei einzelnen Staaten           Portugal                             10,9
     Werte für den genannten Berichtsmonat nicht verfügbar sind, werden             Ungarn                               11,7
                                                                              Griechenland                                  12,9
     die zuletzt gemeldeten Werte für diesen Monat genutzt.                            Irland                                 13,8
17                                                                                Slowakei                                     14,5
     Zur Eurozone (EZ) gehörten bis Dezember 16 Länder (EZ16): Belgien,
                                                                                    Estland                                        16,1
     Deutschland, Finnland, Frankreich, Griechenland, Irland, Italien, Lu-          Lettland                                              18,3
     xemburg, Malta, die Niederlande, Österreich, Portugal, Slowenien, die          Litauen                                               18,3
                                                                                   Spanien                                                    20,2
     Slowakei, Spanien und Zypern.
18                                                                            Quelle : Eurostat, Statistisches Bundesamt
     Zur Europäischen Union (EU) gehörten bis Dezember 27 Länder (EU
     27): die Mitglieder der Eurozone und sowie Bulgarien, Dänemark, Est-
     land, Großbritannien, Lettland, Litauen, Polen, Rumänien, Schweden,
     Tschechien und Ungarn.




                                                                                                                                                     18
Monatsbericht Februar 2011
                                                                                                                          Bundesagentur für Arbeit



                                         II. Soziale Sicherung bei Arbeitslosigkeit

Im Februar erhielten 5.732.000 erwerbsfähige Menschen Lohnersatzleistungen nach dem SGB III oder
Leistungen zur Sicherung des Lebensunterhalts nach dem SGB II. Die Zahl der Leistungsempfänger ist
damit im Vorjahresvergleich um 504.000 zurückgegangen. Integrierte Auswertungen zu Leistungsbezug
und Arbeitslosigkeit liegen für den Oktober vor. Danach waren 47 Prozent der Leistungsempfänger ar-
beitslos gemeldet. Von allen Arbeitslosen erhielten 88 Prozent Leistungen aus der Arbeitslosenversiche-
rung oder der Grundsicherung für Arbeitsuchende.

                                                                                                                                     20
1. Überblick                                                                  ten (so genannte Aufstocker). Außer den Leis-
Nach einer vorläufigen Hochrechnung bekamen                                   tungsempfängern gab es im Oktober noch
im Februar 5.732.000 erwerbsfähige Menschen                                   367.000 Arbeitslose, die im Berichtsmonat keine
Lohnersatzleistungen nach dem SGB III oder                                    Geldleistungen aus der Arbeitslosenversiche-
Leistungen zur Sicherung des Lebensunterhalts                                 rung oder der Grundsicherung bezogen. Von
nach dem SGB II, 504.000 oder 8 Prozent weni-                                 allen Arbeitslosen erhielten 88 Prozent Leistun-
ger als vor einem Jahr (siehe Abbildung 13:                                   gen (siehe Abbildung 12: Arbeitslosigkeit und
Leistungsempfänger nach Rechtskreisen).                                       Leistungsbezug).

                                                                              Abbildung 12
Integrierte Auswertungen zu Leistungsbezug
und Arbeitslosigkeit können erst nach einer War-
                                                                              Arbeitslosigkeit und Leistungsbezug
tezeit vorgenommen werden und liegen aktuell
                                                                              Angaben in Tausend
                           19
für den Oktober 2010 vor. Danach waren von                                    Deutschland
5.495.000 Leistungsempfängern 2.579.000 oder                                  Oktober 2010

47 Prozent in der Arbeitslosenversicherung oder                                                                                                  Veränderung zum
                                                                                                                      Oktober September           Vorjahresmonat
der Grundsicherung für Arbeitsuchende arbeits-
                                                                                                                          2010            2010    absolut       in %
los gemeldet. 2.916.000 Personen oder 53 Pro-
zent bekamen Leistungen, ohne arbeitslos zu                                   Arbeitslose                                 2.945        3.031         -283         -8,8
                                                                              davon:
sein. Die Gründe dafür können sein: vorüberge-
                                                                               arbeitslose
hende Arbeitsunfähigkeit, die Teilnahme an                                     Leistungsempfänger =                       2.579        2.653         -259         -9,1
Maßnahmen der Arbeitsförderung, die Inan-                                            Arbeitslosengeld                      718            750        -148      -17,1
spruchnahme der vorruhestandsähnlichen Re-                                         + Arbeitslosengeld II1)                1.928        1.974         -135         -6,5
gelung (des § 428 SGB III bzw. §53a SGB II),                                       - Aufstocker2)                           67             71          -24     -26,0

die Ausübung einer Erwerbstätigkeit von mehr                                   arbeitslose
                                                                               Nicht-Leistungsempfänger                    367            378          -24        -6,2
als 15 Wochenstunden oder eine zulässige Ein-                                 nachrichtlich:
schränkung der Verfügbarkeit insbesondere                                     alle Leistungsempfänger =                   5.495        5.580         -351         -6,0
wegen § 10 SGB II (z. B. Kindererziehung und                                         Arbeitslosengeld                      833            866        -235      -22,0
Schulbesuch). Unter den Leistungsempfängern                                        + Arbeitslosengeld II1)                4.750        4.805         -146         -3,0

waren 88.000 Personen, die ergänzend zum                                           - Aufstocker2)                           88             91          -30     -25,4
                                                                              1)
                                                                                   erw erbsfähige Hilfebedürftige (eHb)
Arbeitslosengeld auch Arbeitslosengeld II erhiel-                             2)
                                                                                   Personen mit gleichzeitigem Bezug von Arbeitslosengeld und Arbeitslosengeld II
                                                                              Quelle: Statistik der Bundesagentur für Arbeit




19
     Eckwerte zu den Arbeitslosengeld- und Arbeitslosengeld II-Empfängern
     werden am aktuellen Rand hochgeschätzt, Strukturdaten liegen für Ar-
     beitslosengeld-Empfänger nach zwei und für die Grundsicherungssta-
     tistik nach drei bzw. vier Monaten vor. Siehe auch Kapitel V. Wichtige
                                                                              20
     statistische Hinweise.                                                         Aufstocker werden dem Rechtskreis SGB II zugeordnet. Bei Summen-
                                                                                    bildung werden Doppelzählungen herausgerechnet.




                                                                                                                                                             19
Monatsbericht Februar 2011
                                                                                       Bundesagentur für Arbeit



2. Arbeitslosenversicherung                        Abbildung 13

Arbeitslosengeld-Empfänger werden als ein-
zelne Personen mit Ansprüchen an die Arbeits-      Leistungsempfänger nach Rechtskreisen

losenversicherung erfasst. Personen, die mit       in Tausend
                                                   Deutschland
Arbeitslosengeld-Empfängern zusammenleben,         2005 bis 2011
also z.B. Partner oder Kinder, und keinen eige-
nen Anspruch haben, werden nicht erhoben.
                                                    6.000
Dies ist beim Vergleich mit Auswertungen aus
der Grundsicherung für Arbeitsuchende zu be-        5.000
achten, in der alle Personen einer Bedarfsge-                       Arbeitslosengeld II
                                                                    (erwerbsfähige Hilfebedürftige)
meinschaft als Hilfebedürftige berücksichtigt       4.000

werden.
                                                    3.000

2.1 Bezieher von Arbeitslosengeld
                                                    2.000
                                                                                       Arbeitslosengeld
Nach einer vorläufigen Hochrechnung erhielten
im Februar 1.073.000 Personen Arbeitslosen-         1.000

geld nach dem SGB III (ohne Arbeitslosengeld
                                                        0
für Weiterbildung). Von Januar auf Februar gab          2005     2006     2007     2008      2009     2010   2011

es einen saisonbedingten Anstieg und zwar um                        Saisonbereinigte Werte            Ursprungswerte

7.000. Saisonbereinigt errechnet sich für Febru-     Quelle: Statistik der Bundesagentur für Arbeit

ar ein Rückgang von -35.000. Gegenüber dem
Vorjahr gab es im Februar 294.000 oder 22 Pro-
                                                   2.2 Zugang und Abgang von Arbeitslosen-
zent weniger Arbeitslosengeld-Empfänger nach
                                                   geld-Empfängern
-263.000 oder -20 Prozent im Januar.
                                                   Im gleitenden Jahreszeitraum von Januar 2010
Von den 1.073.000 Arbeitslosengeld-Empfän-         bis Dezember 2010 – aktuellere Daten liegen
gern im Februar waren 949.000 oder 88 Prozent      hier nicht vor – bezogen 2.778.000 Personen
arbeitslos gemeldet. 124.000 Arbeitslosengeld-     neu Arbeitslosengeld, 430.000 oder 13 Prozent
Empfänger wurden nicht als arbeitslos geführt,     weniger als im gleichen Zeitraum des Vorjahres.
z.B. weil sie die vorruhestandsähnliche Rege-      Die Abgänge aus dem Leistungsbezug haben
lung des § 428 SGB III in Anspruch nahmen, ar-     sich im gleichen Zeitraum um 28.000 oder
beitsunfähig erkrankt waren, sich in einer Trai-   1 Prozent auf 3.021.000 erhöht. Bezieht man die
ningsmaßnahme befanden oder an Maßnahmen           Abgänge auf den jeweiligen Bestand des Vor-
zur Aktivierung und beruflichen Eingliederung      monats, erlaubt dies eine Betrachtung der Ab-
teilnahmen.                                        gangschancen bei sinkenden oder steigenden
                                                   Beständen. Die so berechnete monatsdurch-
                                                   schnittliche Abgangsrate blieb gegenüber dem
                                                   Vorjahresmonat unverändert bei 23,2 Prozent.
                                                   Dabei gelang es im gleitenden Jahreszeitraum
                                                   Januar bis Dezember 2010 1.721.000 oder
                                                   57 Prozent der abgehenden Arbeitslosengeld-
                                                   Empfänger, ihren Leistungsbezug durch Ar-
                                                   beitsaufnahme zu beenden. Dies entspricht
                                                   einem Anstieg um 3 Prozentpunkte gegenüber
                                                   dem Vorjahreszeitraum. Die Abgangsrate in



                                                                                                                       20
Monatsbericht Februar 2011
                                                                                                   Bundesagentur für Arbeit



Arbeit stieg im gleichen Zeitraum um 0,8 Pro-           3. Grundsicherung für Arbeitsuchende 21
zentpunkte auf 13,2 Prozent. Auch die Zahl der
                                                        Hilfebedürftige Personen in der Grundsicherung
Leistungsbezieher, die ihren Anspruch aus-
                                                        umfassen neben erwerbsfähigen auch nicht
schöpften, nahm im Vorjahresvergleich um
                                                        erwerbsfähige Hilfebedürftige, die zusammen in
3.000 bzw. 0,4 Prozent auf 655.000 zu. Die Ab-
                                                        Bedarfsgemeinschaften leben. In einer Bedarfs-
gangsrate durch Ausschöpfung des Anspruchs
                                                        gemeinschaft wohnt mindestens eine erwerbs-
blieb unverändert bei 5,0 Prozent.
                                                        fähige hilfebedürftige Person. Erwerbsfähig ist,
2.3 Höhe des Arbeitslosengeldes                         wer mindestens drei Stunden täglich unter den
                                                        üblichen Bedingungen des Arbeitsmarktes ar-
Für die Höhe des Arbeitslosengeldes ist das vor
                                                        beiten kann. Hilfebedürftig ist, wer seinen Le-
Eintritt der Arbeitslosigkeit erzielte Bruttoarbeits-
                                                        bensunterhalt und den Lebensunterhalt der Per-
entgelt maßgeblich, das um die pauschalierten
                                                        sonen in der Bedarfsgemeinschaft nicht aus
Abgaben zur Sozialversicherung reduziert wird.
                                                        eigenen Mitteln, vor allem durch Aufnahme von
Daneben sind die Steuerklasse, Kinder und
                                                        Arbeit, sichern kann.
Nebeneinkommen von Bedeutung.

                                                        3.1 Erwerbsfähige Hilfebedürftige
Im Dezember – jüngere Daten liegen nicht vor –
erhielten von den 886.000 Arbeitslosengeld-             Die hochgerechnete Zahl der Arbeitslosen-
Empfängern 279.000 oder 31 Prozent den er-              geld II-Empfänger nach dem SGB II ist im Feb-
höhten Satz von 67 Prozent des pauschalierten           ruar gegenüber dem Vormonat saisonbedingt
Netto-Arbeitsentgelts für Arbeitslose mit mindes-       um 19.000 auf 4.763.000 gestiegen, im Ver-
tens einem Kind. Rund 607.000 oder 69 Prozent           gleich zu +62.000 im Vorjahresmonat. Saisonbe-
der Arbeitslosengeld-Empfänger erhielten den            reinigt errechnet sich eine Abnahme um 34.000,
Leistungssatz von 60 Prozent für Bezieher ohne          nach -25.000 im Januar und -5.000 im Dezem-
Kinder.                                                 ber. Im Vergleich zum Vorjahr ist die Zahl der
                                                        erwerbsfähigen Hilfebedürftigen im Februar um
Die durchschnittliche monatliche Anspruchshöhe
                                                        241.000             oder         5 Prozent              gesunken,            nach
betrug bundesweit 809 Euro (ohne Beiträge zur
                                                        -198.000            oder         -4 Prozent             im       Januar        und
Renten- und Krankenversicherung). Nach Ge-
                                                        -174.000 oder -4 Prozent im Dezember.
schlecht und Familienstatus differenziert, reicht
die Spanne von durchschnittlich 640 Euro für
verheiratete Frauen mit Kind bis zu durchschnitt-
lich 1.142 Euro für verheiratete Männer mit Kind.




                                                        21
                                                             Vgl. monatlicher Analytikreport der Statistik, Analyse der Grundsiche-
                                                             rung für Arbeitsuchende,
                                                             http://statistik.arbeitsagentur.de/Navigation/Statistik/Statistische-
                                                             Analysen/Analytikreports/Zentral/Monatliche-Analytikreports/Analyse-
                                                             Grundsicherung-Arbeitsuchende-nav.html.
                                                             Statistik der Grundsicherung für Arbeitsuchende nach SGB II, Über-
                                                             sichtstabellen zur Grundsicherung für Arbeitsuchende nach dem SGB
                                                             II - Bund und Länder, sowie Report für Kreise und kreisfreie Städte,
                                                             http://statistik.arbeitsagentur.de/Navigation/Statistik/Statistik-nach-
                                                             Themen/Grundsicherung-fuer-Arbeitsuchende-SGBII/Ueberblick/Ueberblick-
                                                             Nav.html




                                                                                                                                     21
Monatsbericht Februar 2011
                                                                                                                                      Bundesagentur für Arbeit


                                                                                                                                                    24
Informationen zum Arbeitslosenstatus und zu                                                 hestandsähnliche Regelungen                                     in Anspruch
weiteren Strukturmerkmalen von Arbeitslosen-                                                nahmen.
geld II-Empfängern stehen erst zeitverzögert zur
                                                                                            Abbildung 14
                    22
Verfügung.               Nach der jüngsten Auswertung für
den Oktober 2010 waren 41 Prozent der Ar-
beitslosengeld II-Empfänger                              arbeitslos.              Das        Struktur der erwerbsfähigen Hilfebedürftigen (eHb)
                                                                                             in Prozent
waren 2 Prozentpunkte weniger als noch vor                                                   Deutschland
einem Jahr.                                                                                  Oktober 2010

                                                                                                          4.750.000 erwerbsfähige Hilfebedürftige
2,82 Mio erwerbsfähige Hilfebedürftige erhielten                                                                   7%               unbekannt/Sonstige
im Oktober 2010 Leistungen aus der Grundsi-                                                                        6%               in vorruhestandsähnlichen Regelungen

cherung, ohne arbeitslos zu sein. Dies sind vor                                                                    6%               in Arbeitsunfähigkeit

                                                                                                                   7%               in Erziehung, Haushalt, Pflege
allem drei Gruppen (siehe Abbildung 14: Struk-                                                                                      in Schule, Studium,
                                                                                                                   7%               ungeförderter Ausbildung
tur der erwerbsfähigen Hilfebedürftigen): Hilfe-
                                                                                                                   13%              in ungeförderter Erwerbstätigkeit
bedürftige, die an arbeitsmarktpolitischen Maß-
nahmen teilnehmen; Erwerbstätige deren Ein-                                                                                         in arbeitsmarktpolitischen
                                                                                                                   14%              Maßnahmen
kommen nicht ausreicht den Lebensunterhalt
ihrer Bedarfsgemeinschaft zu sichern; sowie
erwerbsfähige Hilfebedürftige, für die eine Arbeit
                                                 23                                                                                 arbeitslose
derzeit nicht zumutbar ist. So nahm im Okto-                                                                       41%              erwerbsfähige Hilfebedürftige

ber 2010 fast ein Viertel der nicht-arbeitslosen
erwerbsfähigen Hilfebedürftigen an Maßnahmen
der aktiven Arbeitsmarktpolitik teil (684.000 Hil-                                               Quelle: Statistik der Bundesagentur für Arbeit
febedürftige), ein gutes Fünftel ging in einem
Umfang von mehr als 15 Wochenstunden einer                                                                                                                       25
                                                                                            3.2 Erwerbstätige Leistungsbezieher
ungeförderten Erwerbstätigkeit nach (626.000
                                                                                            Im Oktober 2010 bezogen mit 1,40 Mio gut
Hilfebedürftige). Zudem besuchten 321.000
                                                                                            29 Prozent der erwerbsfähigen Leistungsbezie-
erwerbsfähige Hilfebedürftige eine Schule, stu-
                                                                                            her in der Grundsicherung Einkommen aus Er-
dierten oder waren in einer ungeförderten Aus-
                                                                                            werbstätigkeit, 28.000 bzw. 2 Prozent mehr als
bildung, 330.000 betreuten kleine Kinder oder
                                                                                            vor einem Jahr. 1,28 Mio der erwerbstätigen
pflegten Angehörige und 259.000 waren kurz-
                                                                                            Leistungsbezieher übten eine abhängige Be-
oder längerfristig arbeitsunfähig gemeldet.
                                                                                            schäftigung aus, während 126.000 ausschließ-
Schließlich zählten 277.000 erwerbsfähige Hil-
                                                                                            lich oder zusätzlich einer selbständigen Tätigkeit
febedürftige nicht als arbeitslos, weil sie vorru-
                                                                                            nachgingen. Im Vorjahresvergleich stieg die
22                                                                                          Zahl der abhängigen Beschäftigten um 21.000
     Es ist zu beachten, dass eine nennenswerte Zahl der Arbeitslosen im
     Rechtskreis SGB II keine Leistungen aus der Grundsicherung bezieht                     bzw. 2 Prozent. Die Zahl der selbständig er-
     und deshalb die Zahl der Arbeitslosen im Rechtskreis SGB II größer                     werbstätigen ALG II-Bezieher lag um 9.000 bzw.
     ist als die Zahl der arbeitslosen erwerbsfähigen Hilfebedürftigen (um
     4 Prozent). Grund dafür sind zeitverzögert erfasste Rechtskreiswech-                   8 Prozent über dem Vorjahreswert.
     sel und kurzzeitige Leistungsunterbrechungen. Siehe hierzu auch Ka-
     pitel IV. und ausführlich den Methodenbericht „Zur Messung der Ar-
     beitslosigkeit in der Grundsicherung für Arbeitsuchende nach dem
                                                                                            24
     SGB II“,                                                                                    § 428 SGB III/§ 65 SGB II/§252 Abs. 8 SGB VI
     http://statistik.arbeitsagentur.de/Navigation/Statistik/Grundlagen/Methodenberichte/   25
     Methodenberichte-Nav.html.                                                                  Siehe hierzu Statistik der Bundesagentur für Arbeit, Arbeitsmarkt in
23                                                                                               Zahlen, Erwerbstätige Arbeitslosengeld II-Bezieher,
     Kriterien hierfür sind nach § 10 SGB II insbesondere die Erziehung
                                                                                                 http://statistik.arbeitsagentur.de/Navigation/Statistik/Statistik-nach-
     von Kindern unter drei Jahren, die Pflege von Angehörigen sowie der                         Themen/Grundsicherung-fuer-Arbeitsuchende-SGBII/Bedarfe-Leistungen-
     Besuch einer Schule.                                                                        Einkommen/Bedarfe-Leistungen-Einkommen-Nav.html




                                                                                                                                                                           22
Monatsbericht Februar 2011
                                                                                                  Bundesagentur für Arbeit



Das erzielte Einkommen und die Arbeitszeit der       schaft. In einem Drittel der Bedarfsgemeinschaf-
erwerbstätigen erwerbsfähigen Hilfebedürftigen       ten lebten 2,00 Mio minderjährige Kinder. Mit
variieren erheblich. Daten zum Umfang und Art        392.000 war ein Fünftel unter 3 Jahre und mit
der Beschäftigung liegen erst mit einer Wartezeit    876.000 rund 44 Prozent unter 7 Jahre alt.
vor. Im Juli 2010 war mit 710.000 der 1,29 Mio
                                                     Abbildung 15
abgängig erwerbstätigen Hilfebedürftigen mehr
als die Hälfte ausschließlich geringfügig entlohnt
                                                     Bedarfsgemeinschaften und hilfebedürftige Personen1)
beschäftigt. Mit 351.000 war ein gutes Viertel in
                                                     Angaben in Tausend
sozialversicherungspflichtiger Vollzeit beschäf-     Deutschland
tigt, darunter 38.000 Auszubildende, und             Februar 2011

18 Prozent (231.000 Personen) waren sozial-                                                                              Veränderung zum
                                                                                                Februar         Januar      Vorjahresmonat
versicherungspflichtig in Teilzeit beschäftigt. Im
                                                                                                   2011           2011     absolut       in %
Vergleich zum Juli 2010 stieg die Zahl der in
                                                     Bedarfsgemeinschaften                        3.515          3.500           -129        -3,5
Vollzeit  beschäftigten    Arbeitslosengeld II-      hilfebedürftige Personen                     6.533          6.513           -322        -4,7
Bezieher um 11.000 bzw. 3 Prozent. Im gleichen       davon:

Zeitraum stieg die Zahl der sozialversicherungs-      erwerbsfähige Hilfebedürftige               4.763          4.744           -241        -4,8
                                                      nicht
pflichtig in Teilzeit beschäftigten Leistungsbe-      erwerbsfähige Hilfebedürftige               1.769          1.769            -80        -4,3
zieher um 18.000 bzw. 8 Prozent und die Zahl         SGB II-Quote2)                                10,1          10,0            -0,5          x

der ausschließlich geringfügig entlohnt Beschäf-     eHb-Quote3)                                      8,8          8,8           -0,5          x
                                                     1)
                                                          vorläufige hochgerechnete Werte
tigten um 31.000 bzw. 5 Prozent.                     2)
                                                          hilfebedürftige Personen bezogen auf die Bevölkerung bis unter 65 Jahre
                                                     3)
                                                          erw erbsfähige Hilfebedürftige (eHb) bezogen auf die Bevölkerung von
                                                          15 bis unter 65 Jahre
3.3 Bedarfsgemeinschaften und hilfebedürf-           Quelle: Statistik der Bundesagentur für Arbeit

tige Personen

Im Februar lebten die 4,76 Mio erwerbsfähigen
                                                     3.4 Zugang und Abgang von erwerbsfähigen
Hilfebedürftigen gemeinsam mit 1,77 Mio nicht
                                                     Hilfebedürftigen
erwerbsfähigen Hilfebedürftigen in 3,51 Mio Be-
darfsgemeinschaften. Nicht erwerbsfähige Hilfe-      Im gleitenden Jahreszeitraum November 2009
bedürftige sind vor allem Kinder unter 15 Jah-       bis Oktober 2010 gab es hochgerechnet
ren, ihr Anteil an dieser Gruppe belief sich zu-     2,16 Mio Zugänge und 2,37 Mio Abgänge von
letzt auf 96 Prozent. Im Vergleich zum Vorjah-       erwerbsfähigen Hilfebedürftigen. Die Zahl der
resmonat hat sich die Zahl der Hilfebedürftigen      Zugänge in Hilfebedürftigkeit sank im Vergleich
insgesamt um 322.000 bzw. 5 Prozent auf              zum Vorjahreszeitraum um 5 Prozent während
6,53 Mio reduziert. Die Zahl der Bedarfsgemein-      die Zahl der Abgänge um 3 Prozent anstieg.
schaften hat um 129.000 bzw. 4 Prozent abge-         Dividiert man die monatlichen Ab- bzw. Zugänge
nommen (siehe Abbildung 15: Bedarfsgemein-           durch den Bestand im Vormonat erhält man
schaften und hilfebedürftige Personen).              monatliche Ab- bzw. Zugangsraten. Dies erlaubt
                                                     Aussagen – etwa über die Abgangschancen –
Im Durchschnitt lebten in einer Bedarfsgemein-       bei wachsenden oder sinkenden Beständen.
schaft knapp 1,9 Personen. Von den Bedarfsge-        Gemessen am jeweiligen Vormonatsbestand
meinschaften im Oktober 2010 waren 52 Pro-           kamen im Zeitraum von November 2009 bis
zent Single-Bedarfsgemeinschaften, 18 Prozent        Oktober 2010 monatsdurchschnittlich 3,6 Pro-
Alleinerziehende, 12 Prozent Paare ohne Kinder       zent erwerbsfähige Hilfebedürftige neu in Hilfe-
und 15 Prozent Paare mit Kindern. Allerdings         bedürftigkeit (Zugangsrate). Im gleichen Zeit-
lebten fast drei Viertel der hilfebedürftigen Per-   raum gelang es pro Monat durchschnittlich
sonen in einer Mehrpersonen-Bedarfsgemein-           4,0 Prozent des Bestands hilfebedürftiger Per-



                                                                                                                                        23
Monatsbericht Februar 2011
                                                                                                                                   Bundesagentur für Arbeit


                                                                                                                                               27
sonen ihre Hilfebedürftigkeit wenigstens zeitwei-                                         3.6 Höhe der Geldleistungen
se zu beenden (Abgangsrate). Im Vergleich zum
                                                                                          Im Oktober 2010 erhielt eine durchschnittliche
Vorjahreszeitraum sank die Zugangsrate um
                                                                                          Bedarfsgemeinschaft mit 1,9 Personen 842 Euro
0,3 Prozentpunkte. Die Abgangsrate stieg dage-
                                                                                          an Geldleistungen aus der Grundsicherung. In
gen gegenüber dem Vorjahr um 0,1 Prozent-
                                                                                          diesem Betrag sind alle Leistungen der Grundsi-
punkte.                                                                                                                     28
                                                                                          cherung zum Lebensunterhalt           enthalten.
                                                                                          Rechnet man die Sozialversicherungsbeiträge
Von den erwerbsfähigen Hilfebedürftigen, die im                                           bzw. -zuschüsse und die einmaligen Leistungen
gleitenden Jahreszeitraum ihre Hilfebedürftigkeit                                         heraus, erhielt eine Bedarfsgemeinschaft im
beendeten, bekamen 27 Prozent innerhalb von                                               Durchschnitt 671 Euro ausgezahlt. Die Gesamt-
drei Monaten wieder Leistungen aus der Grund-                                             geldleistungen variieren deutlich nach Größe
sicherung. Von den in Hilfebedürftigkeit zuge-                                            und Typ der Bedarfsgemeinschaft und reichen
gangenen Personen hatten 31 Prozent innerhalb                                             von durchschnittlich 719 Euro für eine Bedarfs-
der vergangenen drei Monate und die Hälfte                                                gemeinschaft mit einer Person bis zu 1.394 Euro
während der vergangenen zwölf Monate bereits                                              für eine Bedarfsgemeinschaft mit fünf und mehr
einmal Leistungen nach dem SGB II bezogen.                                                Personen.
Das waren 1,9 Prozentpunkte weniger als noch
im         Vorjahreszeitraum.                        Zudem               bezogen          Aber auch bei gleicher Größe und Typ der Be-
13 Prozent der Zugehenden im Verlauf der ver-                                             darfsgemeinschaft zeigen sich Unterschiede.
gangenen drei Monate mindestens einmal Ar-                                                Zum einen variiert das Mietniveau, außerdem
beitslosengeld nach dem SGB III, 2,3 Prozent-                                             erhalten nicht alle Bedarfsgemeinschaften den
punkte weniger als im Vorjahreszeitraum. 7 Pro-                                           befristeten Zuschlag nach vorherigem Arbeitslo-
zent gingen als Aufstocker von Arbeitslosengeld                                           sengeldbezug oder Mehrbedarfe z.B. bei
zu. Das waren 0,9 Prozentpunkte weniger als im                                            Schwangerschaft oder Behinderung. Ein weite-
gleichen Zeitraum des Vorjahrs.                                                           rer wichtiger Grund ist, dass eigenes Einkom-
                                                                                          men den Bedarf in unterschiedlich großem Um-
                              26                                                          fang verringert. So war im Oktober in 57 Prozent
3.5 Hilfequoten
                                                                                          der Bedarfsgemeinschaften eigenes Einkommen
Im Februar waren 10,1 Prozent der in Deutsch-
                                                                                          anrechenbar, darunter in 35 Prozent aller Be-
land lebenden Bevölkerung unter 65 Jahren                                                 darfsgemeinschaften Kindergeld, in knapp
hilfebedürftig. Die SGB II-Quote lag damit um                                             30 Prozent Einkommen aus Erwerbstätigkeit, in
0,5 Prozentpunkte unter dem Vorjahresniveau.                                              8 Prozent Unterhalt und in 7 Prozent andere
                                                                                          Sozialleistungen (u.a. Arbeitslosengeld).
Die Quote für die erwerbsfähigen Hilfebedürfti-
gen (bezogen auf die 15- bis unter 65-Jährigen)
ging ebenfalls um 0,5 Prozentpunkte auf
8,8 Prozent zurück. Die Quote für die nicht er-
werbsfähigen Kinder unter 15 Jahren (bezogen                                              27
                                                                                               Vgl. hierzu Statistik der Bundesagentur für Arbeit, Statistik der Grund-
auf die unter 15-jährige Wohnbevölkerung in                                                    sicherung für Arbeitsuchende nach SGB II, Geldleistungen für Be-
                                                                                               darfsgemeinschaften, Daten nach einer Wartezeit von 3 Monaten,
Deutschland) liegt bis Oktober vor. Sie lag mit                                                http://statistik.arbeitsagentur.de/Navigation/Statistik/Statistik-nach-
15,5 Prozent 0,4 Prozentpunkte unter dem Ni-                                                   Themen/Grundsicherung-fuer-Arbeitsuchende-SGBII/Bedarfe-Leistungen-
                                                                                               Einkommen/Bedarfe-Leistungen-Einkommen-Nav.html
veau des Vorjahres.                                                                       28
                                                                                               Leistungen zur Sicherung des Lebensunterhaltes setzen sich zusam-
                                                                                               men aus den Regelleistungen Arbeitslosengeld II und Sozialgeld, Leis-
                                                                                               tungen für Mehrbedarfe, Einmalleistungen, Beiträge zur gesetzlichen
26                                                                                             Kranken-, Pflege- und Rentenversicherung, Leistungen für Unterkunft
     Vgl. zur Ermittlung der Hilfequoten:
     http://statistik.arbeitsagentur.de/Navigation/Statistik/Grundlagen/Berechnung-der-        und Heizung sowie ggf. einem Zuschlag für ehemalige Arbeitslo-
     Hilfequoten/Berechnung-der-Hilfequoten-Nav.html.                                          sengeld-Empfänger.




                                                                                                                                                                     24
Monatsbericht Februar 2011
                                                                             Bundesagentur für Arbeit



                                     III. Ausbildungsmarkt

Im Gegensatz zum Arbeitsmarkt ist der Ausbildungsmarkt nicht auf einen umgehenden Ausgleich von
Angebot und Nachfrage gerichtet. Vielmehr orientieren sich Jugendliche und Ausbildungsbetriebe am
regulären Beginn der Ausbildung im August und September. Kumulierte Stellen und Bewerbermeldungen
zu Beginn des Berufsberatungsjahres (Oktober bis Februar) sind daher kaum aussagekräftig und werden
nicht veröffentlicht. Eine erste Einschätzung der Lage auf dem Ausbildungsmarkt im Berufsberatungsjahr
2010/2011 erfolgt im Monatsbericht März 2011.




                                                                                                25
Monatsbericht Februar 2011
                                                                                                     Bundesagentur für Arbeit



                               IV. Einsatz der arbeitsmarktpolitischen Instrumente
Arbeitsmarktpolitische Maßnahmen verfolgen das Ziel, Arbeitslose nachhaltig in den Arbeits- und Ausbil-
dungsmarkt zu integrieren. Um eine dauerhafte Beschäftigung zu sichern, sollen Beschäftigungschancen
erweitert und Beschäftigungsfähigkeit erhalten werden. Die Investition in Beschäftigungsfähigkeit legt den
Grundstein zur Entfaltung präventiver Wirkung gegen Arbeitslosigkeit, gleichzeitig kann dadurch ein Bei-
trag zur Deckung des Fachkräftebedarfs geleistet werden. Wegen der Besonderheiten der jeweils zu
betreuenden Personenkreise werden in den beiden Rechtskreisen die arbeitsmarktpolitischen Instrumen-
te mit verschiedenen Schwerpunkten eingesetzt. Kunden im Rechtskreis SGB III verfügen, aufgrund ihrer
im Durchschnitt kürzeren Dauer der Arbeitslosigkeit, in der Regel über aktuellere Erfahrungen im Berufs-
leben. Für sie kommen daher vermehrt arbeitsmarktpolitische Instrumente in Frage, die auf eine Verbes-
serung bereits vorhandener Qualifikationen oder eine Beschäftigung auf dem ersten Arbeitsmarkt abzie-
len. Bei Arbeitslosen im Rechtskreis SGB II liegt eine Beschäftigung in der Regel schon länger zurück
oder wurde zum Teil noch nie ausgeübt, daher werden in diesem Rechtskreis neben Instrumenten zur
Verbesserung der Integrationschancen auf dem ersten Arbeitsmarkt auch Beschäftigung schaffende
Maßnahmen eingesetzt.

Zur Verbesserung der Integrationschancen kommt dem wirkungsvollen Einsatz arbeitsmarktpolitischer
Maßnahmen – gerade vor dem Hintergrund knapper Haushaltsmittel – eine besondere Bedeutung zu. So
hat der Haushaltsausschuss des Deutschen Bundestages im April 2010 die Erwartungen formuliert, die
Eingliederungsquote im SGB II um fünf Prozentpunkte zu steigern. An Verbesserungen wird entlang des
gesamten Förderprozesses gearbeitet. Mit dem sogenannten Fördercheck haben die Integrationsfach-
kräfte ein Werkzeug erhalten, das sie bei der Auswahl einer erfolgsversprechenden Maßnahme unter-
stützt. Im Fokus der Arbeit steht es ebenso, die Zusammenarbeit mit den Maßnahmeträgern sowie die
Eingliederungsbemühungen nach absolvierter Maßnahme weiter zu optimieren.

1. Umfang der eingesetzten arbeits-
marktpolitischen Instrumente 29                                              1.1 Teilnahme an Maßnahmen zur Aktivie-
                                                                       30
                                                                             rung und beruflichen Eingliederung
Im Februar befanden sich 1,3 Mio Personen
in einer von Bund oder Bundesagentur für Ar-                                 Maßnahmen zur Aktivierung und beruflichen
beit geförderten arbeitsmarktpolitischen Maß-                                Eingliederung, die sowohl im Rechtskreis
nahme. Dies waren 18 Prozent weniger als im                                  SGB III als auch im Rechtskreis SGB II einge-
gleichen Monat des Vorjahrs. Im Februar 2011                                 setzt werden, können bei einem Träger oder
kamen 2,5 Arbeitslose auf jede geförderte                                    aber auch von einem Arbeitgeber durchgeführt
Person, gegenüber einer Förderintensität von                                 werden. Mit diesen Maßnahmen wurden im
2,3 im Februar 2010. Damit fiel die Förderung                                Februar 183.000 Personen unterstützt. Im
durch Maßnahmen der aktiven Arbeitsmarktpo-                                  Berichtsmonat sind 108.000 Personen in eine
litik niedriger aus als im Vorjahresmonat.                                   solche Maßnahme eingetreten. Seit Januar
                                                                             haben somit 192.000 Personen eine entspre-
29                                                                           chende Maßnahme begonnen. Das waren
     Die Daten sind vorläufige, z.T. nicht hochgerechnete Daten am
     aktuellen Rand. Ein Vergleich mit dem Vorjahr ist daher nur einge-      30 Prozent weniger als im Vorjahreszeitraum.
     schränkt möglich.
30
     Die Zahl der Teilnehmer an Maßnahmen der aktiven Arbeitsmarktpo-
                                                                             1.2 Förderung der beruflichen Weiterbil-
     litik darf nicht mit der Entlastungswirkung der aktiven Arbeitsmarkt-
     politik verwechselt werden, die in Kapitel I. ausführlich beschrieben   dung
     wird. Nicht allen bestandswirksamen Maßnahmen der aktiven Ar-
     beitsmarktpolitik sind entlastende Wirkungen zuzuordnen (vgl. dazu      Im Februar nahmen mit 206.000 Personen
     Kapitel V. „Wichtige statistische Hinweise“ Nr. 5).
                                                                             ebenso viele an einer Weiterbildungsmaßnah-



                                                                                                                       26
Monatsbericht Februar 2011
                                                                                                           Bundesagentur für Arbeit



me (inkl. Reha) teil wie im Vorjahresmonat. Im                           1.3 Eingliederungszuschüsse
aktuellen Monat haben 28.000 Personen eine
                                                                         Mit Hilfe von Eingliederungszuschüssen wurde
berufliche Weiterbildung begonnen – seit Jah-
                                                                         im Februar die Beschäftigung von 97.000 Ar-
resbeginn waren es 53.000. Das                                   waren
                                                                         beitnehmern              mit      Vermittlungshemmnissen
27 Prozent weniger als im Vorjahreszeitraum.
                                                                         gefördert, davon in 13.000 Fällen erstmalig. Im
                                                                         Vergleich zum Vorjahresmonat war dies ein
1.2.1 Qualifizierung über das Programm
                                                                         Rückgang im Bestand um 17 Prozent. Seit
WeGebAU
                                                                         Jahresbeginn wurden 26.000 Personen neu
Die Bundesagentur für Arbeit fördert die Wei-                            gefördert – 21 Prozent weniger als im Vorjah-
terbildung Beschäftigter insbesondere mit dem                            reszeitraum.
Programm „Weiterbildung Geringqualifizierter
                                                                                                                                 31
und beschäftigter älterer Arbeitnehmer in Un-                            1.4 Förderung der Selbständigkeit
ternehmen“. Im Oktober 2010 – jüngere end-
                                                                         Im Februar wurde die selbständige Existenz
gültige Werte liegen noch nicht vor – wurden
                                                                         von 140.000 Personen über die Instrumente
insgesamt 11.000 Förderungen neu bewilligt,
seit Jahresbeginn 2010 waren es 69.000. Da-                              der Selbständigenförderung (Gründungszu-
runter konnten rund 1.400 ältere Arbeitnehmer                            schuss, Einstiegsgeld) unterstützt. Dies waren
ab 45 Jahren in Betrieben mit weniger als 250                            7 Prozent weniger als ein Jahr zuvor. Im Be-
Beschäftigten neu in die Förderung einbezo-                              richtsmonat wurden 9.000 Existenzgründer
gen werden. Seit Jahresbeginn 2010 wurden                                erstmals gefördert. Seit Jahresbeginn waren
so 8.600 Ältere neu gefördert. Daneben erhiel-                           es 24.000. Das waren 23 Prozent weniger als
ten im Oktober Arbeitgeber für 1.400 Arbeit-                             im Vorjahreszeitraum.
nehmer den Arbeitsentgeltzuschuss (AEZ)
bewilligt, seit Jahresbeginn 2010 waren dies                             2. Förderung im Bereich SGB III
12.000.
                                                                         Die Bundesagentur für Arbeit hat den gesetzli-
Abbildung 16                                                             chen Auftrag, zu einem möglichst hohen Be-
                                                                         schäftigungsstand in Deutschland beizutragen
Beschäftigung schaffende Maßnahmen1)                                     und die Beschäftigungsstruktur ständig zu
in Tausend                                                               verbessern. Das Entstehen von Arbeitslosig-
Deutschland                                                              keit soll vermieden und die Dauer der Arbeits-
2005 bis 2011
                                                                         losigkeit verkürzt werden. Zur Verwirklichung
                                                                         dieser Ziele steht den Agenturen für Arbeit
                                                                         eine Vielzahl von arbeitsmarktpolitischen In-
 300
                                                                         strumenten zur Verfügung. Sie erlauben es,
                      Arbeitsgelegenheiten
                      nach 16 Abs. 3 SGB II                              sowohl auf unterschiedliche Arbeitsmarktge-
                                                                         gebenheiten als auch auf die individuellen
 200
                                                                         Voraussetzungen und Bedürfnisse der Arbeit
                                                                         suchenden Menschen zu reagieren. Dabei wird
                                                                         der bereits in den Vorjahren eingeschlagene
 100
                                                                         Weg des effizienten und effektiven Einsatzes
            ABM SGB III                                                  der finanziellen Mittel weiter beschritten. Ge-
                                            ABM SGB II
                                                                         messen an dem Einsatz von Ressourcen soll
    0
     2005      2006     2007    2008    2009     2010    2011
                                                                         31
                                                                              Ohne Einmalleistungen nach § 16c SGB II (Sachmittel für Selbstän-
 1) Die   letzten drei Monate hochgerechnete vorläufige Werte.
                                                                              dige).
Quelle: Statistik der Bundesagentur für Arbeit




                                                                                                                                             27
Monatsbericht Februar 2011
                                                                                       Bundesagentur für Arbeit



ein Maximum an arbeitsmarktlicher Wirkung          Abbildung 17
erreicht werden. Der Einsatz von beschäfti-
gungsbegleitenden Leistungen und Maßnah-
                                                   Förderung der Selbständigkeit im SGB III1)
men zur Verbesserung von Integrationschan-         in Tausend
cen steht dabei eindeutig im Vordergrund.          Deutschland
                                                   2005 bis 2011

2.1 Aktuelle Entwicklungen des Förderge-
schehens im SGB III
                                                    300                      Förderung der
Im Bereich des SGB III wurden im Februar                                     Selbständigkeit insgesamt

711.000 Personen mit Mitteln der aktiven Ar-
beitsmarktpolitik gefördert. Die Zahl der Geför-
                                                    200
derten ist damit im Vergleich zum Vorjahres-                    Existenz-
                                                                gründungs-
monat um 17 Prozent gesunken. Den größten                       zuschuss
Anteil am Fördergeschehen im SGB III machte                                                              Gründungs-
                                                    100
                                                                                                         zuschuss
im Berichtsmonat die Förderung der Berufs-
ausbildung aus (43 Prozent) – gefolgt von
beschäftigungsbegleitenden     Leistungen
                                                        0
(30 Prozent).                                           2005      2006     2007    2008     2009    2010     2011

                                                    1) Die   letzten drei Monate hochgerechnete vorläufige Werte.
Im Februar kamen im Bereich des SGB III            Quelle: Statistik der Bundesagentur für Arbeit
1,6 Arbeitslose auf eine Person in Förderung.
Damit lag die Förderintensität auf dem Niveau
des Vorjahresmonats.                               3. Förderung im Bereich SGB II
                                                                             32
                                                   Die Jobcenter   sind verantwortlich für die
2.2 Förderung der Aufnahme einer selb-             Einrichtung und Durchführung von arbeits-
ständigen Tätigkeit durch Gründungszu-             marktpolitischen Maßnahmen für erwerbsfähi-
schuss                                             ge Hilfebedürftige. Für diesen Personenkreis
Mit dem Gründungszuschuss wurden im                können die klassischen arbeitsmarktpolitischen
FebruarFebruar 131.000 Personen gefördert,         Instrumente des SGB III – mit Ausnahme der
6 Prozent weniger als im gleichen Monat des        Instrumente zur Selbständigenförderung und
Vorjahrs. 8.000 neue Existenzgründer erhielten     der Arbeitsbeschaffungsmaßnahmen – einge-
diesen Monat Unterstützung im Rahmen des           setzt werden. Hinzu kommen das Einstiegs-
SGB III – seit Jahresbeginn waren es 21.000        geld, Arbeitsgelegenheiten, die Freie Förde-
Personen. Dies waren 21 Prozent weniger als        rung sowie der Beschäftigungszuschuss, so-
im Vorjahreszeitraum.                              weit sie für die individuelle Eingliederung in
                                                   das Erwerbsleben erforderlich sind. Daneben
                                                   stehen für diese Personen sozialintegrative
                                                   Leistungen der Kommunen zur Verfügung (z.B.
                                                   Kinderbetreuung).


                                                   32
                                                        Jobcenter sind überwiegend gemeinsame Einrichtungen von
                                                        Agentur und Kommune. In 23 Kreisen nimmt die Agentur die Ar-
                                                        beitsförderung in getrennter Trägerverantwortung vor. 69 Kommu-
                                                        nen führen die Arbeitsmarktpolitik in eigener Trägerverantwortung
                                                        aus (zugelassene kommunale Träger).




                                                                                                                      28
Monatsbericht Februar 2011
                                                                                                   Bundesagentur für Arbeit



3.1 Aktuelle Entwicklungen des Förderge-                                      den rund 2.000 Personen neu gefördert – seit
schehens im SGB II                                                            Jahresbeginn konnten so 4.600 Personen mit
                                                                              Hilfe des Einstiegsgelds eine Erwerbstätigkeit
Im Februar wurden 607.000 Personen mit
                                                                              aufnehmen.
arbeitsmarktpolitischen Instrumenten im SGB II
                33
gefördert. Im Vergleich zum Vorjahresmonat
                                                                              Die Zahl der bei der Aufnahme einer abhängi-
war dies ein Rückgang um fast 20 Prozent.
                                                                              gen Beschäftigung Geförderten stieg im Feb-
Der Bereich der Beschäftigung schaffenden
                                                                              ruar um gut 3 Prozent gegenüber dem Vor-
Maßnahmen, der weit überwiegend aus Ar-
                                                                              jahresbestand, während bei der Variante zur
beitsgelegenheiten besteht, machte mit
                                                                              Förderung der Selbständigkeit ein Rückgang
209.000 Geförderten im Berichtsmonat ein
                                                                              um 20 Prozent zu verzeichnen war. Seit Jah-
gutes Drittel aller im Bereich des SGB II Ge-
                                                                              resbeginn wurden mit Hilfe des Einstiegsgelds
förderten aus – zwei Drittel der Förderung im
                                                                              der Variante Beschäftigung 2.700 Personen
SGB II richtet sich auf arbeitsmarktnähere
                                                                              neu gefördert – 7 Prozent weniger als im glei-
Instrumente.
                                                                              chen Zeitraum des Vorjahrs. Mit knapp 2.000
                                                                              wurden in der Variante Selbständigkeit
26,3 Prozent der zu aktivierenden Personen (in
                                                                              39 Prozent weniger Personen neu gefördert
der Abgrenzung Arbeitslose und Maßnahmet-
                                                                              als im Vorjahreszeitraum.
eilnehmer in ausgewählten Maßnahmen im
Rechtskreis SGB II) wurden im Oktober 2010
                                                                              3.3 Arbeitsgelegenheiten
mit Hilfe einer Maßnahme der aktiven Arbeits-
marktpolitik gefördert. Im Vorjahresmonat be-                                 Arbeitsgelegenheiten (AGH) sind für arbeits-
                             34
trug diese Aktivierungsquote noch 25,9 Pro-                                   marktferne Leistungsempfänger oft ein erster
zent.                                                                         Schritt in Richtung Arbeitsmarkt. Sie dienen
3.2 Einstiegsgeld                                                             vorrangig der Herstellung oder dem Erhalt der
                                                                              Beschäftigungsfähigkeit und sind weiterhin ein
Das Einstiegsgeld kommt ausschließlich im
                                                                              Schwerpunkt der Förderung im SGB II. Im
SGB II-Bereich zum Einsatz und wird als Zu-
                                                                              Februar befanden sich 208.000 Personen in
schuss zum Arbeitslosengeld II gezahlt. Im
                                                                              Arbeitsgelegenheiten, 29 Prozent weniger als
Februar wurden 17.000 Personen durch das
                                                                              noch vor einem Jahr. 39.000 Personen haben
Einstiegsgeld unterstützt – davon rund 8.000
                                                                              eine Arbeitsgelegenheit neu angetreten – seit
bei der Aufnahme einer sozialversicherungs-
                                                                              Jahresbeginn waren es 91.000 Personen. Das
pflichtigen Beschäftigung und 9.000 bei einer
                                                                              waren 30 Prozent weniger als im Vorjahres-
Existenzgründung. Im Vergleich zum Vorjah-
                                                                              zeitraum. Von den im Februar in Arbeitsgele-
resmonat ging die Zahl der Geförderten damit
                                                                              genheiten geförderten Personen befanden sich
um 11 Prozent zurück. Im Berichtsmonat wur-
                                                                              87 Prozent in der Mehraufwands- und
                                                                              13 Prozent in der Entgeltvariante. Im Vergleich
33
     Aufgrund der Trägergebietsreform in Sachsen und Sachsen-Anhalt
                                                                              zum Vorjahresmonat wurden in Arbeitsgele-
     zum 1. Januar 2011 ergeben sich Untererfassungen bei einzelnen
     Jobcentern in kommunaler Trägerschaft.                                   genheiten der Mehraufwandsvariante rund
34
     Gemeint ist die SGB II-bezogene arbeitsmarktorientierte Aktivie-         27 Prozent weniger Personen gefördert.
     rungsquote (AQ1 = Maßnahmeteilnehmer im Rechtskreis SGB II /
     [Maßnahmeteilnehmer im Rechtskreis SGB II + Arbeitslose im
     Rechtskreis SGB II]). Vgl. auch „SGB II-Kennzahlen für interregiona-     3.4 Bürgerarbeit
     le Vergleiche“:
     http://statistik.arbeitsagentur.de/Navigation/Statistik/Statistische-    Aus Anlass der im Koalitionsvertrag getroffe-
     Analysen/SGB-II-Kennzahlen/SGBII-Kennzahlen-Nav.html.
     Ein Bericht zur Methodik der Aktivierungsquote kann unter                nen Festlegung, neue Lösungsansätze zur
     http://statistik.arbeitsagentur.de/Navigation/Statistik/Grundlagen/Met   „Steigerung der Effizienz der Arbeitsmarktin-
     hodenberichte/Methodenberichte-Nav.html heruntergeladen werden.
                                                                              strumente“ zu erproben, hat das Bundesminis-


                                                                                                                          29
Monatsbericht Februar 2011
                                                                                      Bundesagentur für Arbeit



terium für Arbeit und Soziales das Modellpro-       die eine Erwerbstätigkeit auf dem allgemeinen
jekt „Bürgerarbeit“ ins Leben gerufen. Zur Fi-      Arbeitsmarkt voraussichtlich innerhalb der
nanzierung des Modellprojekts stehen insge-         nächsten 24 Monate ohne diese Förderung
samt 1,3 Mrd. Euro bis zum Ende der Projekt-        nicht möglich ist. Die Höhe des Beschäfti-
laufzeit am 31. Dezember 2014 zur Verfügung.        gungszuschusses kann bis zu 75 Prozent des
                                                    berücksichtigungsfähigen Arbeitsentgelts be-
Ziel ist es, möglichst viele arbeitslose erwerbs-   tragen. Im Februar wurden 22.000 Personen
fähige Hilfebedürftige durch qualitativ gute und    durch einen Beschäftigungszuschuss geför-
konsequente Aktivierung in den Arbeitsmarkt         dert, 48 Prozent weniger als im Vorjahresmo-
zu integrieren und nur diejenigen arbeitslosen      nat. Im Berichtsmonat haben 150 Personen ein
Hilfebedürftigen in die Bürgerarbeit zu vermit-     mit dem Beschäftigungszuschuss gefördertes
teln, bei denen eine Integration in den allge-      Beschäftigungsverhältnis angetreten. Seit Jah-
meinen Arbeitsmarkt nicht möglich ist.              resbeginn wurden somit rund 500 Personen
                                                    neu mit Hilfe eines Beschäftigungszuschusses
Die Bürgerarbeit gliedert sich in zwei Phasen:      gefördert, 79 Prozent weniger als im gleichen
In die Aktivierungsphase und in die Beschäfti-      Vorjahreszeitraum.
gungsphase (die „eigentliche“ Bürgerarbeit).
Schwerpunkt in der mindestens sechsmonati-          4. Förderung der Berufsausbildung35
gen Aktivierungsphase ist die vorrangige Integ-
                                                    Im Februar wurden 357.000 Personen im
ration der Teilnehmer in den allgemeinen Ar-
                                                    Rahmen der Berufsberatung und Förderung
beitsmarkt. Die Beschäftigungsphase umfasst
                                                    der Berufsausbildung mit Instrumenten der
das bis zu dreijährige Beschäftigungsverhältnis
                                                    aktiven Arbeitsmarktpolitik mit Mitteln des
bei einem Arbeitgeber, das durch ein intensi-
                                                    SGB II und SGB III gefördert (ohne Berufsaus-
ves Coaching begleitet werden soll. Dabei
                                                    bildungsbeihilfe wegen einer beruflichen Aus-
handelt es sich um sozialversicherungspflichti-
                                                    bildung). Dies waren 10 Prozent weniger als
ge Arbeitsverhältnisse für zusätzliche und im
                                                    vor einem Jahr. Neu eingetreten in eine Förde-
öffentlichen Interesse liegende Arbeiten. Diese
                                                    rung der Berufsausbildung sind in diesem Mo-
können mit einem Zuschuss von bis zu 1.080
                                                    nat 13.000 Personen – seit Jahresbeginn wa-
Euro gefördert werden.
                                                    ren es damit 26.000. Das waren 574 Prozent
                                                    weniger Eintritte als im entsprechenden Vor-
Knapp die Hälfte der Jobcenter beteiligt sich
                                                    jahreszeitraum.
an der Durchführung des Modellprojektes Bür-
gerarbeit. Angestrebt ist, insgesamt 160.000
                                                    4.1 Berufsvorbereitende Bildungsmaßnah-
erwerbsfähige Hilfebedürftige in die Aktivie-
                                                    men
rungsphase aufzunehmen. Im Interessenbe-
kundungsverfahren waren 33.000 Bürgerar-            Im Rahmen berufsvorbereitender Bildungs-
beitsplätze geplant, auf die ab dem 15. Januar      maßnahmen werden insbesondere noch nicht
2011 bereits aktivierte erwerbsfähige Hilfebe-
dürftige vermittelt werden können. Im Februar       35
                                                         Eine Hochrechnung der Zahl der Maßnahmeteilnehmer in der
2011 befanden sich 440 Geförderte in der                 Förderung der Berufsausbildung ist nur teilweise möglich. Daher ist
                                                         beim Vorjahresvergleich zu berücksichtigen, dass der aktuelle Rand
Beschäftigungshase.
                                                         untererfasst ist. Folgende Maßnahmen werden angeboten: Vertiefte
                                                         und erweiterte Berufsorientierung, Berufsausbildung Benachteiligter,
                                                         Ausbildungsbonus, Berufseinstiegsbegleitung und sonstige Förde-
3.5 Beschäftigungszuschuss
                                                         rung der Berufsausbildung (jeweils nicht hochgerechnet) sowie Be-
                                                         rufsvorbereitende Bildungsmaßnahmen, Einstiegsqualifizierung nach
Der Beschäftigungszuschuss richtet sich an               § 235b SGB III und besondere Maßnahmen zur Qualifizierung be-
Langzeitarbeitslose im Rechtskreis SGB II, für           hinderter Menschen (jeweils hochgerechnet).




                                                                                                                         30
Monatsbericht Februar 2011
                                                                       Bundesagentur für Arbeit



ausbildungsreife Jugendliche auf die Aufnah-     4.3 Einstiegsqualifizierung
me einer Ausbildung vorbereitet und sollen
                                                 Arbeitgeber, die junge Menschen im Rahmen
möglichst nachhaltig in den Ausbildungsmarkt
                                                 einer betrieblichen Einstiegsqualifizierung ein-
integriert werden. Zudem besteht die Möglich-
                                                 stellen, erhalten Zuschüsse zur Praktikums-
keit, im Rahmen der Maßnahme den Haupt-
                                                 vergütung zuzüglich eines pauschalierten An-
schulabschluss nachzuholen. Mit 78.000 Per-
                                                 teils am Gesamtsozialversicherungsbeitrag
sonen nahmen im Berichtsmonat etwa ebenso        des zu Qualifizierenden. In Maßnahmen der
viele an berufsvorbereitenden Bildungsmaß-       Einstiegsqualifizierung befanden sich im Janu-
nahmen teil wie im Jahr zuvor. Im Februar sind   ar 26.000 junge Menschen. 2.500 Jugendliche
5.500 junge Menschen in eine berufsvorberei-     haben in diesem Monat eine solche Maßnah-
tende Bildungsmaßnahme eingetreten. Seit         me begonnen. Seit Jahresbeginn sind mit
Jahresbeginn haben somit 10.400 Menschen         4.500 Jugendlichen 24 Prozent weniger einge-
eine berufsvorbereitende Bildungsmaßnahme        treten als im Vorjahreszeitraum.
begonnen – etwa ebenso viele wie im Vor-
jahrszeitraum.                                   4.4 Ausbildungsbonus

                                                 Arbeitgeber erhalten den Ausbildungsbonus für
4.2 Berufsausbildung Benachteiligter
                                                 die zusätzliche Ausbildung von Jugendlichen,
Mit Hilfe verschiedener Instrumente (z.B. Be-    die sich bereits im Vorjahr oder früher erfolglos
rufsausbildung in außerbetrieblichen Einrich-    um einen Ausbildungsplatz bemüht haben,
tungen und ausbildungsbegleitenden Hilfen)       oder für die Ausbildung von Jugendlichen, die
ermöglicht die Förderung der Berufsausbildung    aufgrund einer Insolvenz ihren Ausbildungs-
Benachteiligter Jugendlichen und jungen Er-      platz verloren haben. 33.000 Auszubildende
wachsenen mit geringen Chancen am Arbeits-       wurden im Januar mit Hilfe eines Ausbildungs-
und Ausbildungsmarkt den Einstieg in den         bonus unterstützt. Das waren 21 Prozent mehr
Ausbildungsmarkt. Im Februar befanden sich       als im Vorjahresmonat. Neu in dieses Förder-
117.000 Personen in einer solchen Maßnah-
                                                 programm zugegangen sind im Berichtsmonat
me, – 9 Prozent weniger als im Vorjahresmo-
                                                 41 Jugendliche. Seit der Einführung des Aus-
nat. Im Berichtsmonat haben nach aktuellen,
                                                 bildungsbonus in der zweiten Jahreshälfte
noch untererfassten Werten 2.800 Jugendliche
                                                 2008 waren es 48.000 Bewilligungen.
eine Berufsausbildung Benachteiligter begon-
nen.




                                                                                               31
Monatsbericht Februar 2011
                                                                                                    Bundesagentur für Arbeit



                        V. Wichtige statistische Hinweise zur Interpretation

1. Allgemeine statistische Hinweise



Erhebungsstichtag

Der Erhebungsstichtag der Statistiken der Bundesagentur für Arbeit (BA) liegt seit 2005 in der Monatsmitte, davor wurden
statistische Erhebungen jeweils am Monatsende durchgeführt. Somit kann in der Regel schon am Ende des Berichtsmonats über
den Arbeitsmarkt berichtet werden, zudem passen die Monatsdurchschnittswerte der ILO-Erwerbsstatistik dadurch besser zu den
Monatsmittezahlen der BA-Statistiken. Der Vergleich mit den Jahren vor 2005 ist wegen der unterschiedlichen Lage der Stichtage
etwas verzerrt. Bei der Interpretation von Zu- und Abgängen des jeweiligen Berichtsmonats ist zu beachten, dass der Erfassungs-
zeitraum stets die Hälften zweier Monate umfasst, also z. B. die Arbeitslosmeldungen von Mitte Januar bis Mitte Februar.


Saisonbereinigung

Um die von monatlichen Schwankungen unabhängige Entwicklung abzubilden, werden die Zeitreihen zur Arbeitslosigkeit, zum
Leistungsbezug, zur Beschäftigung und zu den offenen Stellen saisonbereinigt. Die nachfolgenden Ausführungen beziehen sich auf
die Saisonbereinigung der Arbeitslosenzahlen. Die Aussagen sind jedoch auch auf andere Zeitreihen übertragbar.

Die Zahl der Arbeitslosen eines Monats lässt sich als Summe aus drei Komponenten auffassen: Trend, saisonale Komponente und
außergewöhnliche Effekte („irreguläre Komponente“). Diese Komponenten existieren nicht real, sondern sind zweckmäßige gedank-
liche Konstrukte. Es wird also nicht jeder einzelne Arbeitslose in genau eine dieser drei Kategorien eingeteilt, stattdessen bilden
diese drei Komponenten bestimmte inhaltliche Vorstellungen über die Struktur der Zeitreihe ab:

Der Trend soll dabei eine im Zeitverlauf möglichst „glatte“ Beschreibung der Arbeitslosenzeitreihe sein, die eine von monatlichen
Sondereinflüssen oder jahreszeitlichen Schwankungen unabhängige Tendenz in der Entwicklung beschreibt. Der Trend ist damit
hauptsächlich von der konjunkturellen Entwicklung abhängig, allerdings können auch Änderungen in der aktiven Arbeitsmarktpolitik
oder Gesetzesänderungen zu Trendänderungen führen (z.B. ergab die Einführung des SGB II und die damit verbundene Auswei-
tung der Arbeitslosendefinition auf erwerbsfähige Hilfebedürftige Anfang 2005 einen Niveausprung, der keine konjunkturellen Ursa-
chen hatte).

Die saisonale Komponente eines bestimmten Kalendermonats soll die in diesem Monat üblichen Abweichungen der Arbeitslosigkeit
vom Trend beschreiben. In den Wintermonaten ist die Arbeitslosigkeit z.B. regelmäßig höher als der Trend, in den Sommermonaten
ist es umgekehrt. Diese regelmäßigen, im Jahreszyklus wiederkehrenden Effekte in jedem Kalendermonat („Saisonmuster“) werden
im Wesentlichen vom Wetter, aber auch von institutionellen Terminen (z.B. Schuljahresende, Quartalsende, Urlaubszeit, Feiertage)
bestimmt. Wichtig ist dabei, dass die saisonale Komponente der Arbeitslosigkeit nur die üblichen Effekte eines Kalendermonats
beschreibt und beschreiben soll. Ist ein Wintermonat z. B. ganz außergewöhnlich kalt und steigt die Arbeitslosigkeit in diesem Mo-
nat daher besonders stark an, wird nur der sonst übliche Anstieg in diesem Kalendermonat als saisonale Komponente betrachtet.

Die irreguläre Komponente besteht als Restgröße per Definition aus den Abweichungen von Trend und Saisonkomponente. Diese
können durch außergewöhnliche Ereignisse in einem bestimmten Monat hervorgerufen sein (z.B. Streiks), durch ungewöhnliche
Wettereinflüsse (z.B. ein besonders milder Wintermonat oder ein besonders kalter April) oder durch Gesetzesänderungen (z.B. die
Einführung des Saison-Kurzarbeitergeldes).

Eines der wichtigsten Ziele der Arbeitsmarktanalyse ist die Schätzung der konjunkturell bedingten Arbeitslosigkeit (und ihrer Verän-
derung) am aktuellen Rand. Dazu muss der Trend geschätzt und dann der konjunkturelle Anteil am Trend bestimmt werden. Um
aber den Trend überhaupt schätzen zu können, müssen zunächst die saisonalen Effekte, deren Schwankungen viel größer sind als
die kurzfristigen Trendänderungen, berechnet und die Arbeitslosenzeitreihe um diese Effekte bereinigt werden (d.h. die saisonale
Komponente muss von der Arbeitslosenzahl subtrahiert werden). Dieses Vorgehen nennt man Saisonbereinigung. Ergebnis der
Saisonbereinigung ist somit nicht der (glatte) Trend, sondern das Aggregat aus Trend und irregulärer Komponente (das wegen der
irregulären Komponente insbesondere nicht vollständig „glatt“ ist).




                                                                                                                             32
Monatsbericht Februar 2011
                                                                                                      Bundesagentur für Arbeit



Weil die Saisonkomponenten die regelmäßigen Ausschläge eines Kalendermonats sind, stellen sie langfristige Durchschnittswerte
dar, die deswegen auch für den aktuellen Rand ziemlich genau bestimmt werden können. Die Schätzung des Trends am aktuellen
Rand ist ungleich schwieriger und mit rein statistischen Mitteln nicht zu leisten. Die Saisonbereinigung ist also im Wesentlichen eine
mathematisch-statistische Aufgabe, während die Einschätzung des Trends (und insbesondere der konjunkturell bedingten Arbeits-
losigkeit und ihrer Veränderung) am aktuellen Rand von volkswirtschaftlichen Analysten (Arbeitsmarktanalyse und Arbeitmarkt-
berichterstattung der BA) aufgrund ergänzender statistischer Größen und Modelle, inhaltlicher Erwägungen und genauer Kenntnis
der Vorgänge am Arbeitsmarkt zu erfolgen hat; die saisonbereinigten Zahlen sind dafür die notwendige Basis.

Vormonatsvergleiche der saisonbereinigten Zeitreihe sind nicht ohne weiteres geeignet, um Trendänderungen zu bestimmen. Da
die saisonbereinigte Zeitreihe das Aggregat aus Trend und irregulärer Komponente darstellt, sind Vormonatsveränderungen das
Aggregat aus Trendänderungen und Veränderungen der irregulären Komponente. Insbesondere entgegengesetzte irreguläre Kom-
ponenten in aufeinanderfolgenden Monaten können erhebliche Auswirkungen haben. Sinnvoller ist es daher, den Verlauf der sai-
sonbereinigten Reihe über mehrere der jeweils letzten Monate zu betrachten.

Saisonale Einflüsse bleiben im Zeitverlauf nicht konstant, sondern können sich langfristig ändern. Daher stellt die Bestimmung der
Saisonkomponenten zwangsläufig nur eine (allerdings in der Regel ziemlich präzise) Schätzung dar. Grundsätzlich lernt das Verfah-
ren der Saisonbereinigung mit jeder neuen Zahl am aktuellen Rand; die Schätzung der Saisonkomponenten wird mit jedem neuen
Monat verbessert. Daher wird auch die saisonbereinigte Zeitreihe in jedem Monat vollständig neu berechnet; bereits veröffentlichte
Werte aus den vorangegangenen Monaten können sich dann verändern (so genannte Revisionen).

Üblicherweise fallen Revisionen sehr gering aus; größere Revisionen treten dann auf, wenn es abrupte Änderungen im Saisonmus-
ter gibt, die vom Verfahren erst im Laufe der Zeit erkannt werden können. Aktuelles Beispiel für eine solche Änderung ist die plötzli-
che Dämpfung der Winterarbeitslosigkeit durch das im Winter 2006/2007 eingeführte Saison-Kurzarbeitergeld. Die saisonbereinig-
ten Arbeitslosenzahlen der Wintermonate wurden seitdem rückwirkend nach oben korrigiert, weil das Verfahren erkannt hat, dass
der Saisoneinfluss jetzt geringer ist als in der Vergangenheit.




                                                                                                                               33
Monatsbericht Februar 2011
                                                                                                     Bundesagentur für Arbeit



2. Statistische Hinweise zum Arbeitsmarkt



2a Beschäftigungsstatistik

Der Bestand an sozialversicherungspflichtigen und geringfügig entlohnt Beschäftigten wird auf Basis der Meldungen von Arbeitge-
bern zur Sozialversicherung ermittelt. Aufgrund der Abgabefristen und des Meldeflusses sind stabile statistische Ergebnisse erst
nach sechs Monaten Wartezeit zu erwarten. Um zeitnähere Ergebnisse zu erhalten, wird monatlich der Bestand an sozialversiche-
rungspflichtig Beschäftigten mit zwei und drei Monaten Wartezeit ermittelt und auf einen 6-Monatswert hochgerechnet. Der Fehler
dieser Hochrechnung liegt bei der sozialversicherungspflichtigen Beschäftigung deutlich unter einem Prozent, bei der geringfügig
entlohnten Beschäftigung bei über 2 Prozent. Dabei ist zu beachten, dass die mit den hochgerechneten Beständen errechneten
Veränderungsraten mit höheren Unsicherheiten verbunden sind als die Bestände selbst.


In der Arbeitsmarktberichterstattung der BA steht die Erwerbstätigkeit und die Beschäftigung nach dem Inlandskonzept im Vorder-
grund, insbesondere wegen der engeren Anbindung an Konjunktur und Arbeitskräftenachfrage als beim alternativen Inländerkon-
zept. Nach dem Inlandskonzept gehören Einpendler, die in Deutschland arbeiten, ihren Wohnsitz aber im Ausland haben, zu den
Erwerbstätigen bzw. Beschäftigten, während Auspendler nicht mitgezählt werden. Beim Inländerkonzept ist es entsprechend umge-
kehrt. Somit erklären Höhe und Veränderung des Saldos zwischen Ein- und Auspendlern den Unterschied in Niveau und Verände-
rung der Erwerbstätigkeit bzw. Beschäftigung nach Inlands- und Inländerkonzept

Die nationale Klassifikation der Wirtschaftszweige (WZ) wurde in Folge der Revision der "Statistischen Systematik der Wirtschafts-
zweige in der Europäischen Gemeinschaft" (NACE) ab dem Berichtsjahr 2008 von der WZ 2003 auf WZ 2008 umgestellt. Die An-
gaben über die sozialversicherungspflichtig und geringfügig entlohnten Beschäftigten und die Betriebe werden für die Stichtage ab
Januar 2008 nach der WZ 2008 veröffentlicht. Für Vergleiche (Vorjahr/Vorquartal/Vormonat) stehen für das Jahr 2007 grundsätzlich
jedoch beide Klassifikationen zur Verfügung. Die Hochrechnung der sozialversicherungspflichtig Beschäftigten für den aktuellen
Rand wurde zum Berichtsmonat Januar 2009 auf WZ 2008-Wirtschaftsabschnitte umgestellt, da dann eine hinreichend lange Zeit-
reihe zur Ermittlung der Hochrechnungsfaktoren vorlag.




2b Arbeitslosenstatistik

Definition der Arbeitslosigkeit

Die Definition der Arbeitslosigkeit findet sich im § 16 SGB III. Danach sind Arbeitslose Personen, die wie beim Anspruch auf Arbeits-
losengeld
1.    vorübergehend nicht in einem Beschäftigungsverhältnis stehen,
2.    eine versicherungspflichtige Beschäftigung suchen und dabei den Vermittlungsbemühungen der Agentur für Arbeit zur Verfü-
      gung stehen und
3.    sich bei einer Agentur für Arbeit arbeitslos gemeldet haben.
Außerdem gelten nach § 16 Abs. 2 SGB III Teilnehmer an Maßnahmen der aktiven Arbeitsmarktpolitik als nicht arbeitslos.
In den §§ 116 ff SGB III wird der Arbeitslosenbegriff im Zusammenhang mit der Regelung des Anspruch auf Arbeitslosengeld weiter
präzisiert.
Für Hilfebedürftige nach dem SGB II findet nach § 53a Abs. 1 SGB II die Definition der Arbeitslosigkeit nach dem SGB II sinngemäß
Anwendung. Im SGB II gibt es folgende typische Fallkonstellationen, in denen erwerbsfähige Hilfebedürftige nicht als arbeitslos
geführt werden:
a. Beschäftigte Personen, die mindestens 15 Stunden in der Woche arbeiten, aber wegen zu geringem Einkommen bedürftig
     nach dem SGB II sind und deshalb Arbeitslosengeld II erhalten, werden nicht als arbeitslos gezählt, weil das Kriterium der Be-
     schäftigungslosigkeit nicht erfüllt ist.
b. Erwerbsfähige hilfebedürftige Personen, denen Arbeit nach § 10 SGB II nicht zumutbar ist, werden wegen mangelnder Verfüg-
     barkeit nicht als arbeitslos gezählt. Darunter fallen insbesondere Hilfebedürftige, die Kinder erziehen, Angehörige pflegen oder
     zur Schule gehen.
c. Erwerbsfähige Hilfebedürftige, die nach Vollendung des 58. Lebensjahres mindestens für die Dauer von zwölf Monaten Leis-
     tungen der Grundsicherung für Arbeitsuchende bezogen haben, gelten nach § 53a Abs. 2 SGB II dann nicht als arbeitslos,
     wenn ihnen in diesem Zeitraum keine sozialversicherungspflichtige Beschäftigung angeboten werden konnte.




                                                                                                                              34
Monatsbericht Februar 2011
                                                                                                      Bundesagentur für Arbeit



Konzept der Unterbeschäftigung

In der Unterbeschäftigungsrechnung werden zusätzlich zu den registrierten Arbeitslosen auch die Personen erfasst, die nicht als
arbeitslos im Sinne des SGB gelten, weil sie Teilnehmer an einer Maßnahme der Arbeitsmarktpolitik oder einen arbeitsmarktbeding-
ten Sonderstatus besitzen. Es wird unterstellt, dass ohne den Einsatz dieser Maßnahmen die Arbeitslosigkeit entsprechend höher
ausfallen würde. Mit dem Konzept der Unterbeschäftigung wird zweierlei geleistet: (1) Es wird ein möglichst umfassendes Bild vom
Defizit an regulärer Beschäftigung in einer Volkswirtschaft gegeben. (2) Realwirtschaftliche (insbesondere konjunkturell) bedingte
Einflüsse auf den Arbeitsmarkt können besser erkannt werden, weil der Einsatz entlastender Arbeitsmarktpolitik zwar die Arbeitslo-
sigkeit, nicht aber die Unterbeschäftigung verändert.

Es werden folgende Begriffe unterschieden

Arbeitslosigkeit = Zahl der Personen, die die Arbeitslosenkriterien des § 16 Abs. 1 SGB III (Beschäftigungslosigkeit, Verfügbarkeit,
 Arbeitssuche) und des § 16 Abs. 2 SGB III (keine Teilnahme an einer arbeitsmarktpolitischen Maßnahme) erfüllen und deshalb
 als arbeitslos zählen.
Arbeitslosigkeit im weiteren Sinne (i.w.S.) = Zahl der Arbeitslosen nach § 16 SGB III plus Zahl der Personen, die die Arbeitslo-
 senkriterien des § 16 Abs. 1 SGB III erfüllen (Beschäftigungslosigkeit, Verfügbarkeit und Arbeitssuche) und allein wegen des § 16
 Abs. 2 SGB III (Teilnahme an einer arbeitsmarktpolitischen Maßnahme) oder wegen des § 53a Abs. 2 SGB II (erwerbsfähige Hil-
 febedürftig nach Vollendung des 58. Lebensjahres, denen innerhalb eines Jahres keine sozialversicherungspflichtige Beschäfti-
 gung angeboten werden konnte) nicht arbeitslos sind.
Unterbeschäftigung im engeren Sinne (i.e.S.) = Zahl der Arbeitslosen i.w.S. plus Zahl der Personen, die an bestimmten entlas-
 tend wirkenden arbeitsmarktpolitischen Maßnahmen teilnehmen oder zeitweise arbeitsunfähig sind und deshalb die Kriterien des
 § 16 Abs. 1 SGB III (Beschäftigungslosigkeit, Verfügbarkeit und Arbeitssuche) nicht erfüllen. Personen in der Unterbeschäftigung
 im engeren Sinne haben ihr Beschäftigungsproblem (noch) nicht gelöst; ohne diese Maßnahmen wären sie arbeitslos.
Unterbeschäftigung = Unterbeschäftigung i.e.S. plus Zahl der Personen in weiteren entlastenden arbeitsmarktpolitischen Maß-
 nahmen, die fern vom Arbeitslosenstatus sind und ihr Beschäftigungsproblem individuell schon weitgehend gelöst haben (z.B.
 Personen in geförderter Selbständigkeit und Altersteilzeit); sie stehen für Personen, die ohne diese arbeitsmarktpolitischen Maß-
 nahmen arbeitslos wären.


Zur Entlastung durch Arbeitsmarktpolitik vgl. die Statistischen Hinweise zur Arbeitsmarktpolitik.


Vgl. ausführlich dazu den Methodenbericht „Umfassende Arbeitsmarktstatistik: Arbeitslosigkeit und Unterbeschäftigung“ (siehe
http://statistik.arbeitsagentur.de/Navigation/Statistik/Grundlagen/Methodenberichte/Methodenberichte-Nav.html)


Bezugsgrößen für die Berechnung der Arbeitslosenquoten

Die Bezugsgrößen für die Berechnung der Arbeitslosenquoten werden einmal jährlich aktualisiert, und zwar bis auf die Kreis-
ebene. Dies geschieht üblicherweise ab Berichtsmonat Mai; Rückrechnungen werden nicht vorgenommen. Die Bezugsgrößen sind
zweckgebundene Berechnungsgrößen. Dabei wird auf verschiedene Statistiken (Beschäftigungsstatistik, Arbeitslosen- und Förder-
statistik, Personalstandsstatistik und Mikrozensus) zugegriffen, deren Ergebnisse erst mit einer gewissen Wartezeit zur Verfügung
stehen. Deshalb beruht die Bezugsbasis z. B. für 2009 überwiegend auf Daten aus dem Jahr 2008. Für eine einheitliche Berech-
nung der Bezugsgrößen bis auf Kreisebene muss der Aktualitätsverlust in Kauf genommen werden.

Seit dem Berichtsmonat Januar 2009 erfolgt die Berichterstattung über Personengruppen (Geschlecht, Alter, Staatsangehörigkeit)
auf der Basis aller zivilen Erwerbspersonen. Damit erfolgt eine Anpassung an die Gesamtbetrachtung, nachdem bisher für die
Personengruppen auf Basis der abhängigen zivilen Erwerbspersonen berichtet wurde. Ausführliche Informationen zur Erweiterung
der Berichterstattung über Arbeitslosenquoten sind einem im Internet veröffentlichten Methodenbericht zu entnehmen (siehe unter
http://statistik.arbeitsagentur.de/Navigation/Statistik/Grundlagen/Methodenberichte/Methodenberichte-Nav.html).




                                                                                                                             35
Monatsbericht Februar 2011
                                                                                                     Bundesagentur für Arbeit



Erhebungsmethode


Die Arbeitslosenstatistik wird aus den Geschäftsdaten der Arbeitsagenturen und der Träger der Grundsicherung für Arbeitsuchende
gewonnen. Sie ist eine Sekundärstatistik in Form einer Vollerhebung. Basis sind die Daten der Personen, die sich bei den Arbeits-
agenturen und den Trägern der Grundsicherung für Arbeitsuchende gemeldet haben.


Mit der Einführung des Sozialgesetzbuches II haben sich die Grundlagen der Arbeitsmarktstatistik in Deutschland verändert. Bis
Ende 2004 basierten die Statistiken allein auf den Geschäftsdaten der Agenturen für Arbeit. Nach der Zusammenlegung von Ar-
beitslosen- und Sozialhilfe sind die Agenturen nur noch für einen Teil der Arbeitslosen zuständig. Als Träger der neuen Grundsiche-
rung für Arbeitsuchende nach dem SGB II traten mit den Arbeitsgemeinschaften von Arbeitsagenturen und Kommunen (ARGE) und
den zugelassenen kommunalen Trägern (zkT) weitere Akteure auf den Arbeitsmarkt. Zur Sicherung der Vergleichbarkeit und Quali-
tät der Statistik wurde die Bundesagentur für Arbeit gem. § 53 i.V.m. § 51 b SGB II beauftragt, die bisherige Arbeitsmarktstatistik
unter Einbeziehung der Grundsicherung für Arbeitsuchende weiter zu führen. Dabei wurde die Definition der Arbeitslosigkeit aus
dem SGB III beibehalten. Mit den zugelassenen kommunalen Trägern wurden Datenlieferungen und Datenstandards vereinbart, um
deren Daten in die Datenstruktur der BA Statistik einbinden zu können.

Die statistischen Daten zur Arbeitslosigkeit speisen sich seit Januar 2005 aus dem IT-Fachverfahren der Bundesagentur für Arbeit,
aus Datenlieferungen zugelassener kommunaler Träger und – sofern keine verwertbaren bzw. plausiblen Daten geliefert wurden –
aus ergänzenden Schätzungen der Bundesagentur für Arbeit. Die Datengrundlagen im Einzelnen: (1) Das operative Fachverfahren
der BA: Grundlage für die Erstellung der Arbeitslosenstatistiken ist seit Juli 2006 flächendeckend VerBIS (Vermittlungs-, Beratungs-
und Informations-System der BA), welches das bisherige operative Verfahren coArb (computerunterstützte Arbeitsvermittlung) in
Arbeitsagenturen und Arbeitsgemeinschaften ablöste. In VERBIS werden alle vermittlungsrelevanten Informationen über arbeitsu-
chende und arbeitslose Personen im Rahmen der Geschäftsprozesse erfasst und laufend aktualisiert. (2) Der Datenstandard
XSozial-BA-SGB II: Zugelassene kommunale Träger übermitteln einzelfallbezogene Daten aus ihren Geschäftsverfahren nach § 51
b SGB II an die Statistik der Bundesagentur für Arbeit. Die Datenübermittlung erfolgt über eine XML-Schnittstelle nach dem Daten-
austauschstandard XSozial-BA-SGB II, der zwischen BA und kommunalen Spitzenverbänden abgestimmt ist. Datenlücken in der
Vergangenheit wurden mit Schätzwerten auf Basis eines linearen Regressionsmodells gefüllt. Für kurzfristige Datenausfälle wird
seit Februar 2006 ein Fortschreibungsmodell verwendet, das neben den letzten valide gemeldeten Werten auch die durchschnittli-
che Entwicklung von Kreisen mit ähnlicher Arbeitsmarktstruktur nutzt. (3) Zusammenführung der Daten: Die Daten werden bei der
Statistik der BA in Nürnberg in zentralen statistischen IT-Verfahren aufbereitet. Als Basis entstehen Konten mit verlaufsorientierten
Statistik-Informationen je Person, aus denen statistische Kennzahlen ermittelt werden.




Änderungen der Arbeitslosenstatistik durch konzeptionellen Neuaufbau


Die Arbeitslosenstatistik wurde zum Berichtsmonat Mai bzw. November 2009 konzeptionell überarbeitet, um die neuen Informati-
onsmöglichkeiten des Fachverfahrens VerBIS optimal nutzen zu können. Die Daten wurden rückwirkend ab Juli 2006 neu aufberei-
tet; dabei ist es teilweise zu Datenrevisionen gekommen, die sich aber alles in allem in engen Grenzen halten.

Die wichtigsten Revisionen sind:
1.    Der Bestand an Arbeitsuchenden hat sich leicht um durchschnittlich 1 Prozent erhöht.
2.    Der Bestand an Arbeitslosen blieb praktisch unverändert, leichte Abnahmen gab es bei Zu- und Abgängen.
3.    Die Dauer der Arbeitslosigkeit reduzierte sich geringfügig, insbesondere aufgrund von Verschiebungen innerhalb der einzel-
      nen Dauerklassen.
4.    Bei der Schulbildung verschoben sich die Anteile von Abitur-/Hochschulreife zur Fachhochschulreife.
5.    Die Struktur der Zu- und Abgänge Arbeitsloser lässt sich einschließlich zugelassener kommunaler Träger ab Januar 2007
      differenziert darstellen.
6.    Für Arbeitslose aus dem BA-IT-System wurden Auswertungen nach dem Wirtschaftszweig möglich.




                                                                                                                              36
Monatsbericht Februar 2011
                                                                                            Bundesagentur für Arbeit



Neue Auswertungsmöglichkeiten, die sukzessive erschlossen werden, sind:
1.   Künftig wird die neue Gesamtgröße „gemeldete erwerbsfähige Personen“ ausgewiesen, die sich aus drei Kategorien zusam-
     mensetzt:
     -     Arbeitslose Arbeitsuchende („Arbeitslose“)
     -     Nichtarbeitslose Arbeitsuchende
     -     Nicharbeitsuchende erwerbsfähige Personen
2.   Für nichtarbeitslose erwerbsfähige Personen lassen sich künftig insbesondere im Rechtskreis SGB II, Sondertatbestände
     zuordnen, die Arbeitslosigkeit ausschließen, z.B. Schulbesuch, Ausbildung oder Erziehung eines minderjährigen Kindes.




                                                                                                                   37
Monatsbericht Februar 2011
                                                                                                          Bundesagentur für Arbeit



ILO-Erwerbsstatistik und SGB-Arbeitsmarktstatistik

Die ILO-Erwerbsstatistik des Statistischen Bundesamtes setzt die von der Internationalen Arbeitsorganisation (ILO) formulierten,
international anerkannten und angewandten Kriterien für die Differenzierung von Personen nach dem Erwerbsstatus um. Die Quelle
der Erwerbslosendaten ist die Arbeitskräfteerhebung, die in Deutschland in den Mikrozensus integriert ist. Bei der Arbeitskräfteer-
hebung handelt es sich um eine Stichprobenerhebung (monatliche Befragung von 35.000 Personen), entsprechend sind die Hoch-
rechnungsergebnisse mit einem Stichprobenzufallsfehler behaftet, der bei der Interpretation der Ergebnisse zu berücksichtigen ist.
Die Originalergebnisse aus der Arbeitskräfteerhebung können erst ab Januar 2007 veröffentlicht werden. Da gegenwärtig für eine
Saisonbereinigung noch keine ausreichend lange Zeitreihe vorliegt, werden die saisonbereinigten Ergebnisse übergangsweise
unter Nutzung der Daten der Bundesagentur für Arbeit über die monatliche saisonbereinigte Zahl der registrierten Arbeitslosen
geschätzt.

Die Statistik nach dem ILO-Erwerbsstatuskonzept und die Arbeitsmarktstatistik nach dem Sozialgesetzbuch (SGB-
Arbeitsmarktstatistik) haben eine auf den ersten Blick ähnliche Beschreibung von Erwerbslosigkeit bzw. Arbeitslosigkeit. In beiden
Statistiken gelten jene Personen als arbeitslos oder erwerbslos, die ohne Arbeitsplatz sind, dem Arbeitsmarkt zur Verfügung stehen
und Arbeit suchen. Dass trotzdem die Erwerbslosigkeit des ILO-Erwerbsstatuskonzepts deutlich niedriger ausfällt als die Arbeitslo-
sigkeit der SGB-Arbeitsmarktstatistik folgt daraus, dass die Begriffsmerkmale unterschiedlich konkretisiert und mit verschiedenen
Methoden erhoben werden (vgl. Schaubild).

Ausführliche      Informationen      des      Statistischen      Bundesamtes        zur      ILO-Erwerbsstatistik     sind               unter
http://www.destatis.de/jetspeed/portal/cms/Sites/destatis/Internet/DE/Navigation/Statistiken/Arbeitsmarkt/Arbeitsmarkt.psml
zu finden.



Unterschiede von ILO-Erwerbsstatistik und SGB-Arbeitsmarktstatistik im Überblick

                                                        ILO                                                     SGB
                             - Bevölkerungsbefragung                                       - Meldung und Angaben bei einer Agentur für
                                                                                             Arbeit, einer Arbeitsgemeinschaft oder einer
                                                                                             optierenden Kommune
                                                                                           - Totalerhebung
         Erhebung            - Stichprobe                                                  - Stichtagswert
                             - Monatsdurchschnitt                                          - Angaben werden von einem Vermittler geprüft
                             - Plausibilitätsprüfung                                         und beurteilt
                                                                                           - Gespräch mit Vermittler kann länger zurücklie-
                             - zeitnahe Befragung durch Interviewer/in                       gen
                             - eine Beschäftigung von mindestens einer Wochenstunde        - eine Beschäftigung von mindestens 15 Wo-
                               gesucht wird und                                              chenstunden gesucht wird und
                             - der Arbeitsuchende in den letzten vier Wochen spezifische   - der Vermittler zu dem Ergebnis kommt, dass
     Aktive Suche, wenn
                               Suchschritte unternommen hat                                  der Arbeitsuchende alle Möglichkeiten nutzt
                                                                                             oder nutzen will, Beschäftigungslosigkeit zu
                                                                                             beenden
                             - der Arbeitsuchende in den nächsten zwei Wochen eine         - der Arbeitsuchende arbeitsbereit und arbeits-
     Verfügbarkeit, wenn        neue Tätigkeit aufnehmen kann                                fähig ist, insbesondere Vermittlungsvorschlä-
                                                                                             gen zeit- und ortsnah Folge leisten kann
                             - keine Beschäftigung ausgeübt wird (bzw. weniger als eine    - eine Beschäftigung von weniger als 15 Wo-
   Beschäftigungslosigkeit
                               Wochenstunde)                                                 chenstunden ausgeübt wird




                                                                                                                                        38
Monatsbericht Februar 2011
                                                                                                   Bundesagentur für Arbeit



3. Statistische Hinweise zur Statistik der Grundsicherung für Arbeitsuchende



Die Grundsicherungsstatistik und ihre Angaben zu hilfebedürftigen Personen und ihren Leistungen nach dem SGB II beruhen auf
Daten aus dem IT-Fachverfahren A2LL und aus Datenlieferungen kommunaler Träger über den Datenlieferaustauschstandard
XSozial. Die Daten zur Grundsicherung werden nach einer Wartezeit von drei Monaten festgeschrieben. Diese Wartezeit ist vor
allem deshalb notwendig, weil so nachträgliche Bewilligungen, aber auch rückwirkende Aufhebungen von Leistungen noch berück-
sichtigt werden können. Damit für die Entwicklung zeitnahe Informationen zur Verfügung stehen, werden die Eckwerte für Bedarfs-
gemeinschaften sowie erwerbsfähige und nicht erwerbsfähige Hilfebedürftige auf einen erwarteten 3-Monatswert hochgerechnet. Im
IT-Fachverfahren A2LL werden alle für die Gewährung von Leistungen aus der Grundsicherung für Arbeitsuchende relevanten
Sachverhalte festgehalten. Daten, die für den Integrationsprozess wichtig sind, werden in dem operativen Vermittlungs-, Beratungs-
und Informationssystem der BA VerBIS erfasst, darunter insbesondere der Kundenstatus „Arbeitslosigkeit“ oder künftig auswertbar
auch die Gründe für Nichtaktivierung nach § 10 SGB II. Bewerber werden in VerBIS je nach Zuständigkeit entweder dem Rechts-
kreis SGB II oder dem Rechtskreis SGB III zugeordnet. VerBIS ist zusammen mit Datenlieferung von kommunalen Trägern über
XSozial die Grundlage für die Arbeitslosenstatistik. Dabei erfolgt die statistische Aufbereitung von VerBIS- und XSozial-Daten je-
weils zum Zähltag ohne Wartezeit.

Die Zahl der Arbeitslosen im Rechtskreis SGB II wird in der Arbeitslosenstatistik ermittelt. Die Arbeitslosen werden dort den bei-
den Rechtskreise SGB II und SGB III zugeordnet, die Summe ergibt die gesamte rechtskreisübergreifende Arbeitslosigkeit. Informa-
tionen zum Arbeitslosenstatus von Hilfebedürftigen in der Grundsicherung werden über die kombinierte Auswertung von Grund-
sicherungs- und Arbeitslosenstatistik ermittelt. Die Informationen aus beiden Systemen werden zusammengespielt, so dass für
jeden erwerbsfähigen Hilfebedürftigen (eHb) der Bewerberstatus und weitere vermittlungsrelevante Sachverhalte festgestellt und in
der Grundsicherungsstatistik ausgewiesen werden können. Allerdings ist diese Integration zurzeit nur auf Basis von A2LL und
VerBIS und nicht für XSozial möglich; die Ergebnisse aus A2LL und VerBIS werden deshalb proportional hochgerechnet. Vergleicht
man die beiden Auswertungen, ergeben sich unterschiedliche Werte zu Arbeitslosen im Rechtskreis SGB II und arbeitslose
erwerbsfähigen Hilfebedürftigen. Die Gründe dafür sind zeitverzögerte Erfassung von Rechtskreiswechslern und kurzzeitige
Leistungsunterbrechungen im Rechtskreis SGB II. Aus diesem Grund sind die beiden Begriffe „Arbeitslose im Rechtskreis SGB II“
und „arbeitslose erwerbsfähige Hilfebedürftige“ nicht synonym zu verwenden. Auswertungen zu Arbeitslosen im Rechtskreis SGB II
dokumentieren, wie viele Arbeitslose im Rechtskreis SGB II betreut werden – unabhängig vom Leistungsstatus. Auswertungen zu
erwerbsfähigen Hilfebedürftigen dokumentieren, wie viele dieser Personen arbeitslos sind. Ausführliche Erläuterungen finden sich in
dem Methodenbericht „Messung der Arbeitslosigkeit in der Grundsicherung für Arbeitsuchende im SGB II“.



Neue Begriffe aus dem Sozialgesetzbuch II

Erwerbsfähige Hilfebedürftige (eHb) sind Personen im Alter zwischen 15 und unter 65 Jahren, die erwerbsfähig und hilfebedürftig
sind sowie ihren gewöhnlichen Aufenthalt in der Bundesrepublik Deutschland haben. Erwerbsfähig ist, wer mindestens drei Stunden
täglich unter den üblichen Bedingungen des Arbeitsmarktes arbeiten kann. Hilfebedürftig ist, wer seinen Lebensunterhalt und den
Lebensunterhalt der in der Bedarfsgemeinschaft lebenden Personen nicht aus eigenen Mitteln und vor allem nicht durch Aufnahme
einer zumutbaren Arbeit sichern kann. Erwerbsfähige Hilfebedürftige umfassen Erwerbstätige, deren Einkommen nicht zur Deckung
des Lebensunterhalts ausreicht, Arbeitslose und Personen, die aufgrund berechtigter Einschränkungen (z. B. Kinderbetreuung,
Pflege eines Angehörigen, Schulbesuch) derzeit nicht dem Arbeitsmarkt zur Verfügung stehen.

Eine Bedarfsgemeinschaft hat mindestens eine erwerbsfähige hilfebedürftige Person. Sie kann aus mehreren Mitgliedern beste-
hen und erwerbsfähige sowie nichterwerbsfähige Hilfebedürftige wie z. B. Ehegatten bzw. Lebenspartner und minderjährige Kinder
umfassen. Dabei ist zu beachten: Der Begriff der Bedarfsgemeinschaft ist enger gefasst als derjenige der Haushaltsgemeinschaft,
zu der alle Personen gehören, die auf Dauer mit einer Bedarfsgemeinschaft in einem Haushalt leben. So zählen z. B. ein volljähri-
ges Kind, Großeltern und Enkelkinder sowie sonstige Verwandte und Verschwägerte nicht zur Bedarfsgemeinschaft. Von jedem
Mitglied der Bedarfsgemeinschaft wird erwartet, dass es sein Einkommen und Vermögen zur Deckung des Gesamtbedarfs aller
Angehörigen der Bedarfsgemeinschaft einsetzt.

Die Leistungen zur Sicherung des Lebensunterhalts setzen sich zusammen aus Arbeitslosengeld II und Sozialgeld. Die Höhe
der jeweiligen Leistung richtet sich nach dem Gesamtbedarf abzüglich der jeweils anrechenbaren Einkommen und Vermögen.
Arbeitslosengeld II erhalten alle erwerbsfähigen Hilfebedürftigen. Es umfasst die Regelleistung, Leistungen für Mehrbedarfe,
Einmalleistungen, Beiträge zur gesetzlichen Kranken-, Pflege- und Rentenversicherung sowie Leistungen für Unterkunft und Hei-




                                                                                                                            39
Monatsbericht Februar 2011
                                                                                                   Bundesagentur für Arbeit



zung. Ehemalige Arbeitslosengeldempfänger erhalten während der ersten 24 Monate nach Erlöschen des Arbeitslosengeldan-
spruchs einen Zuschlag. Die nicht erwerbsfähigen Mitglieder in der Bedarfsgemeinschaft, vor allem Kinder unter 15 Jahren, erhalten
Sozialgeld, das sich aus den gleichen Komponenten wie das Arbeitslosengeld II zusammensetzt.

Die Leistungen zur Eingliederung in Arbeit umfassen die meisten Leistungen der Arbeitsförderung aus dem SGB III, wie z. B.
berufliche Weiterbildung, Maßnahmen zur Aktivierung und beruflichen Eingliederung und Eingliederungszuschüsse (aber nicht:
Gründungszuschuss und Arbeitsbeschaffungsmaßnahmen). Für erwerbsfähige Hilfebedürftige, die keine Arbeit finden, können
Arbeitsgelegenheiten geschaffen werden.




                                                                                                                           40
Monatsbericht Februar 2011
                                                                                                   Bundesagentur für Arbeit



4. Hinweise zum Verständnis der Statistiken über den Ausbildungsstellenmarkt



1. Allgemeines

Die Statistiken der BA sind die einzigen monatlich verfügbaren Informationen über Angebot und Nachfrage am Ausbildungsmarkt,
und zwar für beide Seiten des Marktes. Die Daten liegen in tiefer berufsfachlicher und regionaler Gliederung vor. Sowohl die Agen-
turen für Arbeit (AA) als auch die Träger der Grundsicherung haben Ausbildungsvermittlung nach § 35 SGB III durchzuführen.
Träger der Grundsicherung können diese Aufgabe durch die Arbeitsagenturen wahrnehmen lassen (§ 16 Abs. 4 SGB II). Die Aus-
bildungsmarktstatistik basiert auf Prozessdaten aus den operativen IT-Verfahren der BA und aus Datenlieferungen zugelassener
kommunaler Trägern (zkT) über den Datenstandard XSozial-BA-SGB II.

Die Erfahrungen aus der Vergangenheit zeigen, dass der Einschaltungsgrad (gemeldete Ausbildungsstellen und gemeldete Bewer-
ber) gemessen an Gesamtangebot und Gesamtnachfrage sehr hoch ist. Ein nicht quantifizierbarer Teil der Inanspruchnahme durch
Arbeitgeber und Jugendliche – insbesondere der freiwilligen Inanspruchnahme nach dem SGB III – richtet sich nach den jeweiligen
Verhältnissen auf dem Ausbildungsmarkt. Bei wachsendem Nachfrageüberhang nutzen Ausbildungsbetriebe die Ausbildungsver-
mittlung seltener und später, die Jugendlichen jedoch häufiger und früher. Bei einem Angebotsüberhang verhält es sich umgekehrt.
Daher sind direkte Rückschlüsse auf die absoluten Zahlen von Gesamtangebot und Gesamtnachfrage nicht möglich.

Der absolute Umfang der "Lücke", der während des laufenden Berichtsjahres errechnet werden kann, sagt als solcher nichts über
die Größe eines evtl. Defizits an Ausbildungsstellen aus. Denn im Gegensatz zum Arbeitsmarkt ist der Ausbildungsmarkt nicht auf
einen umgehenden Ausgleich von Angebot und Nachfrage gerichtet. Vielmehr orientieren sich Jugendliche und Ausbildungsbetrie-
be am regulären Beginn der Ausbildung im August und September. Deshalb ist die "Lücke" im Frühjahr zwangsläufig noch sehr
groß und nimmt erst zum Ende des Vermittlungsjahres deutlich ab. Verstärkt wird dies durch das erwähnte marktabhängige Melde-
verhalten von Betrieben und Jugendlichen. Die "Lücke" im Laufe des Berichtsjahres mit der Zahl der am Ende des Berichtsjahres
voraussichtlich fehlenden Ausbildungsplätzen gleichzusetzen, ist also nicht sachgerecht.

Aus der unterjährigen Entwicklung der rechnerischen Differenz zwischen gemeldeten noch unversorgten Bewerbern und gemelde-
ten und unbesetzten Ausbildungsstellen ("Lücke") lässt sich derzeit nicht unbedingt schließen, ob der Ausbildungsmarkt insgesamt
enger oder entspannter wird. Ursache dafür sind die seit Juli 2006 durch das Fachverfahren VerBIS veränderten Geschäftsprozes-
se in den Arbeitsagenturen und ARGEn und die damit verbundene Neudefinitionen der Bewerber und der unversorgten Bewerber.
Erst wenn Daten über mehrere Jahre vorliegen ist eine Schätzung des Umfangs der "Lücke" zum Berichtsjahresende wieder mög-
lich. Derzeit können keine Prognosen erstellt werden.

Die Vermittlungsbemühungen für unversorgte Bewerber werden auch nach Ende des Berichtsjahres fortgesetzt. Viele neue Ausbil-
dungsangebote ergeben sich erst nach dem 30. September, sei es durch gezielte Sonderprogramme oder durch wieder freigewor-
dene Ausbildungsplätze infolge nicht angetretener oder frühzeitig abgebrochener Ausbildungsverhältnisse.

Viele Bewerber, die zunächst eine betriebliche Ausbildung anstreben (sei es ausschließlich oder vorrangig oder als eine von ver-
schiedenen Möglichkeiten), schlagen letztlich andere Wege (Alternativen) ein. Selbst in Zeiten für Bewerber günstiger Ausbildungs-
platzsituationen ist dies der Fall. Mangelt es an passenden Ausbildungsplätzen, weicht verständlicherweise ein wachsender Teil der
Bewerber auf Ersatzlösungen aus. Eindeutige Zuordnungen und qualifizierte Differenzierungen nach den Ursachen für den alterna-
tiven Verbleib sind mit statistischen Mitteln nicht möglich.

Trotz schwieriger Situation auf dem Ausbildungsmarkt kann ein Teil der Ausbildungsstellen nicht besetzt werden, weil Angebot und
Nachfrage in berufsfachlicher, regionaler und qualifikationsspezifischer Sicht divergieren. Auch infrastrukturelle Schwierigkeiten,
insbesondere ungünstige Verkehrsbedingungen, spielen eine Rolle. Hinzu kommen Vorbehalte seitens der Jugendlichen gegenüber
Ausbildungsbetrieben oder Branchen, aber auch Einstellungsverzichte von Arbeitgebern mangels aus ihrer Sicht geeigneter Bewer-
ber. Zum Teil treten Jugendliche die ihnen zugesagte Lehrstellte aber auch nicht an oder sagen sie nicht rechtzeitig ab. Einige
Betriebe finden dann nicht rechtzeitig einen passenden Nachfolger.

Ausführliche Erläuterungen zu den Statistiken über die Ausbildungsvermittlung finden sich in den aktuellen Monatsheften der Statis-
tik der Bundesagentur über den Ausbildungsmarkt.




                                                                                                                            41
Monatsbericht Februar 2011
                                                                                                    Bundesagentur für Arbeit



2. Veröffentlichung von Gesamtergebnisse über Bewerber für Berufsausbildungsstellen


Ab dem Berichtsjahr 2008/2009 werden in der Statistik über Bewerber für Berufsausbildungsstellen Gesamtergebnisse publiziert,
die durch Aufaddierung der Ergebnisse aus den Daten des BA-Verfahrens und den über den Datenstandard XSozial-BA-SGB II
gemeldeten Daten der zugelassenen kommunalen Träger gewonnen werden. Ergänzend werden auch die Ergebnisse aus den BA-
Verfahren für Arbeitsgemeinschaften und für Arbeitsagentur in getrennter Trägerschaft veröffentlicht, um längere Zeitreihenverglei-
che zu ermöglichen. Eine alleinige Auswertung der Ergebnisse aus XSozial-BA-SGB II ist aufgrund der kleinen Fallzahlen auf regi-
onaler Ebene für den Ausbildungsstellenmarkt nicht aussagekräftig.

Es sind zwischen dem BA-Verfahren und XSozial Überschneidungen möglich, die in ganz normalen und völlig richtigen Prozessen
entstehen können, z.B. dann, wenn ein Bewerber von einer Agentur für Arbeit und zeitgleich oder zuvor oder danach von einem
zugelassenen kommunalen Träger betreut wird. Im Verhältnis zur Gesamtzahl der Bewerber ist die Zahl der Überschneidungsfälle
gering.


Die Angaben zu den Ausbildungsstellen enthalten keine Daten von zugelassenen kommunalen Trägern. Nach Einschätzung der
Statistik der BA dürften bei den zugelassenen kommunalen Träger nur wenig ungeförderte Ausbildungsstellen nach dem Berufsbil-
dungsgesetz (BBiG) gemeldet sein, die nicht gleichzeitig bei den Arbeitsgemeinschaften und Arbeitsagenturen erfasst sind. Deshalb
wird der Bewerberzahl einschließlich zugelassener kommunaler Träger die Zahl der Ausbildungsstellen ohne zugelassene kommu-
nale Träger gegenübergestellt. Die Statistik der BA beabsichtigt, über die bei den zugelassenen kommunalen Trägern gemeldeten
Ausbildungsstellen ergänzende Informationen zur Verfügung zu stellen.




5. Statistische Hinweise zur Arbeitsmarktpolitik



Entlastung durch Arbeitsmarktpolitik und Unterbeschäftigung

Die aktive Arbeitsförderung soll dazu beitragen, die Entstehung von Arbeitslosigkeit zu vermeiden, die Dauer der Arbeitslosig-
keit zu verkürzen oder die Beschäftigungsfähigkeit zu erhöhen. Die Entlastungswirkung ist ein zeitlich befristeter Effekt von
arbeitsmarktpolitischen Instrumenten, der für die Unterbeschäftigungsrechnung relevant ist. Maßgeblich ist die gesamtwirt-
schaftlich entlastende Wirkung während der Förderung; die Quantifizierung der Entlastung erfolgt durch die Teilnehmerzahl
(ggf. im Vollzeitäquivalent). Die Frage, ob die Instrumente auch nachhaltig die Arbeitslosigkeit individuell beenden und gesamt-
wirtschaftlich reduzieren, wird im Rahmen wissenschaftlicher Evaluationsforschung untersucht.

Die Entlastungswirkung ist aus analytischen Gründen von Bedeutung, nämlich besonders dann, wenn ihre Veränderung einen
Beitrag zur Erklärung von (gegenläufigen) Veränderungen der Arbeitslosigkeit leistet. Darüber hinaus führt die Berücksichtigung
des Entlastungsvolumens zu einer besseren Erfassung des Umfangs der Unterbeschäftigung. Berechnungen der Entlastung
werden von Forschungsinstituten und vom Sachverständigenrat durchgeführt. Die Zuordnung einzelner arbeitsmarktpolitischer
Maßahmen ist z. T. unterschiedlich.

Folgende arbeitsmarktpolitische Instrumente werden aktuell in die Entlastungsrechnung der BA einbezogen:
-      Vollzeitäquivalent der Kurzarbeit: Zahl der Kurzarbeiter mal durchschnittlichem Arbeitszeitausfall,
-      Maßnahmen des zweiten Arbeitsmarktes: Arbeitsgelegenheiten, ABM, Beschäftigungszuschuss
-      berufliche Weiterbildung (einschl. Reha), Eignungsfeststellungs- und Trainingsmaßnahmen (einschl. Reha; Restabwick-
       lung), Maßnahmen zur Aktivierung und beruflichen Eingliederung
-      Vorruhestandsähnliche Regelungen: Inanspruchnahme des § 428 SGB III im Rechtskreis SGB III (Restabwicklung),
       Personen in geförderter Altersteilzeit, Regelung des § 53 a Abs. 2 SGB II
-      Förderung der Selbständigkeit: Gründungszuschuss, Einstiegsgeld Variante Selbständigkeit und Existenzgründungszu-
       schuss (Ich-AG; Restabwicklung).

Außerdem werden Personen, die arbeitsunfähig sind und Arbeitslosengeld auf Basis des § 126 SGB III beziehen, zur Unterbe-
schäftigung gezählt.

Folgende Instrumente werden in der Entlastungsrechnung nicht berücksichtigt, was nichts gegen ihre Wirksamkeit hinsichtlich
der Eingliederung von Arbeitslosen in reguläre Beschäftigung sagt:



                                                                                                                             42
Monatsbericht Februar 2011
                                                                                               Bundesagentur für Arbeit



-      Maßnahmen der beruflichen Erstqualifizierung spielen sich größtenteils im Vorfeld des Arbeitsmarktes ab; sie betreffen
       überwiegend Personen, die vorher nicht arbeitslos gemeldet waren. Dies gilt insbesondere für berufsvorbereitende Bil-
       dungsmaßnahmen, die Berufsausbildung Benachteiligter, die berufliche Ersteingliederung Behinderter, BAB wegen ei-
       ner beruflichen Ausbildung sowie für große Teile des Sofortprogramms zum Abbau der Jugendarbeitslosigkeit. Ob sich
       diese Jugendlichen ohne eine derartige Maßnahme (kurzfristig) arbeitslos gemeldet hätten, muss offen bleiben.
-      Daneben gibt es finanzielle Hilfen zur direkten Eingliederung Arbeitsloser in reguläre abhängige Beschäftigung. Insbe-
       sondere bei Eingliederungszuschüssen und Beschäftigungshilfen für Langzeitarbeitslose (2003 ausgelaufen) werden
       großenteils Schwervermittelbare gefördert, die andernfalls kaum eine Chance hätten. Die finanzielle Förderung ist also
       häufig Ausgleich für eine (vermutete) Minderleistung. Deshalb dürfte auf diese Weise keine zusätzliche Beschäftigung
       entstehen, d. h. ohne diese Hilfen wären vermutlich Arbeitnehmer ohne Vermittlungshemmnis eingestellt worden (Sub-
       stitutionseffekt). Vielleicht wäre es in dem einen oder anderen Fall aber auch ohne diese Zuschüsse zur Einstellung för-
       derungsfähiger Arbeitsloser gekommen (Mitnahmeeffekt) oder (leistungsschwache) Beschäftigte wären freigesetzt wor-
       den (Drehtüreffekt).
-      Schließlich bestehen zahlreiche Maßnahmen zur Förderung regulärer Beschäftigung ausschließlich oder großenteils in
       einmaligen Hilfen, so dass sich Bestands- und damit Entlastungsgrößen nicht angeben lassen. Dies gilt, abgesehen von
       den (normalen) Arbeitsvermittlungen, insbesondere für Leistungen aus dem Vermittlungsbudget im § 45 SGB III.

In die „Entlastung durch arbeitsmarktpolitische Maßnahmen“ der Bundesagentur nicht einbezogen sind schließlich Bezieher von
vorgezogenem Altersruhegeld (vgl. § 237 SGB VI) oder Erwerbsunfähigkeitsrenten (vgl. § 43 SGB VI), auch wenn diese Früh-
verrentungen arbeitsmarktbedingt sind; hierzu liegen keine monatsaktuellen Daten vor.




Statistische Erfassung arbeitsmarktpolitischer Maßnahmen

Die statistische Erfassung der Inanspruchnahme arbeitsmarktpolitischer Leistungen wird erst nach drei Monaten endgültig
abgeschlossen. Damit wird die Qualität der Daten deutlich verbessert, weil Nacherfassungen und Datenkorrekturen bis zu drei
Monaten nach dem Berichtsmonat noch berücksichtigt werden können. Um trotzdem monatlich aktuell berichten zu können,
werden die Ergebnisse des Berichtsmonats hochgerechnet, und zwar nach dem Verhältnis von vorläufigen zu endgültigen
Werten in den zurückliegenden Monaten. Die aktuellen Ergebnisse sind deshalb für drei Monate als vorläufig anzusehen.



Methodische und fachliche Hinweise zum statistischen Verfahren der umfassenden Verbleibsermittlung
von Teilnehmern an Maßnahmen der aktiven Arbeitsförderung


Die hier dargestellten Eingliederungsquoten zeigen auf, inwieweit die Teilnehmer einer Fördermaßnahme in einem bestimmten
Zeitintervall (6 Monate) nach Austritt aus der Maßnahme eine sozialversicherungspflichtige Beschäftigung aufgenommen ha-
ben. Die Eingliederungsquoten stellen Ergebnisse dar, die u.a. Aufschluss über die Beschäftigungschancen nach Abschluss
einer Maßnahme aufzeigen, die aber nicht unmittelbar im Sinne einer Ursache-Wirkungs-Analyse zu interpretieren sind.

Die Eingliederungsquote (EQ) (definiert als sozialversicherungspflichtig Beschäftigte / Austritte insgesamt minus "nicht
recherchierbar da ohne Versicherungsnummer" * 100) gibt an, wie viele Maßnahmeteilnehmer sich stichtagsbezogen 6 Monate
nach Austritt aus der Maßnahme in einer sozialversicherungspflichtigen Beschäftigung befinden. Personen, die zum Stichtag
nicht mehr oder noch nicht sozialversicherungspflichtig beschäftigt sind, werden nicht berücksichtigt. Zu den berücksichtigten
sozialversicherungspflichtigen Beschäftigungsverhältnissen gehören auch geförderte Beschäftigungsverhältnisse, wie z.B.
Arbeitsbeschaffungsmaßnahmen (ABM) sowie Arbeitsgelegenheiten (AGH) der Entgeltvariante.

Die hier dargestellten Ergebnisse werden ausgehend vom aktuellsten Austritt nach Ablauf des 6-monatigen Untersuchungsin-
tervalls und einer 1-monatigen Wartezeit ermittelt. Die Eingliederungsquoten werden in Form einer gleitenden 12-
Monatsbetrachtung, die die Austrittsdaten mit den Verbleibsinformationen der vergangenen 12 Monate enthält, gebildet. Diese
Form der Ermittlung ermöglicht eine saisonunabhängige Betrachtung der EQ. Bei den Ergebnissen handelt es sich um vorläufi-
ge Ergebnisse zum jeweiligen Datenstand, da insbesondere die für die Beschäftigungsrecherche erforderlichen Jahresmeldun-
gen zur Sozialversicherung noch nicht vollständig für alle betrachteten Monate vorliegen. Die im Rahmen der umfassenden
Verbleibsanalyse entwickelte kombinierte Auswertung von Förderstatistik und Beschäftigungsstatistik läuft monatlich automati-
siert im geregelten statistischen Datenaufbereitungsverfahren. Dabei werden alle Maßnahmeaustritte der vergangenen 24
Monate mit aktuellem Datenstand hinsichtlich ihres Status bezüglich sozialversicherungspflichtiger Beschäftigung untersucht.



                                                                                                                            43
Monatsbericht Februar 2011
                                                                                                Bundesagentur für Arbeit




Die Förderstatistiken, die die Grundlage zur Berechnung der EQ bilden, enthalten nur Daten aus BA-IT-Systemen, ohne Infor-
mationen der nach § 6a SGB II zugelassenen kommunalen Träger.

Sowohl die Leistungen der aktiven Arbeitsförderung nach dem SGB III als auch die Leistungen zur Eingliederung in Arbeit nach
dem SGB II werden erbracht, um die Integration in den Arbeitsmarkt zu unterstützen und Arbeitslosigkeit zu beenden bzw. zu
verkürzen. Die Eingliederungsquote gibt Hinweise auf den Erfolg der arbeitsmarktpolitischen Instrumente.

Die Eingliederung in den Arbeitsmarkt bzw. der Abgang aus Arbeitslosigkeit können in der Regel nicht ursächlich einem einzel-
nen Instrument der aktiven Arbeitsförderung zugerechnet werden. Für die Integration in den Arbeitsmarkt ist vielmehr ein Bün-
del von Faktoren wichtig: die Ausgangsqualifikation des Teilnehmers, die Stabilität seiner Gesundheit und Lebenssituation, die
Dauer der Arbeitslosigkeit und Hilfebedürftigkeit, die Motivation des Teilnehmers, aber auch die Kombination von (mitunter
mehreren) Fördermaßnahmen und Vermittlungsdienstleistungen. Die Eingliederungsquoten einzelner Fördermaßnahme sollten
deshalb nicht monokausal interpretiert werden.

Die Arbeitsmarktsituation als Rahmenbedingung:
Die Chancen zur Eingliederung von Maßnahmeteilnehmern nach Austritt aus einer Fördermaßnahme hängen wesentlich von
den allgemeinen Arbeitsmarktbedingungen, d.h. dem Angebot an offenen Stellen ab. Je besser die Arbeitsmarktsituation, desto
größer sind die Chancen zur Eingliederung von Maßnahmeteilnehmern in sozialversicherungspflichtige Beschäftigung. Die
Eingliederungsquoten weisen auch eine Saisonkomponente auf, die aber mit der Methode des gleitenden Durchschnitts nivel-
liert wird.

Hinweise zum Vergleich der Rechtskreise:
Beim Vergleich der Rechtskreise ist zu beachten, dass die Teilnehmer an Fördermaßnahmen im Rechtskreis SGB II im Durch-
schnitt größere Eingliederungsprobleme haben als die Teilnehmer aus dem Rechtskreis SGB III. Im SGB II sind oft mehrere
aufeinander aufbauende Hilfen erforderlich, um den Betroffenen (wieder) näher an den 1. Arbeitsmarkt heranzuführen. Es ist
deshalb zu erwarten, dass die EQs im SGB II niedriger ausfallen als im SGB III. Einzelne Teilerfolge in Form von Integrations-
fortschritten können mit den hier dargestellten Eingliederungsquoten nicht erfasst werden.

Hinweise zum Vergleich der Instrumente:
Bei der Bewertung der Eingliederungsquoten für einzelne Instrumente der aktiven Arbeitsförderung ist zu beachten, dass sich
diese im Hinblick auf ihre Zielsetzung und die inhaltliche Ausgestaltung deutlich voneinander unterscheiden.

Maßnahmen zur Verbesserung der Chancen auf dem 1. Arbeitsmarkt sind inhaltlich heterogen. FbW führen den Teilnehmer an
den Arbeitsmarkt heran, eröffnen ihm Perspektiven auf neue Einsatzbereiche. Es ist also damit zu rechnen, dass im Anschluss
an diese Maßnahmen zunächst Sucharbeitslosigkeit eintritt. Dies ist bei der Beauftragung Dritter mit der Vermittlung, die unmit-
telbar auf die Eingliederung in den Arbeitsmarkt zielt, nicht der Fall.

Beschäftigung schaffende Maßnahmen, von denen im Rechtskreis SGB II ein großer Anteil auf Arbeitsgelegenheiten (AGH)
entfällt, sind ein erster Schritt, um die Maßnahmeteilnehmer an den Arbeitsmarkt heranzuführen. AGH werden oft bei Hilfebe-
dürftigen mit multiplen Problemlagen eingesetzt, sie dienen vorrangig der Herstellung bzw. Erhaltung der Beschäftigungsfähig-
keit und der sozialen Stabilisierung. Eine schnelle Eingliederung in den ersten Arbeitsmarkt ist bei den Teilnehmern von AGH in
der Regel nicht wahrscheinlich.

Teilnehmer in Beschäftigungsbegleitenden Maßnahmen befinden sich bereits in einem Beschäftigungsverhältnis bzw. in selb-
ständiger Erwerbstätigkeit, sie sind somit bereits in den Arbeitsmarkt integriert. Die Nachbeschäftigungsfrist nach Eingliede-
rungszuschüssen beträgt max. 12 Monate, der Stichtag zur Ermittlung von Eingliederungsquote fällt somit in die Nachbeschäfti-
gungszeit. Mit Einstiegsgeld bei selbständiger Erwerbstätigkeit im SGB II bzw. dem Gründungszuschuss im SGB III wird die
Aufnahme einer selbständigen Erwerbstätigkeit gefördert. Der erfolgreiche Fortbestand der selbständigen Erwerbstätigkeit kann
mit der Eingliederungsquote nicht gemessen werden.

Aus diesen unterschiedlichen "Startpositionen" der Teilnehmer heraus ergeben sich zwangsläufig unter-schiedliche Ergebnisse
im Hinblick auf eine Beschäftigung im Anschluss an die Förderung. Unterschiede in den Eingliederungsquoten verschiedener
Instrumente sind nicht mit unterschiedlichem Erfolg der Instrumente gleichzusetzen.




                                                                                                                             44
Monatsbericht Februar 2011
                                                                                            Bundesagentur für Arbeit



                                   VI. Arbeitsmarkt Gesamtübersicht


Wichtige Größen des Arbeitsmarktes im Überblick
Angaben in Millionen
Deutschland
2001 bis 2011



                                                                 58

56                               Bevölkerung 15 bis              57
                                                                                          Bevölkerung 15 bis
                                 unter 65 Jahre
                                                                                          unter 65 Jahre
                                                                 56

                                                                 55
52
                                                                 54

                                                                 53
                                                                  2001   2003   2005    2007     2009      2011
48




44                                                               42
                                      Erwerbstätige                                            Erwerbstätige
                                                                 41

                                                                 40
40
                                                                 39

                                                                 38
36
                                                                 37
                                                                  2001   2003   2005    2007     2009      2011


32
                                                                 30

                       Sozialversicherungspf lichtig                              Sozialversicherungspf lichtig
                                                                 29
                       Beschäf tigte                                              Beschäf tigte
28
                                                                 28

                                                                 27
24
                                                                 26

                                                                 25
                                                                  2001   2003   2005    2007     2009      2011
20




16




                Einf ührung des SGB II
12

                                                                                        Leistungsempf änger
                                                                  7
 8
                               Leistungsempf änger                6

                                                                                                Unterbeschäf tigung
                                                                  5
                                           Unterbeschäf tigung
 4                                                                4


                                         Arbeitslose              3
                                                                                                 Arbeitslose
 0                                                                2
  2001     2003      2005      2007      2009    2011             2001   2003   2005    2007     2009      2011


Quelle: Statistik der Bundesagentur für Arbeit




                                                                                                                      45
Tabellenanhang
                                                                              zum Monatsbericht Februar 2011

                                             VII. Tabellenanhang
Tabelle
          Eckwerte des Arbeitsmarktes
1.1       Deutschland
1.2       Westdeutschland
1.3       Ostdeutschland
          Erwerbstätigkeit
2.1       Ursprungswerte - Deutschland
2.2       Saisonbereinigte Werte - Deutschland
          Sozialversicherungspflichtig Beschäftigte
3.1       Deutschland nach Ländern
3.2       Wirtschaftsabschnitte - Deutschland
          Kurzarbeit
4.1       Bestand an Kurzarbeitern - Deutschland, West-, Ostdeutschland
4.2       Anzeigen über Kurzarbeit und Anzahl betroffener Personen - Deutschland
          Arbeitslosigkeit und Unterbeschäftigung
5.1       Bestand an Arbeitslosen und Arbeitslosenquoten - Deutschland
5.2       Bestand an Arbeitslosen und Arbeitslosenquoten - Westdeutschland
5.3       Bestand an Arbeitslosen und Arbeitslosenquoten - Ostdeutschland
5.4       Arbeitslose nach Rechtkreisen - Eckwerte - Deutschland
5.5       Arbeitslose nach Rechtkreisen - Eckwerte - Westdeutschland
5.6       Arbeitslose nach Rechtkreisen - Eckwerte - Ostdeutschland
5.7       Zugang in Arbeitslosigkeit - Deutschland, West-, Ostdeutschland
5.8       Zugang in Arbeitslosigkeit aus Erwerbstätigkeit
          am 1. Arbeitsmarkt nach Wirtschaftszweigen - Deutschland, West-, Ostdeutschland
5.9       Abgang aus Arbeitslosigkeit - Deutschland, West-, Ostdeutschland
5.10      Unterbeschäftigung - Deutschland
5.11      Unterbeschäftigung - Westdeutschland
5.12      Unterbeschäftigung - Ostdeutschland
5.13      Unterbeschäftigung - Zeitreihe - Deutschland
5.14      Unterbeschäftigung - Zeitreihe - Westdeutschland
5.15      Unterbeschäftigung - Zeitreihe - Ostdeutschland
          Leistungsempfänger
6.1       Bestand an Leistungsempfängern von Arbeitslosengeld - Deutschland, West-, Ostdeutschland
6.2       Eckwerte zu Leistungsempfängern von Arbeitslosengeld - Deutschland
6.3       Bedarfsgemeinschaften und Personen in Bedarfsgemeinschaften - Deutschland
6.4       Grundsicherung für Arbeitsuchende nach dem SGB II - Deutschland
6.5       Grundsicherung für Arbeitsuchende nach dem SGB II - Westdeutschland
6.6       Grundsicherung für Arbeitsuchende nach dem SGB II - Ostdeutschland
          Stellenangebot
7.1       Bestand gemeldete Arbeitsstellen - Deutschland
7.2       Bestand gemeldete Arbeitsstellen - Westdeutschland
7.3       Bestand gemeldete Arbeitsstellen - Ostdeutschland
7.4       Der Bundesagentur (BA) bekanntes Stellenangebot - Deutschland
          Arbeitsmarktpolitik
8.1       Ausgewählte arbeitsmarktpolitische Instrumente für Personen im Rechtskreis SGB III und II - Deutschland
8.2       Ausgewählte arbeitsmarktpolitische Instrumente für Personen im Rechtskreis SGB III       - Deutschland
8.3       Ausgewählte arbeitsmarktpolitische Instrumente für Personen im Rechtskreis SGB II        - Deutschland




                                                                                                           46
Tabellenanhang
                                                                                                                                                zum Monatsbericht Februar 2011

1.1 ECKWERTE DES ARBEITSMARKTES
Deutschland
Februar 2011

Die Statistik der BA bildet Arbeitslosigkeit vollständig ab. Die Arbeitslosenstatistik basiert auf Informationen aus den IT-Verfahren der BA, aus als plausibel bewerteten
Datenlieferungen zugelassener kommunaler Träger und - sofern keine plausiblen Daten geliefert wurden - auf ergänzenden Schätzungen der Statistik der BA. Die
Daten zu arbeitsmarktpolitischen Maßnahmen enthalten die gemeldeten Daten zugelassener kommunaler Träger. Die Daten zu Leistungen nach dem SGB II beruhen
auf Auswertungen aus dem IT-Fachverfahren A2LL, auf Meldungen kommunaler Träger und - wenn diese nicht vorliegen - auf Schätzungen der BA,

                                                                                         2011                             2010               Veränderung gegenüber Vorjahresmonat
                                                                                                                                               (Arbeitslosenquote Vorjahreswerte)
                                     Merkmale
                                                                               Februar          Januar       Dezember        November           Februar            Januar    Dezember
                                                                                                                                          absolut          in %           in %          in %
Erwerbstätigkeit
                                                   1)                             …          40.279.000 40.918.000 41.090.000                …              …                  1,2           1,1
Erwerbstätige (Monatsdurchschnitt; Inland)
Soz.-Verspfl. Beschäftigte (Bestand, hochgerechnet)                               …              …      28.046.200 28.275.100                …              …              …                 2,0
Arbeitslosigkeit registriert nach § 16 SGB III
- Bestand                                                                     3.317.099       3.349.788       3.015.715      2.931.170    -326.282            -9,0           -7,4          -7,9
  dar.:        55,4% Männer                                                   1.838.493       1.855.463       1.619.453      1.541.374    -238.432           -11,5           -9,2          -9,8
               44,6% Frauen                                                   1.478.606       1.494.325       1.396.262      1.389.796     -87.850            -5,6           -5,0          -5,6
                9,5% 15 bis unter 25 Jahre                                      315.113         305.301         265.942        262.404     -67.855           -17,7          -15,5         -17,4
                1,5% dar.: 15 bis unter 20 Jahre                                 48.996          47.763          44.893         45.324     -10.613           -17,8          -16,7         -18,7
               30,5% 50 bis unter 65 Jahre                                    1.010.606       1.022.600         921.891        890.634      12.198             1,2            2,9           2,2
               17,6% dar.: 55 bis unter 65 Jahre                                585.357         591.026         536.443        519.405      30.670             5,5            7,4           7,3
               15,2% Ausländer                                                  503.869         509.927         474.363        468.200     -37.830            -7,0           -6,2          -6,5
               84,7% Deutsche                                                 2.809.094       2.835.616       2.537.379      2.458.872    -286.161            -9,2           -7,5          -8,2
                5,7% schwerbehinderte Menschen*)                                188.114         189.431         176.595        173.563      10.176             5,7            6,6           6,1
Arbeitslosenquoten bezogen auf
 - alle zivilen Erwerbspersonen insgesamt                                             7,9             8,0             7,2          7,0          8,7                -          8,6           7,8
              Männer                                                                  8,2             8,3             7,2          6,9          9,3                -          9,1           8,0
              Frauen                                                                  7,5             7,6             7,1          7,0          8,0                -          8,0           7,5
              15 bis unter 25 Jahre                                                   6,6             6,4             5,6          5,5          7,9                -          7,5           6,7
              15 bis unter 20 Jahre                                                   3,4             3,4             3,2          3,2          4,0                -          3,8           3,7
              50 bis unter 65 Jahre                                                   9,0             9,1             8,2          8,0          9,3                -          9,2           8,4
              55 bis unter 65 Jahre                                                   9,6             9,7             8,8          8,5          9,5                -          9,5           8,6
              Ausländer                                                              15,8            15,9            14,8         14,6         17,1                -         17,2          16,1
              Deutsche                                                                7,2             7,3             6,5          6,3          8,0                -          7,9           7,1
 - abhängige zivile Erwerbspersonen insgesamt                                         8,8             8,9             8,0          7,8          9,7                -          9,6           8,7
                          2)
Unterbeschäftigung
Arbeitslosigkeit im weiteren Sinne                                            3.588.984       3.607.384       3.289.527      3.219.457    -388.386              -9,8         -8,2           -8,7
Unterbeschäftigung im engeren Sinne                                           4.059.243       4.103.442       3.856.543      3.823.307    -513.055           -11,2           -9,2           -9,2
Unterbeschäftigung ohne Kurzarbeit                                            4.287.280       4.334.766       4.094.022      4.065.244    -529.181           -11,0           -8,9           -8,9
Unterbeschäftigungsquote (ohne Kurzarbeit)                                           10,1            10,2             9,6          9,5              x                x             x             x
                          3)
Leistungsempfänger
 - Arbeitslosengeld                                                           1.072.747       1.065.450         885.760        826.317    -293.902           -21,5          -19,8         -21,5
 - erwerbsfähige Hilfebedürftige (Alg II)                                     4.763.138       4.744.019       4.733.223      4.705.843    -241.315            -4,8           -4,0          -3,5
 - nicht erwerbsfähige Hilfebedürftige (Sozialgeld)                           1.769.467       1.768.540       1.773.225      1.771.945     -80.345            -4,3           -3,7          -3,0
Gemeldete Arbeitsstellen 4)
 - Zugang im Monat                                                              199.968         135.775         160.854        171.788      55.834            38,7           27,7          35,2
           dar.: sozialversicherungspflichtig                                   183.547         123.764         146.632        155.470      54.029            41,7           32,6          38,5
 - Zugang seit Jahresbeginn                                                     335.743         135.775       2.017.216      1.856.362      85.301            34,1           27,7          24,7
           dar.: sozialversicherungspflichtig                                   307.311         123.764       1.826.862      1.680.230      84.484            37,9           32,6          25,7
             5)                                                                 417.224         374.671         379.808        394.149     119.503            40,1           38,1          35,1
 - Bestand
         dar.: sozialversicherungspflichtig                                     384.367         343.913         348.331        360.642     117.397            44,0           42,0          38,0
                sofort zu besetzen                                              355.289         327.776         330.306        353.751     114.995            47,9           44,8          39,5
Teilnehmer an ausgewählten Maßnahmen
                                      3)
aktiver Arbeitsmarktpolitik
 - Bestand insgesamt                                                         1.318.426       1.337.047       1.474.535       1.546.500   -298.531            -18,5         -16,6         -14,5
   dar.:   Qualifizierung                                                      207.739         212.107         224.598         226.911    -12.692             -5,8          -4,2          -8,8
           Berufsberatung u. Förderung d. Berufsausbildung                     356.729         355.016         384.417         382.225    -41.204            -10,4          -9,7          -5,1
           Beschäftigungsbegleitende Leistungen                                313.175         320.154         335.940         351.428    -47.761            -13,2         -11,7          -9,5
           Beschäftigung schaffende Maßnahmen                                  209.597         230.034         287.879         324.648    -86.228            -29,1         -23,3         -13,1

Saisonbereinigte Entwicklung                                                   Feb 11           Jan 11         Dez 10     Nov 10      Okt 10     Sep 10                  Aug 10        Jul 10
                                                                                                                   Veränderung gegenüber Vormonat
                          1)                                                           …          23.000        35.000      31.000     31.000     36.000                  38.000        34.000
Erwerbstätige (Inland)
Sozialversicherungspflichtig Beschäftigte                                              …               …         52.000      67.000     24.000     29.000                  51.000        40.000
Arbeitslose                                                                       -52.000         -18.000        -5.000     -11.000      -4.000   -38.000                 -17.000       -19.000
Unterbeschäftigung (ohne Kurzarbeit)                                              -82.000         -33.000       -28.000     -20.000    -21.000    -50.000                 -30.000       -38.000
                                4)                                                 15.000          13.000        11.000      11.000     11.000      5.000                   6.000        12.000
gemeldete Arbeitsstellen
 - sozialversicherungspflichtige Stellen                                           12.000          14.000        11.000      10.000     11.000      7.000                   6.000        12.000
Arbeitslosenquote bezogen auf alle zivilen EP                                         7,3             7,4           7,5         7,5         7,5       7,5                     7,6           7,6
                               1)                                                      …              6,5           6,6         6,6         6,6       6,6                     6,7           6,7
ILO Erwerbslosenquote
Datenstand: Februar 2011                                                                                                                                 © Statistik der Bundesagentur für Arbeit
Quelle: Statistik der Bundesagentur für Arbeit , saisonbereinigte Werte: Institut für Arbeitsmarkt- und Berufsforschung
1) Quelle: Statistisches Bundesamt
2) Detaillierte Daten zur Unterbeschäftigung siehe Tabellen 5.10; weitergehende Informationen im Methodenbericht „Umfassende Arbeitsmarktstatistik“ im Internet unter
http://statistik.arbeitsagentur.de/Navigation/Statistik/Grundlagen/Methodenberichte/Methodenberichte-Nav.html
3) Endgültige Werte stehen erst nach einer Wartezeit fest. Am aktuellen Rand können die Daten aufgrund von Erfahrungswerten überwiegend hochgerechnet werden.
4) Weitergehende Informationen im Methodenbericht „Umstellung der Statistik der gemeldeten Arbeitsstellen“ im Internet unter
http://statistik.arbeitsagentur.de/Navigation/Statistik/Grundlagen/Methodenberichte/Methodenberichte-Nav.html
5) Den Arbeitsagenturen waren im 4. Quartal 2010 laut Umfrage bei Betrieben 39% des gesamten Stellenangebotes am 1. Arbeitsmarkt gemeldet.
*)Ab Januar 2010 werden die bei den Agenturen für Arbeit und ARGEn erfassten Personen, denen eine Gleichstellung zugesichert wurde, nicht mehr zu den Schwerbehinderten                         47
gezählt. Vorjahresvergleiche sind somit nur eingeschränkt möglich.
Tabellenanhang
                                                                                                                                                  zum Monatsbericht Februar 2011

1.2 ECKWERTE DES ARBEITSMARKTES
Westdeutschland
Februar 2011

Die Statistik der BA bildet Arbeitslosigkeit vollständig ab. Die Arbeitslosenstatistik basiert auf Informationen aus den IT-Verfahren der BA, aus als plausibel bewerteten
Datenlieferungen zugelassener kommunaler Träger und - sofern keine plausiblen Daten geliefert wurden - auf ergänzenden Schätzungen der Statistik der BA. Die
Daten zu arbeitsmarktpolitischen Maßnahmen enthalten die gemeldeten Daten zugelassener kommunaler Träger. Die Daten zu Leistungen nach dem SGB II beruhen
auf Auswertungen aus dem IT-Fachverfahren A2LL, auf Meldungen kommunaler Träger und - wenn diese nicht vorliegen - auf Schätzungen der BA,

                                                                                         2011                             2010               Veränderung gegenüber Vorjahresmonat
                                                                                                                                               (Arbeitslosenquote Vorjahreswerte)
                               Merkmale
                                                                               Februar          Januar        Dezember       November            Februar           Januar    Dezember
                                                                                                                                           absolut         in %           in %            in %
Erwerbstätigkeit
Erwerbstätige (Monatsdurchschnitt; Inland)1)                                      .               .               .          .                .              .              .               .
Soz.-Verspfl. Beschäftigte (Bestand, hochgerechnet)                               …               …          22.727.300 22.886.200            …              …              …                    2,1
Arbeitslosigkeit registriert nach § 16 SGB III
- Bestand                                                                     2.241.537       2.274.261       2.067.916      2.029.525     -240.236            -9,7           -7,9           -8,0
  dar.:        54,9% Männer                                                   1.231.494       1.248.870       1.102.961      1.062.888     -177.452           -12,6          -10,2          -10,4
               45,1% Frauen                                                   1.010.043       1.025.391         964.955        966.637      -62.784            -5,9           -4,9           -5,1
                9,6% 15 bis unter 25 Jahre                                      215.209         208.020         180.834        178.595      -48.869           -18,5          -16,0          -17,7
                1,6% dar.: 15 bis unter 20 Jahre                                 36.704          35.845          33.546         33.778       -7.366           -16,7          -15,3          -17,1
               29,4% 50 bis unter 65 Jahre                                      660.124         672.048         612.960        600.330       10.796             1,7            3,9            3,9
               17,2% dar.: 55 bis unter 65 Jahre                                384.450         390.269         357.987        351.175       24.057             6,7            9,2            9,8
               19,1% Ausländer                                                  428.981         434.730         404.573        400.362      -36.639            -7,9           -6,9           -7,2
               80,7% Deutsche                                                 1.809.278       1.836.152       1.660.142      1.625.850     -202.531           -10,1           -8,1           -8,2
                6,2% schwerbehinderte Menschen*)                                138.436         140.134         130.902        129.195        8.611             6,6            8,1            7,8
Arbeitslosenquoten bezogen auf
 - alle zivilen Erwerbspersonen insgesamt                                             6,7             6,8             6,1          6,0           7,4               -           7,4               6,7
              Männer                                                                  6,9             7,0             6,2          5,9           7,9               -           7,8               6,9
              Frauen                                                                  6,4             6,5             6,1          6,1           6,8               -           6,9               6,5
              15 bis unter 25 Jahre                                                   5,6             5,4             4,7          4,7           6,8               -           6,4               5,7
              15 bis unter 20 Jahre                                                   3,1             3,0             2,8          2,8           3,5               -           3,4               3,2
              50 bis unter 65 Jahre                                                   7,5             7,7             7,0          6,8           7,7               -           7,7               7,0
              55 bis unter 65 Jahre                                                   8,0             8,1             7,5          7,3           7,9               -           7,8               7,1
              Ausländer                                                              14,8            15,0            14,0         13,8          16,2               -          16,3              15,2
              Deutsche                                                                5,9             6,0             5,4          5,3           6,6               -           6,5               5,9
 - abhängige zivile Erwerbspersonen insgesamt                                         7,5             7,6             6,9          6,7           8,3               -           8,3               7,5
Unterbeschäftigung 2)
Arbeitslosigkeit im weiteren Sinne                                            2.438.149       2.459.582       2.266.242      2.239.630     -296.333           -10,8           -9,0              -9,2
Unterbeschäftigung im engeren Sinne                                           2.740.960       2.771.414       2.615.040      2.595.163     -356.687           -11,5           -9,3              -9,2
Unterbeschäftigung ohne Kurzarbeit                                            2.920.646       2.953.707       2.802.344      2.785.936     -368.625           -11,2           -9,0              -8,7
Unterbeschäftigungsquote (ohne Kurzarbeit)                                            8,6             8,7             8,2          8,2               x               x              x               x
Leistungsempfänger3)
 - Arbeitslosengeld                                                             768.276         765.435         654.021        616.819     -230.428           -23,1          -21,6          -22,8
 - erwerbsfähige Hilfebedürftige (Alg II)                                     3.185.023       3.175.531       3.167.366      3.147.362     -145.113            -4,4           -3,4           -2,8
 - nicht erwerbsfähige Hilfebedürftige (Sozialgeld)                           1.273.203       1.273.000       1.275.071      1.274.441      -58.335            -4,4           -3,7           -3,0
Gemeldete Arbeitsstellen 4)
 - Zugang im Monat                                                              162.649         109.594         132.831        138.438       45.973            39,4           28,9              38,2
           dar.: sozialversicherungspflichtig                                   149.057          99.825         121.251        125.099       44.677            42,8           33,9              41,8
 - Zugang seit Jahresbeginn                                                     272.243         109.594       1.631.396      1.498.565       70.512            35,0           28,9              25,7
           dar.: sozialversicherungspflichtig                                   248.882          99.825       1.475.779      1.354.528       69.941            39,1           33,9              26,8
 - Bestand 5)                                                                   347.969         314.393         320.020        330.927      102.125            41,5           40,0              36,9
           dar.: sozialversicherungspflichtig                                   320.104         288.383         293.394        302.648      100.806            46,0           44,1              39,8
                 sofort zu besetzen                                             304.971         281.231         283.635        302.276       99.876            48,7           46,4              40,8
Teilnehmer an ausgewählten Maßnahmen
aktiver Arbeitsmarktpolitik3)
 - Bestand insgesamt                                                            924.194         927.129      1.015.765       1.046.738    -186.249           -16,8          -15,2           -13,4
   dar.:   Qualifizierung                                                       145.247         147.609        156.994         158.315      -3.475            -2,3           -1,2            -6,3
           Berufsberatung u. Förderung d. Berufsausbildung                      270.313         269.507        292.696         290.151     -25.570            -8,6           -8,0            -3,9
           Beschäftigungsbegleitende Leistungen                                 215.044         219.502        229.812         239.125     -25.503           -10,6           -8,5            -5,7
           Beschäftigung schaffende Maßnahmen                                   119.601         125.638        152.878         159.996     -41.274           -25,7          -21,1           -10,3

Saisonbereinigte Entwicklung                                                   Feb 11           Jan 11         Dez 10     Nov 10      Okt 10     Sep 10                  Aug 10           Jul 10
                                                                                                                   Veränderung gegenüber Vormonat
Erwerbstätige (Inland)1)                                                                .               .              .           .          .          .                       .               .
Sozialversicherungspflichtig Beschäftigte                                              …               …         46.000      58.000     25.000     34.000                  41.000          31.000
Arbeitslose                                                                       -39.000         -17.000       -10.000      -8.000      -5.000   -31.000                  -6.000         -14.000
Unterbeschäftigung (ohne Kurzarbeit)                                              -58.000         -27.000       -22.000     -14.000    -14.000    -38.000                 -16.000         -28.000
gemeldete Arbeitsstellen4)                                                         12.000          10.000        10.000       9.000     10.000      4.000                   6.000          10.000
 - sozialversicherungspflichtige Stellen                                           10.000          12.000        10.000       8.000       9.000     6.000                   6.000          10.000
Arbeitslosenquote bezogen auf alle zivilen EP                                         6,2             6,3           6,4         6,4         6,4       6,5                     6,5             6,6
Datenstand: Februar 2011                                                                                                                                  © Statistik der Bundesagentur für Arbeit
Quelle: Statistik der Bundesagentur für Arbeit , saisonbereinigte Werte: Institut für Arbeitsmarkt- und Berufsforschung
1) Quelle: Statistisches Bundesamt
2) Detaillierte Daten zur Unterbeschäftigung siehe Tabellen 5.11; weitergehende Informationen im Methodenbericht „Umfassende Arbeitsmarktstatistik“ im Internet unter
http://statistik.arbeitsagentur.de/Navigation/Statistik/Grundlagen/Methodenberichte/Methodenberichte-Nav.html
3) Endgültige Werte stehen erst nach einer Wartezeit fest. Am aktuellen Rand können die Daten aufgrund von Erfahrungswerten überwiegend hochgerechnet werden.
4) Weitergehende Informationen im Methodenbericht „Umstellung der Statistik der gemeldeten Arbeitsstellen“ im Internet unter
http://statistik.arbeitsagentur.de/Navigation/Statistik/Grundlagen/Methodenberichte/Methodenberichte-Nav.html
5) Den Arbeitsagenturen waren im 4. Quartal 2010 laut Umfrage bei Betrieben 39% des gesamten Stellenangebotes am 1. Arbeitsmarkt gemeldet.
*)Ab Januar 2010 werden die bei den Agenturen für Arbeit und ARGEn erfassten Personen, denen eine Gleichstellung zugesichert wurde, nicht mehr zu den Schwerbehinderten
                                                                                                                                                                                     48
gezählt. Vorjahresvergleiche sind somit nur eingeschränkt möglich.
Tabellenanhang
                                                                                                                                                 zum Monatsbericht Februar 2011

1.3 ECKWERTE DES ARBEITSMARKTES
Ostdeutschland
Februar 2011

Die Statistik der BA bildet Arbeitslosigkeit vollständig ab. Die Arbeitslosenstatistik basiert auf Informationen aus den IT-Verfahren der BA, aus als plausibel bewerteten
Datenlieferungen zugelassener kommunaler Träger und - sofern keine plausiblen Daten geliefert wurden - auf ergänzenden Schätzungen der Statistik der BA. Die
Daten zu arbeitsmarktpolitischen Maßnahmen enthalten die gemeldeten Daten zugelassener kommunaler Träger. Die Daten zu Leistungen nach dem SGB II beruhen
auf Auswertungen aus dem IT-Fachverfahren A2LL, auf Meldungen kommunaler Träger und - wenn diese nicht vorliegen - auf Schätzungen der BA,

                                                                                         2011                             2010               Veränderung gegenüber Vorjahresmonat
                                                                                                                                               (Arbeitslosenquote Vorjahreswerte)
                               Merkmale
                                                                               Februar          Januar       Dezember       November             Februar           Januar    Dezember
                                                                                                                                           absolut         in %           in %            in %
Erwerbstätigkeit
Erwerbstätige (Monatsdurchschnitt; Inland)1)                                      .               .              .               .           .               .              .               .
Soz.-Verspfl. Beschäftigte (Bestand, hochgerechnet)                               …               …          5.319.300       5.388.900       …               …              …                    1,6
Arbeitslosigkeit registriert nach § 16 SGB III
- Bestand                                                                     1.075.562       1.075.527        947.799           901.645    -86.046            -7,4           -6,3           -7,7
  dar.:        56,4% Männer                                                     606.999         606.593        516.492           478.486    -60.980            -9,1           -7,1           -8,5
               43,6% Frauen                                                     468.563         468.934        431.307           423.159    -25.066            -5,1           -5,3           -6,8
                9,3% 15 bis unter 25 Jahre                                       99.904          97.281         85.108            83.809    -18.986           -16,0          -14,5          -16,6
                1,1% dar.: 15 bis unter 20 Jahre                                 12.292          11.918         11.347            11.546     -3.247           -20,9          -20,5          -23,1
               32,6% 50 bis unter 65 Jahre                                      350.482         350.552        308.931           290.304      1.402             0,4            1,1           -0,9
               18,7% dar.: 55 bis unter 65 Jahre                                200.907         200.757        178.456           168.230      6.613             3,4            4,2            2,6
                7,0% Ausländer                                                   74.888          75.197         69.790            67.838     -1.191            -1,6           -1,7           -2,3
               93,0% Deutsche                                                   999.816         999.464        877.237           833.022    -83.630            -7,7           -6,5           -8,1
                4,6% schwerbehinderte Menschen*)                                 49.678          49.297         45.693            44.368      1.565             3,3            2,5            1,5
Arbeitslosenquoten bezogen auf
 - alle zivilen Erwerbspersonen insgesamt                                            12,7            12,7           11,2            10,7       13,7                 -         13,5              12,1
              Männer                                                                 13,7            13,7           11,7            10,8       15,0                 -         14,7              12,7
              Frauen                                                                 11,7            11,7           10,8            10,6       12,3                 -         12,3              11,5
              15 bis unter 25 Jahre                                                  11,0            10,7            9,4             9,2       12,5                 -         12,0              10,8
              15 bis unter 20 Jahre                                                   5,6             5,4            5,2             5,3        6,2                 -          6,0               5,9
              50 bis unter 65 Jahre                                                  14,6            14,6           12,9            12,1       15,1                 -         15,0              13,4
              55 bis unter 65 Jahre                                                  15,4            15,3           13,6            12,9       15,8                 -         15,7              14,2
              Ausländer                                                              24,8            24,9           23,1            22,5       26,3                 -         26,5              24,7
              Deutsche                                                               12,3            12,3           10,8            10,2       13,2                 -         13,1              11,7
 - abhängige zivile Erwerbspersonen insgesamt                                        14,2            14,2           12,5            11,9       15,3                 -         15,1              13,5
Unterbeschäftigung 2)
Arbeitslosigkeit im weiteren Sinne                                            1.150.824       1.147.791      1.023.276           979.821    -92.064              -7,4         -6,3              -7,6
Unterbeschäftigung im engeren Sinne                                           1.318.268       1.332.012      1.241.489       1.228.132     -156.378           -10,6           -8,8              -9,4
Unterbeschäftigung ohne Kurzarbeit                                            1.366.599       1.381.025      1.291.640       1.279.267     -160.586           -10,5           -8,7              -9,2
Unterbeschäftigungsquote (ohne Kurzarbeit)                                           16,0            16,1           15,1            14,9              x              x              x               x
Leistungsempfänger3)
 - Arbeitslosengeld                                                             303.427         299.130        230.718         208.468      -64.185           -17,5          -15,1          -17,9
 - erwerbsfähige Hilfebedürftige (Alg II)                                     1.578.115       1.568.487      1.565.857       1.558.481      -96.202            -5,7           -5,2           -5,1
 - nicht erwerbsfähige Hilfebedürftige (Sozialgeld)                             496.264         495.540        498.154         497.504      -22.010            -4,2           -3,7           -3,1
Gemeldete Arbeitsstellen 4)
 - Zugang im Monat                                                                37.319          26.181        28.023            33.350      9.861            35,9           23,2              22,4
           dar.: sozialversicherungspflichtig                                     34.490          23.939        25.381            30.371      9.352            37,2           27,7              24,8
 - Zugang seit Jahresbeginn                                                       63.500          26.181       385.820           357.797     14.789            30,4           23,2              20,5
           dar.: sozialversicherungspflichtig                                     58.429          23.939       351.083           325.702     14.543            33,1           27,7              21,3
 - Bestand 5)                                                                     69.255          60.278        59.788            63.222     17.378            33,5           28,7              26,0
           dar.: sozialversicherungspflichtig                                     64.263          55.530        54.937            57.994     16.591            34,8           32,1              29,2
                 sofort zu besetzen                                               50.318          46.545        46.671            51.475     15.119            43,0           35,9              32,0
Teilnehmer an ausgewählten Maßnahmen
aktiver Arbeitsmarktpolitik3)
 - Bestand insgesamt                                                            394.111         409.795        458.635           499.624   -112.403          -22,2          -19,7           -17,0
   dar.:   Qualifizierung                                                        62.492          64.497         67.603            68.595     -9.217          -12,9          -10,6           -14,1
           Berufsberatung u. Förderung d. Berufsausbildung                       86.354          85.446         91.651            92.006    -15.696          -15,4          -14,9            -8,5
           Beschäftigungsbegleitende Leistungen                                  98.085         100.607        106.075           112.242    -22.304          -18,5          -17,9           -16,7
           Beschäftigung schaffende Maßnahmen                                    89.996         104.396        135.001           164.652    -44.954          -33,3          -25,8           -16,0

Saisonbereinigte Entwicklung                                                   Feb 11           Jan 11         Dez 10     Nov 10     Okt 10     Sep 10                   Aug 10           Jul 10
                                                                                                                   Veränderung gegenüber Vormonat
Erwerbstätige (Inland)1)                                                                .               .              .           .         .           .                       .               .
Sozialversicherungspflichtig Beschäftigte                                              …               …          6.000       9.000     -1.000     -5.000                  10.000           9.000
Arbeitslose                                                                       -13.000          -1.000         5.000      -3.000      1.000     -7.000                 -11.000          -5.000
Unterbeschäftigung (ohne Kurzarbeit)                                              -24.000          -6.000        -6.000      -6.000     -7.000    -12.000                 -14.000         -10.000
gemeldete Arbeitsstellen4)                                                          3.000           3.000         1.000       2.000      1.000      1.000                        0          2.000
 - sozialversicherungspflichtige Stellen                                            2.000           2.000         1.000       2.000      2.000      1.000                        0          2.000
Arbeitslosenquote bezogen auf alle zivilen EP                                        11,5            11,7          11,7        11,6       11,7       11,7                    11,8            11,9
Datenstand: Februar 2011                                                                                                                                  © Statistik der Bundesagentur für Arbeit
Quelle: Statistik der Bundesagentur für Arbeit , saisonbereinigte Werte: Institut für Arbeitsmarkt- und Berufsforschung
1) Quelle: Statistisches Bundesamt
2) Detaillierte Daten zur Unterbeschäftigung siehe Tabellen 5.12; weitergehende Informationen im Methodenbericht „Umfassende Arbeitsmarktstatistik“ im Internet unter
http://statistik.arbeitsagentur.de/Navigation/Statistik/Grundlagen/Methodenberichte/Methodenberichte-Nav.html
3) Endgültige Werte stehen erst nach einer Wartezeit fest. Am aktuellen Rand können die Daten aufgrund von Erfahrungswerten überwiegend hochgerechnet werden.
4) Weitergehende Informationen im Methodenbericht „Umstellung der Statistik der gemeldeten Arbeitsstellen“ im Internet unter
http://statistik.arbeitsagentur.de/Navigation/Statistik/Grundlagen/Methodenberichte/Methodenberichte-Nav.html
5) Den Arbeitsagenturen waren im 4. Quartal 2010 laut Umfrage bei Betrieben 43% des gesamten Stellenangebotes am 1. Arbeitsmarkt gemeldet.
*)Ab Januar 2010 werden die bei den Agenturen für Arbeit und ARGEn erfassten Personen, denen eine Gleichstellung zugesichert wurde, nicht mehr zu den Schwerbehinderten
                                                                                                                                                                                     49
gezählt. Vorjahresvergleiche sind somit nur eingeschränkt möglich.
Tabellenanhang
                                                                                                           zum Monatsbericht Februar 2011
2.1 Erwerbstätigkeit - Ursprungswerte -
Deutschland
Februar 2011

                                           Erwerbstätige Inländer (Wohnort)                        Erwerbstätige im Inland (Arbeitsort)
       Jahres- / Monats-                               Veränderung gegenüber                                   Veränderung gegenüber
                              Insgesamt                                                  Insgesamt
         Durchschnitte                        Vorjahr(esmonat)            Vormonat                     Vorjahr(esmonat)            Vormonat
                                     in Tausend             in %    in Tausend   in %         in Tausend             in %    in Tausend   in %
     Jahr   20071)                39.651          655          1,7          x        x     39.724          649          1,7            x      x
     Jahr   20081)                40.216          565          1,4          x        x     40.276          552          1,4            x      x
                 1)
     Jahr   2009                  40.171          - 45        -0,1          x        x     40.271           -5         -0,0            x      x
     Jahr   20101)                40.368          197          0,5          x        x     40.483          212          0,5            x      x


     2009 Januar                  39.900           226       0,6         - 612    -1,5     39.920            230          0,6          - 638         -1,6
          Februar                 39.918           184       0,5             18    0,0     39.916            190          0,5              -4        -0,0
          März                    39.992           108       0,3             74    0,2     39.976            108          0,3              60         0,2
          April                   40.114             84      0,2           122     0,3     40.114              65         0,2            138          0,3
          Mai                     40.151             17      0,0             37    0,1     40.200               3         0,0              86         0,2
          Juni                    40.133           - 42     -0,1           - 18   -0,0     40.244            - 47        -0,1              44         0,1
          Juli                    40.058           - 90     -0,2           - 75   -0,2     40.214            - 78        -0,2            - 30        -0,1
          August                  40.085         - 141      -0,4             27    0,1     40.272            - 76        -0,2              58         0,1
          September               40.351         - 205      -0,5           266     0,7     40.554          - 103         -0,3            282          0,7
          Oktober                 40.494         - 278      -0,7           143     0,4     40.685          - 158         -0,4            131          0,3
          November                40.489         - 255      -0,6             -5   -0,0     40.663          - 136         -0,3            - 22        -0,1
          Dezember                40.367         - 145      -0,4         - 122    -0,3     40.490            - 68        -0,2          - 173         -0,4
     2010 Januar                  39.737         - 163      -0,4         - 630    -1,6     39.816          - 104         -0,3          - 674         -1,7
          Februar                 39.753         - 165      -0,4             16    0,0     39.800          - 116         -0,3            - 16        -0,0
          März                    39.920           - 72     -0,2           167     0,4     39.956            - 20        -0,1            156          0,4
          April                   40.167             53      0,1           247     0,6     40.206              92         0,2            250          0,6
          Mai                     40.339           188       0,5           172     0,4     40.395            195          0,5            189          0,5
          Juni                    40.399           266       0,7             60    0,1     40.503            259          0,6            108          0,3
          Juli                    40.354           296       0,7           - 45   -0,1     40.506            292          0,7               3         0,0
          August                  40.412           327       0,8             58    0,1     40.596            324          0,8              90         0,2
          September               40.722           371       0,9           310     0,8     40.918            364          0,9            322          0,8
          Oktober                 40.905           411       1,0           183     0,4     41.096            411          1,0            178          0,4
          November                40.921           432       1,1             16    0,0     41.090            427          1,1              -6        -0,0
          Dezember                40.794           427       1,1         - 127    -0,3     40.918            428          1,1          - 172         -0,4
     2011 Januar                  40.203          466       1,2          - 591    -1,4     40.279            463          1,2          - 639         -1,6
          Februar
          März
          April
          Mai
          Juni
          Juli
          August
          September
          Oktober
          November
          Dezember

Quelle: Statistisches Bundesamt                                                                                     © Statistik der Bundesagentur für Arbeit

1)
     vorläufiges Ergebnis
2.2 Erwerbstätigkeit - Saisonbereinigte Werte -
Deutschland
Februar 2011

                                           Erwerbstätige Inländer (Wohnort)                          Erwerbstätige im Inland (Arbeitsort)
           Monats-                                            Veränderung gegenüber                                      Veränderung gegenüber
                                     Insgesamt                                                Insgesamt
         durchschnitte                                              Vormonat                                                    Vormonat
                                                in Tausend                       in %                      in Tausend                       in %


     2009 Januar                      40.282                         1             0,0          40.348                             5                  0,0
          Februar                     40.302                        20             0,0          40.369                            21                  0,1
          März                        40.269                       -33            -0,1          40.332                           -37                 -0,1
          April                       40.242                       -27            -0,1          40.294                           -38                 -0,1
          Mai                         40.180                       -62            -0,2          40.247                           -47                 -0,1
          Juni                        40.155                       -25            -0,1          40.225                           -22                 -0,1
          Juli                        40.138                       -17            -0,0          40.229                             4                  0,0
          August                      40.117                       -21            -0,1          40.237                             8                  0,0
          September                   40.095                       -22            -0,1          40.238                             1                  0,0
          Oktober                     40.063                       -32            -0,1          40.222                           -16                 -0,0
          November                    40.081                        18             0,0          40.236                            14                  0,0
          Dezember                    40.136                        55             0,1          40.275                            39                  0,1
     2010 Januar                      40.120                       -16            -0,0          40.245                           -30                 -0,1
          Februar                     40.135                        15             0,0          40.251                             6                  0,0
          März                        40.192                        57             0,1          40.309                            58                  0,1
          April                       40.290                        98             0,2          40.382                            73                  0,2
          Mai                         40.367                        77             0,2          40.444                            62                  0,2
          Juni                        40.425                        58             0,1          40.489                            45                  0,1
          Juli                        40.434                         9             0,0          40.523                            34                  0,1
          August                      40.445                        11             0,0          40.561                            38                  0,1
          September                   40.463                        18             0,0          40.597                            36                  0,1
          Oktober                     40.471                         8             0,0          40.628                            31                  0,1
          November                    40.511                        40             0,1          40.659                            31                  0,1
          Dezember                    40.554                        43             0,1          40.694                            35                  0,1
     2011 Januar                      40.595                       41              0,1          40.717                           23                   0,1
          Februar
          März
          April
          Mai
          Juni
          Juli
          August
          September
          Oktober
          November
          Dezember                                                                                                                                             50
Quelle: Statistisches Bundesamt                                                                                     © Statistik der Bundesagentur für Arbeit
Tabellenanhang
                                                                                                                                           zum Monatsbericht Februar 2011

3.1 Sozialversicherungspflichtige Beschäftigte
Deutschland nach Ländern
Februar 2011
                                                                                           Sozialversicherungspflichtige Beschäftigte
                                                         auf 6-Monatswert hochgerechneter ...                                                  Vergleich 2-Monatswert (Sp. 1) zum
                                                 2-Monats-                                                      6-Monatswert
                                                                           3-Monatswert
                  Regionen                          wert                                                                                       zum Vorjahr             zum Vormonat
                                                                        2010                                         2010
                                                 Dezember      November       Oktober      September        August           Juli              abs.           %         abs.         %
                                                    1              2              3              4              5              6                7             8          9           10

Deutschland                                 1    28.046.200     28.275.100     28.280.500     28.271.300     27.976.208     27.691.475         558.652         2,0     -228.900      -0,8
Westdeutschland                             2    22.727.300     22.886.200     22.884.000     22.875.400     22.630.361     22.391.041         473.196         2,1     -158.900      -0,7
Ostdeutschland                              3     5.319.300      5.388.900      5.396.600      5.395.700      5.345.847      5.300.434          85.856         1,6      -69.600      -1,3
01 Schleswig-Holstein                       4       830.800       839.100        842.900        842.900        836.407        824.035           16.648         2,0       -8.300      -1,0
02 Hamburg                                  5       834.000       837.300        835.100        834.000        829.340        819.128           16.104         2,0       -3.300      -0,4
03 Niedersachsen                            6     2.496.200      2.517.200      2.521.200      2.519.400      2.504.122      2.456.592          62.537         2,6      -21.000      -0,8
04 Bremen                                   7       290.700       291.900        290.800        290.400        288.712        284.777               4.580      1,6       -1.200      -0,4
05 Nordrhein-Westfalen                      8     5.920.600      5.955.800      5.948.000      5.943.300      5.893.262      5.815.334         113.533         2,0      -35.200      -0,6
06 Hessen                                   9     2.218.900      2.231.200      2.229.300      2.227.400      2.211.889      2.181.767          35.812         1,6      -12.300      -0,6
07 Rheinland-Pfalz                         10     1.232.800      1.245.700      1.246.800      1.246.200      1.238.737      1.216.115          27.754         2,3      -12.900      -1,0
08 Baden-Württemberg                       11     3.940.400      3.957.100      3.952.000      3.954.200      3.891.764      3.881.020          78.593         2,0      -16.700      -0,4
09 Bayern                                  12     4.607.000      4.652.600      4.659.300      4.660.100      4.580.829      4.562.305         109.901         2,4      -45.600      -1,0
10 Saarland                                13       355.800       357.900        358.100        357.600        355.299        349.968               7.634      2,2       -2.100      -0,6
11 Berlin                                  14     1.143.100      1.151.000      1.147.200      1.145.200      1.130.198      1.123.157          25.585         2,3       -7.900      -0,7
12 Brandenburg                             15       749.900       761.300        763.900        764.500        757.618        750.800               9.257      1,2      -11.400      -1,5
13 Mecklenburg-Vorpommern                  16       513.800       522.300        529.400        531.300        527.004        526.335               2.263      0,4       -8.500      -1,6
14 Sachsen                                 17     1.418.900      1.437.600      1.436.900      1.435.800      1.424.132      1.411.277          24.292         1,7      -18.700      -1,3
15 Sachsen-Anhalt                          18       751.700       763.300        765.000        764.700        759.337        749.990               6.810      0,9      -11.600      -1,5
16 Thüringen                               19       741.900       752.900        754.200        754.500        747.558        738.875           17.649         2,4      -11.000      -1,5

Datenstand: Februar 2011                                                                                                                       © Statistik der Bundesagentur für Arbeit
vorläufige Ergebnisse
Quelle: Statistik der Bundesagentur für Arbeit

3.2 Sozialversicherungspflichtige Beschäftigte nach Wirtschaftsabschnitten
Deutschland
Februar 2011
                                                                                          Sozialversicherungspflichtige Beschäftigte
                                                    auf 6-Monatswert hochgerechneter/gerundeter …                                                   Vergleich 2-Monatswert (Sp. 1)
                                                 2-Monats-                                                     6-Monatswert
                                                                           3-Monatswert
     Wirtschaftsabschnitte WZ 2008                  wert                                                                                            Vorjahr              Vormonat
                                                                        2010                                        2010
                                                 Dezember      November       Oktober      September       August           Juli               abs.           %         abs.          %
                                                     1            2             3              4             5              6                   7             8          9           10
Insgesamt                                   1    28.046.200     28.275.100     28.280.500     28.271.300     27.976.208     27.691.475         558.652         2,0     -228.900      -0,8
Land-, Forstwirtschaft
und Fischerei                      A        2       192.700       210.900        219.600        226.100        220.191        216.977               1.945      1,0      -18.200      -8,6
Bergbau, Energie- u. Wasser-
versorg., Entsorgungswirtschaft    B, D, E 3        550.800       559.100        558.800        558.900        556.179        551.935               1.566      0,3       -8.300      -1,5

Verarbeitendes Gewerbe             C        4     6.335.400      6.355.200      6.348.700      6.356.500      6.298.293      6.258.792          36.034         0,6      -19.800      -0,3

Baugewerbe                         F        5     1.578.900      1.650.400      1.658.200      1.660.200      1.638.768      1.608.669          27.993         1,8      -71.500      -4,3
Handel, Instand-
haltung, Rep. von Kfz              G        6     4.096.900      4.113.600      4.109.900      4.100.300      4.061.084      4.002.000          46.194         1,1      -16.700      -0,4


Verkehr und Lagerei                H        7     1.429.900      1.439.500      1.436.300      1.435.200      1.422.269      1.411.208          36.670         2,6       -9.600      -0,7

Gastgewerbe                        I        8       825.900       829.400        849.200        863.900        859.532        845.873           19.070         2,4       -3.500      -0,4
Information und
Kommunikation                      J        9       832.200       835.600        832.700        829.400        824.013        819.115               8.695      1,1       -3.400      -0,4
Erbr. von Finanz- u.
Versicherungsdienstl.              K       10     1.011.500      1.013.300      1.015.200      1.015.900      1.009.527       997.252                -837     -0,1       -1.800      -0,2
Wirtschaftliche
Dienstleistungen                   L, M, N 11     3.703.700      3.760.600      3.744.000      3.749.900      3.706.444      3.648.536         280.622         8,2      -56.900      -1,5
      darunter (Z. 11)             782,
      Arbeitnehmerüberlassung      783     12       741.100       778.000        767.300        766.500        751.717        732.468          188.083        34,0      -36.900      -4,7
Öffentl. Verw., Verteidigung,
Soz.-vers., Ext.Orga.              O, U    13     1.705.600      1.705.000      1.710.400      1.712.700      1.701.280      1.692.784           -6.681       -0,4             600    0,0
Erziehung und
Unterricht                         P       14     1.120.700      1.122.600      1.116.500      1.106.800      1.077.670      1.076.207                200      0,0       -1.900      -0,2
Gesundheits- und
Sozialwesen                        Q       15     3.574.300      3.578.100      3.575.600      3.546.400      3.504.504      3.474.216         117.457         3,4       -3.800      -0,1
sonst. Dienstleistungen,
Private Haushalte                  R, S, T 16     1.084.600      1.098.700      1.102.200      1.105.600      1.093.597      1.084.987           -9.982       -0,9      -14.100      -1,3

nicht Zugeordnete                          17           3.100          3.100          3.200          3.500          2.857          2.924          -294         x            0        x
Datenstand: Februar 2011                                                                                                                       © Statistik der Bundesagentur für Arbeit
vorläufige Ergebnisse
Quelle: Statistik der Bundesagentur für Arbeit
                                                                                                                                                                             51
Tabellenanhang
                                                                                                                        zum Monatsbericht Februar 2011


4.1 Bestand an Kurzarbeitern
Deutschland, West- und Ostdeutschland
Februar 2011
Endgültige Angaben zur realisierten Kurzarbeit liegen erst mit einer Wartezeit von 5 Monaten vor

                                                                                Bestand an Kurzarbeitern
                                                            2)
                                            Deutschland                                 Westdeutschland                               Ostdeutschland
                                                                                             Veränderung zum                              Veränderung zum
        Jahr / Monat                            Veränderung zum
                               Insgesamt                                     Insgesamt           Vorjahr /                Insgesamt           Vorjahr /
                                             Vorjahr / Vorjahresmonat
                                                                                              Vorjahresmonat                               Vorjahresmonat
                                                  absolut        in %                        absolut        in %                          absolut            in %
                                    1               2             3             4              5             6                7              8                9
                    1)
     Jahr   2006                   66.981          -58.525       -46,6         54.090         -46.719       -46,3           12.890         -11.806           -47,8
     Jahr   20071)                 68.317            1.336         2,0         51.902          -2.188        -4,0           16.414           3.524           27,3
                    1)
     Jahr   2008                 101.540           33.224         48,6         80.168         28.265        54,5            21.373           4.959           30,2
                    1)
     Jahr   2009               1.144.407         1.042.867        x           987.781        907.613         x             150.784        129.411             x

     2008   Januar               137.759           11.502          9,1        100.895          7.975          8,6           36.864           3.527           10,6
            Februar              161.090           12.654          8,5        118.958         11.315        10,5            42.132           1.339            3,3
            März                 155.523           11.578          8,0        113.564          9.367          9,0           41.959           2.211            5,6
            April                  59.066            8.042        15,8         46.727          5.711        13,9            12.339           2.331           23,3
            Mai                    50.973            2.665         5,5         40.544          1.975          5,1           10.429               690          7,1
            Juni                   50.411            4.154         9,0         40.439          3.985        10,9              9.972              169          1,7
            Juli                   42.694            3.349         8,5         34.780          3.510        11,2              7.914              -158         -2,0
            August                 39.416            7.074        21,9         32.506          7.067        27,8              6.910               10          0,1
            September              49.965          16.307         48,4         42.043         14.589        53,1              7.922          1.718           27,7
            Oktober                70.983          35.196         98,3         58.921         29.165        98,0            12.062           6.031       100,0
            November             130.133           93.473        255,0        109.947         79.793       264,6            20.186         13.680        210,3
            Dezember             270.472          192.690        247,7        222.690        164.733       284,2            47.782         27.957        141,0
     2009   Januar               593.597          455.838              x      482.238        381.343              x        105.799         68.935                 x
            Februar            1.079.068          917.978              x      910.221        791.263              x        161.891        119.759                 x
            März               1.324.877         1.169.354             x     1.130.690     1.017.126              x        186.021        144.062                 x
            April              1.446.417         1.387.351             x     1.265.078     1.218.351              x        172.009        159.670                 x
            Mai                1.468.809         1.417.836             x     1.286.057     1.245.513              x        174.118        163.689                 x
            Juni               1.393.655         1.343.244             x     1.218.921     1.178.482              x        167.263        157.291                 x
            Juli               1.247.843         1.205.149             x     1.088.019     1.053.239              x        154.220        146.306                 x
            August             1.054.846         1.015.430             x      902.142        869.636              x        147.704        140.794                 x
            September          1.104.061         1.054.096             x      958.175        916.132              x        141.822        133.900                 x
            Oktober            1.109.091         1.038.108             x      965.789        906.868              x        139.774        127.712                 x
            November             981.782          851.649              x      854.682        744.735              x        124.041        103.855                 x
            Dezember             928.843          658.371              x      791.355        568.665              x        134.745         86.963                 x
     2010   Januar             1.056.942          463.345          78,1       877.583        395.345          82,0         177.013         71.214             67,3
            Februar            1.030.831           -48.237            -4,5    845.456        -64.765             -7,1      183.077         21.186             13,1
            März                 874.346          -450.531        -34,0       712.687       -418.003         -37,0         159.909         -26.112            -14,0
            April                632.008          -814.409        -56,3       529.942       -735.136         -58,1         100.696         -71.313            -41,5
            Mai                  498.934          -969.875        -66,0       415.582       -870.475         -67,7          82.658         -91.460            -52,5
            Juni                 419.515          -974.140        -69,9       348.104       -870.817         -71,4          70.906         -96.357            -57,6
            Juli                 313.087          -934.756        -74,9       256.847       -831.172         -76,4          55.751         -98.469            -63,8
            August               243.736          -811.110        -76,9       194.698       -707.444         -78,4          48.973         -98.731            -66,8
            September                   …               .               .           …              .               .              …                .                .
            Oktober                     …               .               .           …              .               .              …                .                .
            November                    …               .               .           …              .               .              …                .                .
            Dezember                    …               .               .           …              .               .              …                .                .
Datenstand: Februar 2011                                                                                                   © Statistik der Bundesagentur für Arbeit
Quelle: Statistik der Bundesagentur für Arbeit
1)
 Jahresdurchschnittswerte
2)
 die Werte für Deutschland beinhalten auch die Fälle, die in politischer Gliederung nicht differenziert werden können
Hinweis: Die Kurzarbeiterstatistik basiert für die Zeiträume bis Dezember 2008 auf gesonderten Betriebsmedlungen für statistische Zwecke.
          Die Daten ab Januar 2009 wurden im Rahmen der neuen Kurzarbeiterstatistik ermittelt, die auf Auswertungen aus den von den Betrieben eingereichten
          Abrechnungslisten über realisierte Kurzarbeit in zurück liegenden Monaten beruht. Methodisch bedingt gibt es vor allem bei regional und branchenmäßig
          tiefer gegliederten Statistiken Abweichungen zwischen beiden Verfahren, das neue Auswerteverfahren bietet eine höhere Sicherheit.


                                                                                                                                                        52
Tabellenanhang
                                                                                                             zum Monatsbericht Februar 2011


4.2 Anzeigen über Kurzarbeit und Anzahl betroffener Personen
Deutschland
Februar 2011

                                                     davon:                                     in den           davon:
                                Eingegangene
                                                     wirtschaftlich        Transfer-           Anzeigen          wirtschaftlich         Transfer-
                                  Anzeigen
                                                       bedingte           Kurzarbeiter-        genannte            bedingte            Kurzarbeiter-
        Berichtsmonate              über
                                                      Kurzarbeit              geld             Personen-          Kurzarbeit               geld
                                  Kurzarbeit
                                                      § 170 / § 175          § 216 b              zahl            § 170 / § 175            § 216 b
                                        1                  2                    3                  4                    5                     6

     Jahr   2007 2)                          3.479              3.374                  105              34.327               31.477                  2.849
     Jahr   2008 2)                          4.433              4.311                  122              74.870               71.946                  2.924
     Jahr   2009 2)                         13.536             13.341                  195             302.226              296.508                  5.718
     Jahr   2010 2)                          5.766              5.591                  174              67.055               63.986                  3.069
     2009   Januar                          17.032             16.933                     99           352.464              347.549                  4.915
            Februar                         19.103             18.989                  114             742.178              738.361                  3.817
            März                            24.566             24.431                  135             688.898              684.094                  4.804
            April                           19.261             19.109                  152             462.813              455.279                  7.534
            Mai                             14.633             14.474                  159             298.158              293.905                  4.253
            Juni                            12.086             11.930                  156             204.608              199.313                  5.295
            Juli                             9.902              9.461                  441             170.204              160.409                  9.795
            August                           6.158              5.959                  199             106.624              101.057                  5.567
            September                        6.365              6.174                  191             119.019              113.947                  5.072
            Oktober                          6.834              6.583                  251             103.350               97.739                  5.611
            November                        10.379             10.173                  206             152.522              146.092                  6.430
            Dezember                        16.116             15.880                  236             225.873              220.353                  5.520
     2010   Januar                          13.324             13.081                  243             129.634              124.492                  5.142
            Februar                          9.898              9.703                  195              96.458               92.499                  3.959
            März                             6.097              5.893                  204              67.311               63.750                  3.561
            April                            4.213              4.041                  172              55.566               51.831                  3.735
            Mai                              2.995              2.788                  207              37.018               33.775                  3.243
            Juni                             2.717              2.543                  174              32.172               28.937                  3.235
            Juli                             2.296              2.107                  189              29.586               27.427                  2.159
            August                           1.895              1.754                  141              29.378               27.361                  2.017
            September                        1.988              1.866                  122              30.740               28.870                  1.870
            Oktober                          2.544              2.390                  154              45.396               42.425                  2.971
            November                         7.223              7.096                  127              94.316               92.115                  2.201
            Dezember                        13.996             13.831                  165             157.082              154.349                  2.733
     2011   Januar                           6.906              6.768                  138              68.184               66.122                  2.062
            Februar                              …                    …                   …                 …                     …                    …
            März
            April
            Mai
            Juni
            Juli
            August
            September
            Oktober
            November
            Dezember
Datenstand: Februar 2011                                                                                          © Statistik der Bundesagentur für Arbeit
Quelle: Statistik der Bundesagentur für Arbeit
2)
     Monatsdurchschnittswerte




                                                                                                                                             53
Tabellenanhang
                                                                                                                                zu Monatsbericht Februar 2011

5.1 Bestand an Arbeitslosen und Arbeitslosenquoten
Deutschland
Februar 2011

                                                          Bestand an Arbeitslosen                                  Arbeitslosenquoten           Saisonbereinigte Werte
                                                                    Veränderung gegenüber                              auf Basis                                  Arbeits-
                                                                                                                                                 absolut       losenquoten
                                                              Vorjahr
           Jahr / Monat                Anzahl                                                Vormonat           aller zivilen   abhängiger         in            auf Basis
                                                          Vorjahresmonat
                                                                                                                    EP2)        ziviler EP3)    Tausend
                                                        absolut           in%        absolut         in %                                                     aller ziv. EP2)
                                          1                2               3             4              5            6               7                8             9

     Jahr 20071)                      3.776.509          -710.796        -15,8           .              .                 9,0            10,1             x                 x
     Jahr 20081)                      3.267.907          -508.601        -13,5           .              .                 7,8             8,7             x                 x
     Jahr 20091)                      3.423.283           155.376          4,8           .              .                 8,2             9,1             x                 x
     Jahr 20101)                      3.244.470          -178.813         -5,2           .              .                 7,7             8,6             x                 x

 2009 Januar                          3.488.801          -170.515         -4,7       386.735          12,5                8,3             9,3         3.270              7,8
           Februar                    3.551.911           -65.507         -1,8         63.110           1,8               8,5             9,5         3.309              7,9
           März                       3.585.784            78.401          2,2         33.873           1,0               8,6             9,6         3.382              8,1
           April                      3.584.798           170.917          5,0           -986           -0,0              8,6             9,6         3.464              8,3
           Mai                        3.458.104           174.870          5,3      -126.694            -3,5              8,2             9,2         3.471              8,2
           Juni                       3.410.036           250.267          7,9        -48.068           -1,4              8,1             9,1         3.493              8,3
           Juli                       3.462.446           252.459          7,9         52.410           1,5               8,2             9,2         3.485              8,3
           August                     3.471.513           275.832          8,6          9.067           0,3               8,3             9,3         3.479              8,3
           September                  3.346.459           265.622          8,6      -125.054            -3,6              8,0             8,9         3.475              8,3
           Oktober                    3.228.625           231.733          7,7      -117.834            -3,5              7,7             8,6         3.440              8,2
           November                   3.215.393           226.968          7,6        -13.232           -0,4              7,6             8,6         3.433              8,2
           Dezember                   3.275.526           173.460          5,6         60.133           1,9               7,8             8,7         3.404              8,1

 2010 Januar                          3.617.485           128.684          3,7       341.959          10,4                8,6             9,6         3.388              8,1
           Februar                    3.643.381            91.470          2,6         25.896           0,7               8,7             9,7         3.390              8,1
           März                       3.567.944           -17.840         -0,5        -75.437           -2,1              8,5             9,5         3.355              8,0
           April                      3.406.344          -178.454         -5,0      -161.600            -4,5              8,1             9,1         3.290              7,8
           Mai                        3.241.529          -216.575         -6,3      -164.815            -4,8              7,7             8,6         3.255              7,7
           Juni                       3.153.300          -256.736         -7,5        -88.229           -2,7              7,5             8,4         3.233              7,7
           Juli                       3.191.800          -270.646         -7,8         38.500           1,2               7,6             8,5         3.214              7,6
           August                     3.188.122          -283.391         -8,2         -3.678           -0,1              7,6             8,5         3.197              7,6
           September                  3.031.354          -315.105         -9,4      -156.768            -4,9              7,2             8,1         3.159              7,5
           Oktober                    2.945.491          -283.134         -8,8        -85.863           -2,8              7,0             7,8         3.155              7,5
           November                   2.931.170          -284.223         -8,8        -14.321           -0,5              7,0             7,8         3.144              7,5
           Dezember                   3.015.715          -259.811         -7,9         84.545           2,9               7,2             8,0         3.139              7,5

 2011 Januar                          3.349.788          -267.697         -7,4       334.073          11,1                8,0             8,9         3.121              7,4
           Februar                    3.317.099          -326.282         -9,0        -32.689           -1,0              7,9             8,8         3.069              7,3
           März
           April
           Mai
           Juni
           Juli
           August
           September
           Oktober
           November
           Dezember
Datenstand: Februar 2011                                                                                                            © Statistik der Bundesagentur für Arbeit
Quelle: Statistik der Bundesagentur für Arbeit , saisonbereinigte Werte: Institut für Arbeitsmarkt- und Berufsforschung
1)
     Jahresdurchschnittswerte
2)
     Arbeitslose in % aller zivilen Erwerbspersonen (abhäng. zivile Erwerbspersonen sowie Selbständige und mithelfende Familienangehörige).
3)
     Arbeitslose in % der abhängigen zivilen Erwerbspersonen (voll sozialversicherungspflichtig und geringfügig Beschäftigte, Beamte, Arbeitslose).




                                                                                                                                                          54
Tabellenanhang
                                                                                                                                zu Monatsbericht Februar 2011

5.2 Bestand an Arbeitslosen und Arbeitslosenquoten
Westdeutschland
Februar 2011

                                                          Bestand an Arbeitslosen                                  Arbeitslosenquoten           Saisonbereinigte Werte
                                                                     Veränderung gegenüber                             auf Basis                                  Arbeits-
                                                                                                                                                 absolut       losenquoten
                                                              Vorjahr
           Jahr / Monat                Anzahl                                                Vormonat           aller zivilen   abhängiger         in            auf Basis
                                                          Vorjahresmonat
                                                                                                                    EP2)        ziviler EP3)    Tausend
                                                        absolut           in%        absolut         in %                                                     aller ziv. EP2)
                                          1                2               3             4              5            6               7                8             9

     Jahr 20071)                      2.485.871          -521.287        -17,3           .              .                 7,5            8,4              x                 x
     Jahr 20081)                      2.144.651          -341.220        -13,7           .              .                 6,4            7,2              x                 x
     Jahr 20091)                      2.320.209           175.558          8,2           .              .                 6,9            7,8              x                 x
     Jahr 20101)                      2.231.694           -88.515         -3,8           .              .                 6,6            7,4              x                 x

 2009 Januar                          2.306.457           -76.412         -3,2       247.504          12,0                6,9            7,8          2.174              6,5
           Februar                    2.347.936                633         0,0         41.479           1,8               7,0            7,9          2.207              6,6
           März                       2.378.890           107.579          4,7         30.954           1,3               7,1            8,0          2.267              6,8
           April                      2.399.548           183.557          8,3         20.658           0,9               7,2            8,1          2.336              7,0
           Mai                        2.333.878           194.020          9,1        -65.670           -2,7              6,9            7,8          2.351              7,0
           Juni                       2.318.630           245.138         11,8        -15.248           -0,7              6,9            7,7          2.370              7,1
           Juli                       2.368.217           247.976         11,7         49.587           2,1               7,0            7,9          2.370              7,1
           August                     2.389.445           280.596         13,3         21.228           0,9               7,1            8,0          2.376              7,1
           September                  2.306.730           264.932         13,0        -82.715           -3,5              6,9            7,7          2.377              7,1
           Oktober                    2.228.931           239.076         12,0        -77.799           -3,4              6,6            7,4          2.355              7,0
           November                   2.215.665           230.368         11,6        -13.266           -0,6              6,6            7,4          2.349              7,0
           Dezember                   2.248.181           189.228          9,2         32.516           1,5               6,7            7,5          2.334              6,9

 2010 Januar                          2.469.537           163.080          7,1       221.356            9,8               7,4            8,3          2.328              6,9
           Februar                    2.481.773           133.837          5,7         12.236           0,5               7,4            8,3          2.332              6,9
           März                       2.427.824            48.934          2,1        -53.949           -2,2              7,2            8,1          2.308              6,9
           April                      2.329.292           -70.256         -2,9        -98.532           -4,1              6,9            7,8          2.267              6,7
           Mai                        2.224.034          -109.844         -4,7      -105.258            -4,5              6,6            7,4          2.241              6,7
           Juni                       2.175.640          -142.990         -6,2        -48.394           -2,2              6,5            7,2          2.225              6,6
           Juli                       2.208.891          -159.326         -6,7         33.251           1,5               6,6            7,3          2.211              6,6
           August                     2.218.670          -170.775         -7,1          9.779           0,4               6,6            7,4          2.205              6,5
           September                  2.103.772          -202.958         -8,8      -114.898            -5,2              6,2            7,0          2.174              6,5
           Oktober                    2.043.457          -185.474         -8,3        -60.315           -2,9              6,1            6,8          2.169              6,4
           November                   2.029.525          -186.140         -8,4        -13.932           -0,7              6,0            6,7          2.161              6,4
           Dezember                   2.067.916          -180.265         -8,0         38.391           1,9               6,1            6,9          2.151              6,4

 2011 Januar                          2.274.261          -195.276         -7,9       206.345          10,0                6,8            7,6          2.134              6,3
           Februar                    2.241.537          -240.236         -9,7        -32.724           -1,4              6,7            7,5          2.095              6,2
           März
           April
           Mai
           Juni
           Juli
           August
           September
           Oktober
           November
           Dezember
Datenstand: Februar 2011                                                                                                            © Statistik der Bundesagentur für Arbeit
Quelle: Statistik der Bundesagentur für Arbeit , saisonbereinigte Werte: Institut für Arbeitsmarkt- und Berufsforschung
1)
     Jahresdurchschnittswerte
2)
     Arbeitslose in % aller zivilen Erwerbspersonen (abhäng. zivile Erwerbspersonen sowie Selbständige und mithelfende Familienangehörige).
3)
     Arbeitslose in % der abhängigen zivilen Erwerbspersonen (voll sozialversicherungspflichtig und geringfügig Beschäftigte, Beamte, Arbeitslose).




                                                                                                                                                          55
Tabellenanhang
                                                                                                                                 zu Monatsbericht Februar 2011

5.3 Bestand an Arbeitslosen und Arbeitslosenquoten
Ostdeutschland
Februar 2011

                                                          Bestand an Arbeitslosen                                  Arbeitslosenquoten            Saisonbereinigte Werte
                                                                       Veränderung gegenüber                           auf Basis                                    Arbeits-
                                                                                                                                                  absolut        losenquoten
                                                              Vorjahr
           Jahr / Monat                Anzahl                                                Vormonat           aller zivilen    abhängiger         in             auf Basis
                                                          Vorjahresmonat
                                                                                                                    EP2)         ziviler EP3)    Tausend
                                                        absolut            in%       absolut         in %                                                       aller ziv. EP2)
                                          1                2                3            4              5            6                7               8               9

     Jahr 20071)                      1.290.637          -189.509          -12,8         .              .                 15,1            16,8              x                 x
     Jahr 20081)                      1.123.256          -167.381          -13,0         .              .                 13,1            14,7              x                 x
     Jahr 20091)                      1.103.074           -20.182           -1,8         .              .                 13,0            14,5              x                 x
     Jahr 20101)                      1.012.775           -90.299           -8,2         .              .                 12,0            13,4              x                 x

 2009 Januar                          1.182.344           -94.103           -7,4     139.231          13,3                13,9            15,5        1.096               12,9
           Februar                    1.203.975           -66.140           -5,2       21.631           1,8               14,1            15,8        1.102               12,9
           März                       1.206.894           -29.178           -2,4        2.919           0,2               14,2            15,8        1.115               13,1
           April                      1.185.250           -12.640           -1,1      -21.644           -1,8              13,9            15,5        1.128               13,2
           Mai                        1.124.226           -19.150           -1,7      -61.024           -5,1              13,3            14,8        1.120               13,2
           Juni                       1.091.406                5.129         0,5      -32.820           -2,9              12,9            14,4        1.123               13,3
           Juli                       1.094.229                4.483         0,4        2.823           0,3               12,9            14,4        1.115               13,2
           August                     1.082.068             -4.764          -0,4      -12.161           -1,1              12,8            14,3        1.103               13,0
           September                  1.039.729                 690          0,1      -42.339           -3,9              12,3            13,7        1.098               13,0
           Oktober                      999.694             -7.343          -0,7      -40.035           -3,9              11,8            13,2        1.085               12,8
           November                     999.728             -3.400          -0,3             34         0,0               11,8            13,2        1.084               12,8
           Dezember                   1.027.345           -15.768           -1,5       27.617           2,8               12,1            13,5        1.070               12,6

 2010 Januar                          1.147.948           -34.396           -2,9     120.603          11,7                13,5            15,1        1.060               12,5
           Februar                    1.161.608           -42.367           -3,5       13.660           1,2               13,7            15,3        1.058               12,5
           März                       1.140.120           -66.774           -5,5      -21.488           -1,8              13,5            15,0        1.047               12,4
           April                      1.077.052          -108.198           -9,1      -63.068           -5,5              12,7            14,2        1.023               12,1
           Mai                        1.017.495          -106.731           -9,5      -59.557           -5,5              12,1            13,5        1.014               12,0
           Juni                         977.660          -113.746          -10,4      -39.835           -3,9              11,6            12,9        1.008               11,9
           Juli                         982.909          -111.320          -10,2        5.249           0,5               11,6            13,0        1.003               11,9
           August                       969.452          -112.616          -10,4      -13.457           -1,4              11,5            12,8            992             11,8
           September                    927.582          -112.147          -10,8      -41.870           -4,3              11,0            12,3            985             11,7
           Oktober                      902.034           -97.660           -9,8      -25.548           -2,8              10,7            11,9            986             11,7
           November                     901.645           -98.083           -9,8         -389           -0,0              10,7            11,9            983             11,6
           Dezember                     947.799           -79.546           -7,7       46.154           5,1               11,2            12,5            988             11,7

 2011 Januar                          1.075.527           -72.421           -6,3     127.728          13,5                12,7            14,2            987             11,7
           Februar                    1.075.562           -86.046           -7,4             35         0,0               12,7            14,2            974             11,5
           März
           April
           Mai
           Juni
           Juli
           August
           September
           Oktober
           November
           Dezember
Datenstand: Februar 2011                                                                                                             © Statistik der Bundesagentur für Arbeit
Quelle: Statistik der Bundesagentur für Arbeit , saisonbereinigte Werte: Institut für Arbeitsmarkt- und Berufsforschung
1)
     Jahresdurchschnittswerte
2)
     Arbeitslose in % aller zivilen Erwerbspersonen (abhäng. zivile Erwerbspersonen sowie Selbständige und mithelfende Familienangehörige).
3)
     Arbeitslose in % der abhängigen zivilen Erwerbspersonen (voll sozialversicherungspflichtig und geringfügig Beschäftigte, Beamte, Arbeitslose).




                                                                                                                                                            56
Tabellenanhang
                                                                                                                         zum Monatsbericht Februar 2011

5.4 Arbeitslose nach Rechtskreisen - Eckwerte -
Deutschland
Februar 2011

                                                                                                  Arbeitslose nach Rechtskreisen
                                                                    2011                            2010                  Veränderung gegenüber Vorjahresmonat
                          Merkmal                                                                                            (Arbeitslosenquote Vorjahreswerte)
                                                          Februar          Januar       Dezember           November           Februar             Januar    Dezember
                                                                                                                         absolut        in %       in %         in %
                                                             1               2                3               4             5               6              7             8
SGB III und SGB II
Arbeitslose
 - Bestand                                                3.317.099        3.349.788     3.015.715          2.931.170     -326.282            -9,0          -7,4           -7,9
   dar.: 55,4%      Männer                                1.838.493        1.855.463     1.619.453          1.541.374     -238.432           -11,5          -9,2           -9,8
         44,6%      Frauen                                1.478.606        1.494.325     1.396.262          1.389.796      -87.850            -5,6          -5,0           -5,6
          9,5%     15 bis unter 25 Jahre                    315.113          305.301       265.942            262.404      -67.855           -17,7         -15,5          -17,4
          1,5%     dar.: 15 bis unter 20 Jahre               48.996           47.763        44.893             45.324      -10.613           -17,8         -16,7          -18,7
         30,5%     50 Jahre bis unter 65 Jahre            1.010.606        1.022.600       921.891            890.634       12.198             1,2           2,9            2,2
         17,6%     dar.: 55 Jahre bis unter 65 Jahre        585.357          591.026       536.443            519.405       30.670             5,5           7,4            7,3
         15,2%     Ausländer                                503.869          509.927       474.363            468.200      -37.830            -7,0          -6,2           -6,5
         84,7%     Deutsche                               2.809.094        2.835.616     2.537.379          2.458.872     -286.161            -9,2          -7,5           -8,2
          5,7%schwerbehinderte Menschen1)                   188.114          189.431       176.595            173.563       10.176             5,7           6,6            6,1
Arbeitslosenquote bezogen auf
     - alle zivilen Erwerbspersonen insgesamt                     7,9             8,0              7,2             7,0           8,7               -            8,6           7,8
             Männer                                               8,2             8,3              7,2             6,9           9,3               -            9,1           8,0
             Frauen                                               7,5             7,6              7,1             7,0           8,0               -            8,0           7,5
             15 bis unter 25 Jahre                                6,6             6,4              5,6             5,5           7,9               -            7,5           6,7
             15 bis unter 20 Jahre                                3,4             3,4              3,2             3,2           4,0               -            3,8           3,7
             50 Jahre bis unter 65 Jahre                          9,0             9,1              8,2             8,0           9,3               -            9,2           8,4
             55 Jahre bis unter 65 Jahre                          9,6             9,7              8,8             8,5           9,5               -            9,5           8,6
             Ausländer                                           15,8            15,9             14,8            14,6          17,1               -           17,2          16,1
             Deutsche                                             7,2             7,3              6,5             6,3           8,0               -            7,9           7,1
     - abhängige zivile Erwerbspersonen insgesamt                 8,8             8,9              8,0             7,8           9,7               -            9,6           8,7
SGB III
Arbeitslose
 - Bestand                                                1.108.571        1.146.672         949.576         903.605      -251.759           -18,5         -14,6          -14,5
   dar.: 57,7% Männer                                       640.090          663.365         511.653         463.785      -189.681           -22,9         -17,9          -19,0
         42,3% Frauen                                       468.481          483.307         437.923         439.820       -62.078           -11,7          -9,5           -8,6
         13,0% 15 bis unter 25 Jahre                        143.992          137.566         110.296         108.376       -50.635           -26,0         -22,0          -24,7
           1,4% dar.: 15 bis unter 20 Jahre                  15.896           14.738          13.163          13.313        -6.743           -29,8         -25,8          -27,2
         38,7% 50 Jahre bis unter 65 Jahre                  429.400          442.628         387.437         373.886       -16.487            -3,7           0,7            3,6
         27,0% dar.: 55 Jahre bis unter 65 Jahre            299.337          306.278         275.725         268.971         8.799             3,0           7,4           11,2
           9,2% Ausländer                                   102.171          106.036          90.826          87.529       -26.297           -20,5         -18,4          -19,3
         90,7% Deutsche                                   1.005.978        1.040.192         858.401         815.696      -225.123           -18,3         -14,1          -13,9
           7,0% schwerbehinderte Menschen1)                  77.678           79.359          73.802          73.143         2.326             3,1           5,9            8,5
Anteil an SGB III und SGB II
 - Bestand                                                       33,4            34,2             31,5            30,8               x            x               x             x
   dar.: Männer                                                  34,8            35,8             31,6            30,1               x            x               x             x
          Frauen                                                 31,7            32,3             31,4            31,6               x            x               x             x
         15 bis unter 25 Jahre                                   45,7            45,1             41,5            41,3               x            x               x             x
         dar.: 15 bis unter 20 Jahre                             32,4            30,9             29,3            29,4               x            x               x             x
         50 Jahre bis unter 65 Jahre                             42,5            43,3             42,0            42,0               x            x               x             x
         dar.: 55 Jahre bis unter 65 Jahre                       51,1            51,8             51,4            51,8               x            x               x             x
         Ausländer                                               20,3            20,8             19,1            18,7               x            x               x             x
         Deutsche                                                35,8            36,7             33,8            33,2               x            x               x             x
         schwerbehinderte Menschen                               41,3            41,9             41,8            42,1               x            x               x             x
anteilige Arbeitslosenquoten
     - alle zivilen Erwerbspersonen insgesamt                     2,6             2,7              2,3             2,1             3,2             -            3,2           2,6
     - abhängige zivile Erwerbspersonen insgesamt                 2,9             3,0              2,5             2,4             3,6             -            3,6           3,0
SGB II
Arbeitslose
 - Bestand                                                2.208.528        2.203.116     2.066.139          2.027.565      -74.523            -3,3          -3,2           -4,6
   dar.: 54,3% Männer                                     1.198.403        1.192.098     1.107.800          1.077.589      -48.751            -3,9          -3,5           -4,8
           45,7% Frauen                                   1.010.125        1.011.018       958.339            949.976      -25.772            -2,5          -2,8           -4,2
            7,7% 15 bis unter 25 Jahre                      171.121          167.735       155.646            154.028      -17.220            -9,1          -9,4          -11,2
            1,5% dar.: 15 bis unter 20 Jahre                 33.100           33.025        31.730             32.011       -3.870           -10,5         -11,8          -14,6
           26,3% 50 Jahre bis unter 65 Jahre                581.206          579.972       534.454            516.748       28.685             5,2           4,7            1,2
           13,0% dar.: 55 Jahre bis unter 65 Jahre          286.020          284.748       260.718            250.434       21.871             8,3           7,4            3,4
           18,2% Ausländer                                  401.698          403.891       383.537            380.671      -11.533            -2,8          -2,4           -2,9
           81,6% Deutsche                                 1.803.116        1.795.424     1.678.978          1.643.176      -61.038            -3,3          -3,2           -4,9
            5,0% schwerbehinderte Menschen1)                110.436          110.072       102.793            100.420        7.850             7,7           7,1            4,4
    Anteil an SGB III und SGB II
 - Bestand                                                       66,6            65,8             68,5            69,2               x            x               x             x
   dar.: Männer                                                  65,2            64,2             68,4            69,9               x            x               x             x
           Frauen                                                68,3            67,7             68,6            68,4               x            x               x             x
          15 bis unter 25 Jahre                                  54,3            54,9             58,5            58,7               x            x               x             x
          dar.: 15 bis unter 20 Jahre                            67,6            69,1             70,7            70,6               x            x               x             x
          50 Jahre bis unter 65 Jahre                            57,5            56,7             58,0            58,0               x            x               x             x
          dar.: 55 Jahre bis unter 65 Jahre                      48,9            48,2             48,6            48,2               x            x               x             x
          Ausländer                                              79,7            79,2             80,9            81,3               x            x               x             x
          Deutsche                                               64,2            63,3             66,2            66,8               x            x               x             x
          schwerbehinderte Menschen                              58,7            58,1             58,2            57,9               x            x               x             x
anteilige Arbeitslosenquoten
  - alle zivilen Erwerbspersonen insgesamt                        5,2             5,2              4,9             4,8             5,4             -            5,4           5,1
  - abhängige zivile Erwerbspersonen insgesamt                    5,9             5,9              5,5             5,4             6,1             -            6,1           5,8
Datenstand: Februar 2011                                                                                                                 © Statistik der Bundesagentur für Arbeit
Quelle: Statistik der Bundesagentur für Arbeit
1)
     Ab Januar 2010 werden die bei den Agenturen für Arbeit und ARGEn erfassten Personen, denen eine Gleichstellung zugesichert wurde, nicht mehr zu den
      Schwerbehinderten gezählt. Vorjahresvergleiche sind somit nur eingeschränkt möglich.
                                                                                                                                                                              57
Tabellenanhang
                                                                                                                         zum Monatsbericht Februar 2011

5.5 Arbeitslose nach Rechtskreisen - Eckwerte -
Westdeutschland
Februar 2011

                                                                                                  Arbeitslose nach Rechtskreisen
                                                                    2011                            2010                  Veränderung gegenüber Vorjahresmonat
                          Merkmal                                                                                            (Arbeitslosenquote Vorjahreswerte)
                                                          Februar          Januar       Dezember           November           Februar             Januar    Dezember
                                                                                                                         absolut        in %       in %         in %
                                                             1               2                3               4             5               6              7             8
SGB III und SGB II
Arbeitslose
 - Bestand                                                2.241.537        2.274.261     2.067.916          2.029.525     -240.236            -9,7          -7,9           -8,0
   dar.: 54,9%      Männer                                1.231.494        1.248.870     1.102.961          1.062.888     -177.452           -12,6         -10,2          -10,4
         45,1%      Frauen                                1.010.043        1.025.391       964.955            966.637      -62.784            -5,9          -4,9           -5,1
          9,6%     15 bis unter 25 Jahre                    215.209          208.020       180.834            178.595      -48.869           -18,5         -16,0          -17,7
          1,6%     dar.: 15 bis unter 20 Jahre               36.704           35.845        33.546             33.778       -7.366           -16,7         -15,3          -17,1
         29,4%     50 Jahre bis unter 65 Jahre              660.124          672.048       612.960            600.330       10.796             1,7           3,9            3,9
         17,2%     dar.: 55 Jahre bis unter 65 Jahre        384.450          390.269       357.987            351.175       24.057             6,7           9,2            9,8
         19,1%     Ausländer                                428.981          434.730       404.573            400.362      -36.639            -7,9          -6,9           -7,2
         80,7%     Deutsche                               1.809.278        1.836.152     1.660.142          1.625.850     -202.531           -10,1          -8,1           -8,2
          6,2%schwerbehinderte Menschen1)                   138.436          140.134       130.902            129.195        8.611             6,6           8,1            7,8
Arbeitslosenquote bezogen auf
     - alle zivilen Erwerbspersonen insgesamt                     6,7             6,8              6,1             6,0           7,4               -            7,4           6,7
             Männer                                               6,9             7,0              6,2             5,9           7,9               -            7,8           6,9
             Frauen                                               6,4             6,5              6,1             6,1           6,8               -            6,9           6,5
             15 bis unter 25 Jahre                                5,6             5,4              4,7             4,7           6,8               -            6,4           5,7
             15 bis unter 20 Jahre                                3,1             3,0              2,8             2,8           3,5               -            3,4           3,2
             50 Jahre bis unter 65 Jahre                          7,5             7,7              7,0             6,8           7,7               -            7,7           7,0
             55 Jahre bis unter 65 Jahre                          8,0             8,1              7,5             7,3           7,9               -            7,8           7,1
             Ausländer                                           14,8            15,0             14,0            13,8          16,2               -           16,3          15,2
             Deutsche                                             5,9             6,0              5,4             5,3           6,6               -            6,5           5,9
     - abhängige zivile Erwerbspersonen insgesamt                 7,5             7,6              6,9             6,7           8,3               -            8,3           7,5
SGB III
Arbeitslose
 - Bestand                                                  790.877         818.704          691.325         663.638      -197.040           -19,9         -16,3          -16,0
   dar.: 57,7% Männer                                       455.981         472.729          376.400         347.188      -147.786           -24,5         -20,1          -20,8
         42,3% Frauen                                       334.896         345.975          314.925         316.450       -49.254           -12,8         -10,7           -9,6
         13,5% 15 bis unter 25 Jahre                        106.557         100.839           81.090          79.291       -39.498           -27,0         -23,2          -25,6
           1,7% dar.: 15 bis unter 20 Jahre                  13.058          12.008           10.588          10.625        -4.772           -26,8         -22,8          -23,9
         36,9% 50 Jahre bis unter 65 Jahre                  291.877         301.782          268.270         261.218        -8.240            -2,7           1,8            5,1
         25,7% dar.: 55 Jahre bis unter 65 Jahre            203.641         208.786          190.231         186.846         9.353             4,8           9,4           14,0
         11,8% Ausländer                                     93.545          97.088           83.067          79.966       -25.715           -21,6         -19,5          -20,4
         88,1% Deutsche                                     697.010         721.282          607.984         583.375      -171.026           -19,7         -15,9          -15,4
           7,7% schwerbehinderte Menschen1)                  60.776          62.247           57.964          57.432         2.369             4,1           7,4            9,9
Anteil an SGB III und SGB II
 - Bestand                                                       35,3            36,0             33,4            32,7               x             x              x             x
   dar.: Männer                                                  37,0            37,9             34,1            32,7               x             x              x             x
          Frauen                                                 33,2            33,7             32,6            32,7               x             x              x             x
         15 bis unter 25 Jahre                                   49,5            48,5             44,8            44,4               x             x              x             x
         dar.: 15 bis unter 20 Jahre                             35,6            33,5             31,6            31,5               x             x              x             x
         50 Jahre bis unter 65 Jahre                             44,2            44,9             43,8            43,5               x             x              x             x
         dar.: 55 Jahre bis unter 65 Jahre                       53,0            53,5             53,1            53,2               x             x              x             x
         Ausländer                                               21,8            22,3             20,5            20,0               x             x              x             x
         Deutsche                                                38,5            39,3             36,6            35,9               x             x              x             x
         schwerbehinderte Menschen                               43,9            44,4             44,3            44,5               x             x              x             x
anteilige Arbeitslosenquoten
     - alle zivilen Erwerbspersonen insgesamt                     2,3             2,4              2,1             2,0             2,9             -            2,9           2,5
     - abhängige zivile Erwerbspersonen insgesamt                 2,6             2,7              2,3             2,2             3,3             -            3,3           2,8
SGB II
Arbeitslose
 - Bestand                                                1.450.660        1.455.557     1.376.591          1.365.887      -43.196              -2,9        -2,4           -3,4
   dar.: 53,5% Männer                                       775.513          776.141       726.561            715.700      -29.666              -3,7        -2,9           -4,0
           46,5% Frauen                                     675.147          679.416       650.030            650.187      -13.530              -2,0        -1,7           -2,7
            7,5% 15 bis unter 25 Jahre                      108.652          107.181        99.744             99.304       -9.371              -7,9        -7,9           -9,9
            1,6% dar.: 15 bis unter 20 Jahre                 23.646           23.837        22.958             23.153       -2.594              -9,9       -11,0          -13,6
           25,4% 50 Jahre bis unter 65 Jahre                368.247          370.266       344.690            339.112       19.036               5,5         5,7            2,9
           12,5% dar.: 55 Jahre bis unter 65 Jahre          180.809          181.483       167.756            164.329       14.704               8,9         8,8            5,4
           23,1% Ausländer                                  335.436          337.642       321.506            320.396      -10.924              -3,2        -2,6           -3,1
           76,7% Deutsche                                 1.112.268        1.114.870     1.052.158          1.042.475      -31.505              -2,8        -2,3           -3,4
            5,4% schwerbehinderte Menschen1)                 77.660           77.887        72.938             71.763        6.242               8,7         8,8            6,1
    Anteil an SGB III und SGB II
 - Bestand                                                       64,7            64,0             66,6            67,3               x             x              x             x
   dar.: Männer                                                  63,0            62,1             65,9            67,3               x             x              x             x
           Frauen                                                66,8            66,3             67,4            67,3               x             x              x             x
          15 bis unter 25 Jahre                                  50,5            51,5             55,2            55,6               x             x              x             x
          dar.: 15 bis unter 20 Jahre                            64,4            66,5             68,4            68,5               x             x              x             x
          50 Jahre bis unter 65 Jahre                            55,8            55,1             56,2            56,5               x             x              x             x
          dar.: 55 Jahre bis unter 65 Jahre                      47,0            46,5             46,9            46,8               x             x              x             x
          Ausländer                                              78,2            77,7             79,5            80,0               x             x              x             x
          Deutsche                                               61,5            60,7             63,4            64,1               x             x              x             x
          schwerbehinderte Menschen                              56,1            55,6             55,7            55,5               x             x              x             x
anteilige Arbeitslosenquoten
  - alle zivilen Erwerbspersonen insgesamt                        4,3             4,3              4,1             4,1             4,4             -            4,4           4,2
  - abhängige zivile Erwerbspersonen insgesamt                    4,8             4,8              4,6             4,5             5,0             -            5,0           4,8
Datenstand: Februar 2011                                                                                                                 © Statistik der Bundesagentur für Arbeit
Quelle: Statistik der Bundesagentur für Arbeit
1)
     Ab Januar 2010 werden die bei den Agenturen für Arbeit und ARGEn erfassten Personen, denen eine Gleichstellung zugesichert wurde, nicht mehr zu den
      Schwerbehinderten gezählt. Vorjahresvergleiche sind somit nur eingeschränkt möglich.
                                                                                                                                                                              58
Tabellenanhang
                                                                                                                         zum Monatsbericht Februar 2011

5.6 Arbeitslose nach Rechtskreisen - Eckwerte -
Ostdeutschland
Februar 2011

                                                                                                  Arbeitslose nach Rechtskreisen
                                                                    2011                            2010                  Veränderung gegenüber Vorjahresmonat
                          Merkmal                                                                                            (Arbeitslosenquote Vorjahreswerte)
                                                          Februar          Januar       Dezember           November           Februar             Januar    Dezember
                                                                                                                         absolut        in %       in %         in %
                                                             1               2                3               4             5               6              7             8
SGB III und SGB II
Arbeitslose
 - Bestand                                                1.075.562        1.075.527         947.799         901.645       -86.046            -7,4          -6,3           -7,7
   dar.: 56,4%      Männer                                  606.999          606.593         516.492         478.486       -60.980            -9,1          -7,1           -8,5
         43,6%      Frauen                                  468.563          468.934         431.307         423.159       -25.066            -5,1          -5,3           -6,8
          9,3%     15 bis unter 25 Jahre                     99.904           97.281          85.108          83.809       -18.986           -16,0         -14,5          -16,6
          1,1%     dar.: 15 bis unter 20 Jahre               12.292           11.918          11.347          11.546        -3.247           -20,9         -20,5          -23,1
         32,6%     50 Jahre bis unter 65 Jahre              350.482          350.552         308.931         290.304         1.402             0,4           1,1           -0,9
         18,7%     dar.: 55 Jahre bis unter 65 Jahre        200.907          200.757         178.456         168.230         6.613             3,4           4,2            2,6
          7,0%     Ausländer                                 74.888           75.197          69.790          67.838        -1.191            -1,6          -1,7           -2,3
         93,0%     Deutsche                                 999.816          999.464         877.237         833.022       -83.630            -7,7          -6,5           -8,1
          4,6%schwerbehinderte Menschen1)                    49.678           49.297          45.693          44.368         1.565             3,3           2,5            1,5
Arbeitslosenquote bezogen auf
     - alle zivilen Erwerbspersonen insgesamt                    12,7            12,7             11,2            10,7          13,7               -           13,5          12,1
             Männer                                              13,7            13,7             11,7            10,8          15,0               -           14,7          12,7
             Frauen                                              11,7            11,7             10,8            10,6          12,3               -           12,3          11,5
             15 bis unter 25 Jahre                               11,0            10,7              9,4             9,2          12,5               -           12,0          10,8
             15 bis unter 20 Jahre                                5,6             5,4              5,2             5,3           6,2               -            6,0           5,9
             50 Jahre bis unter 65 Jahre                         14,6            14,6             12,9            12,1          15,1               -           15,0          13,4
             55 Jahre bis unter 65 Jahre                         15,4            15,3             13,6            12,9          15,8               -           15,7          14,2
             Ausländer                                           24,8            24,9             23,1            22,5          26,3               -           26,5          24,7
             Deutsche                                            12,3            12,3             10,8            10,2          13,2               -           13,1          11,7
     - abhängige zivile Erwerbspersonen insgesamt                14,2            14,2             12,5            11,9          15,3               -           15,1          13,5
SGB III
Arbeitslose
 - Bestand                                                  317.694         327.968          258.251         239.967       -54.719           -14,7          -9,8          -10,2
   dar.: 58,0% Männer                                       184.109         190.636          135.253         116.597       -41.895           -18,5         -12,2          -13,7
         42,0% Frauen                                       133.585         137.332          122.998         123.370       -12.824            -8,8          -6,3           -5,9
         11,8% 15 bis unter 25 Jahre                         37.435          36.727           29.206          29.085       -11.137           -22,9         -18,6          -22,2
           0,9% dar.: 15 bis unter 20 Jahre                   2.838           2.730            2.575           2.688        -1.971           -41,0         -36,8          -38,1
         43,3% 50 Jahre bis unter 65 Jahre                  137.523         140.846          119.167         112.668        -8.247            -5,7          -1,5            0,4
         30,1% dar.: 55 Jahre bis unter 65 Jahre             95.696          97.492           85.494          82.125          -554            -0,6           3,4            5,7
           2,7% Ausländer                                     8.626           8.948            7.759           7.563          -582            -6,3          -3,2           -5,2
         97,3% Deutsche                                     308.968         318.910          250.417         232.321       -54.097           -14,9         -10,0          -10,3
           5,3% schwerbehinderte Menschen1)                  16.902          17.112           15.838          15.711           -43            -0,3           1,0            3,6
Anteil an SGB III und SGB II
 - Bestand                                                       29,5            30,5             27,2            26,6               x            x               x             x
   dar.: Männer                                                  30,3            31,4             26,2            24,4               x            x               x             x
          Frauen                                                 28,5            29,3             28,5            29,2               x            x               x             x
         15 bis unter 25 Jahre                                   37,5            37,8             34,3            34,7               x            x               x             x
         dar.: 15 bis unter 20 Jahre                             23,1            22,9             22,7            23,3               x            x               x             x
         50 Jahre bis unter 65 Jahre                             39,2            40,2             38,6            38,8               x            x               x             x
         dar.: 55 Jahre bis unter 65 Jahre                       47,6            48,6             47,9            48,8               x            x               x             x
         Ausländer                                               11,5            11,9             11,1            11,1               x            x               x             x
         Deutsche                                                30,9            31,9             28,5            27,9               x            x               x             x
         schwerbehinderte Menschen                               34,0            34,7             34,7            35,4               x            x               x             x
anteilige Arbeitslosenquoten
     - alle zivilen Erwerbspersonen insgesamt                     3,8             3,9              3,1             2,8             4,4             -            4,3           3,4
     - abhängige zivile Erwerbspersonen insgesamt                 4,2             4,3              3,4             3,2             4,9             -            4,8           3,8
SGB II
Arbeitslose
 - Bestand                                                  757.868         747.559          689.548         661.678       -31.327            -4,0          -4,7           -6,8
   dar.: 55,8% Männer                                       422.890         415.957          381.239         361.889       -19.085            -4,3          -4,6           -6,5
           44,2% Frauen                                     334.978         331.602          308.309         299.789       -12.242            -3,5          -4,8           -7,2
            8,2% 15 bis unter 25 Jahre                       62.469          60.554           55.902          54.724        -7.849           -11,2         -11,9          -13,4
            1,2% dar.: 15 bis unter 20 Jahre                  9.454           9.188            8.772           8.858        -1.276           -11,9         -13,9          -17,2
           28,1% 50 Jahre bis unter 65 Jahre                212.959         209.706          189.764         177.636         9.649             4,7           2,9           -1,7
           13,9% dar.: 55 Jahre bis unter 65 Jahre          105.211         103.265           92.962          86.105         7.167             7,3           5,0           -0,1
            8,7% Ausländer                                   66.262          66.249           62.031          60.275          -609            -0,9          -1,5           -1,9
           91,2% Deutsche                                   690.848         680.554          626.820         600.701       -29.533            -4,1          -4,8           -7,3
            4,3% schwerbehinderte Menschen1)                 32.776          32.185           29.855          28.657         1.608             5,2           3,3            0,4
    Anteil an SGB III und SGB II
 - Bestand                                                       70,5            69,5             72,8            73,4               x            x               x             x
   dar.: Männer                                                  69,7            68,6             73,8            75,6               x            x               x             x
           Frauen                                                71,5            70,7             71,5            70,8               x            x               x             x
          15 bis unter 25 Jahre                                  62,5            62,2             65,7            65,3               x            x               x             x
          dar.: 15 bis unter 20 Jahre                            76,9            77,1             77,3            76,7               x            x               x             x
          50 Jahre bis unter 65 Jahre                            60,8            59,8             61,4            61,2               x            x               x             x
          dar.: 55 Jahre bis unter 65 Jahre                      52,4            51,4             52,1            51,2               x            x               x             x
          Ausländer                                              88,5            88,1             88,9            88,9               x            x               x             x
          Deutsche                                               69,1            68,1             71,5            72,1               x            x               x             x
          schwerbehinderte Menschen                              66,0            65,3             65,3            64,6               x            x               x             x
anteilige Arbeitslosenquoten
  - alle zivilen Erwerbspersonen insgesamt                        9,0             8,9              8,2             7,8           9,3               -            9,3           8,7
  - abhängige zivile Erwerbspersonen insgesamt                   10,0             9,9              9,1             8,7          10,4               -           10,3           9,8
Datenstand: Februar 2011                                                                                                                 © Statistik der Bundesagentur für Arbeit
Quelle: Statistik der Bundesagentur für Arbeit
1)
     Ab Januar 2010 werden die bei den Agenturen für Arbeit und ARGEn erfassten Personen, denen eine Gleichstellung zugesichert wurde, nicht mehr zu den
      Schwerbehinderten gezählt. Vorjahresvergleiche sind somit nur eingeschränkt möglich.
                                                                                                                                                                              59
Tabellenanhang
                                                                                                     zum Monatsbericht Februar 2011

5.7 Zugang in Arbeitslosigkeit
Deutschland, West- und Ostdeutschland
Februar 2011

                                                                                     Zugang in Arbeitslosigkeit
                                                             im Laufe des Berichtsmonats    seit Jahresbeginn bis Ende des Berichtsmonats

                                                                          Veränderung                                       Veränderung
                Herkunftsstruktur / Status vor Meldung
                                                                           gegenüber                                          gegenüber
                                                            Insgesamt                          2011          2010
                                                                         Vorjahresmonat                                   Vorjahreszeitraum
                                                                        absolut     in %                                   absolut        in %
                                                                1          2         3           4             5               6            7

Deutschland
SGB III und SGB II
Zugang insgesamt                                             703.334     -60.408     -7,9    1.637.993     1.738.092       -100.099         -5,8
    dav. 39,7% Erwerbstätigkeit (ohne Ausbildung)            279.149     -28.169     -9,2      810.081       839.074        -28.993         -3,5
          23,0% Ausbildung und sonstige Maßnahmeteilnahme    162.009     -45.170    -21,8      307.266       394.955        -87.689        -22,2
          32,0% Nichterwerbstätigkeit                        225.237      11.392      5,3      446.196       432.523         13.673          3,2
           5,3% Sonstiges / keine Angabe                      36.939       1.539      4,3       74.450        71.540          2.910          4,1
SGB III
Zugang insgesamt                                             307.894     -82.470    -21,1      795.084       950.137       -155.053        -16,3
    dav. 55,1% Erwerbstätigkeit (ohne Ausbildung)            169.534     -38.843    -18,6      545.113       608.115        -63.002        -10,4
          24,2% Ausbildung und sonstige Maßnahmeteilnahme     74.469     -41.019    -35,5      123.219       206.795        -83.576        -40,4
          19,4% Nichterwerbstätigkeit                         59.772      -2.430     -3,9      119.077       126.418         -7.341         -5,8
           1,3% Sonstiges / keine Angabe                       4.119        -178     -4,1        7.675         8.809         -1.134        -12,9
SGB II
Zugang insgesamt                                             395.440      22.062      5,9      842.909       787.955         54.954          7,0
    dav. 27,7% Erwerbstätigkeit (ohne Ausbildung)            109.615      10.674     10,8      264.968       230.959         34.009         14,7
          22,1% Ausbildung und sonstige Maßnahmeteilnahme     87.540      -4.151     -4,5      184.047       188.160         -4.113         -2,2
          41,8% Nichterwerbstätigkeit                        165.465      13.822      9,1      327.119       306.105         21.014          6,9
           8,3% Sonstiges / keine Angabe                      32.820       1.717      5,5       66.775        62.731          4.044          6,4
Westdeutschland
SGB III und SGB II
Zugang insgesamt                                             493.167     -44.229     -8,2    1.129.049     1.208.239        -79.190         -6,6
    dav. 39,1% Erwerbstätigkeit (ohne Ausbildung)            192.884     -16.910     -8,1      543.661       564.882        -21.221         -3,8
          23,6% Ausbildung und sonstige Maßnahmeteilnahme    116.456     -31.989    -21,5      221.490       281.575        -60.085        -21,3
          32,6% Nichterwerbstätigkeit                        160.970       8.547      5,6      319.813       308.398         11.415          3,7
           4,6% Sonstiges / keine Angabe                      22.857      -3.877    -14,5       44.085        53.384         -9.299        -17,4
SGB III
Zugang insgesamt                                             230.937     -59.723    -20,5      577.115       693.785       -116.670        -16,8
    dav. 54,1% Erwerbstätigkeit (ohne Ausbildung)            124.916     -27.177    -17,9      384.881       433.657        -48.776        -11,2
          24,5% Ausbildung und sonstige Maßnahmeteilnahme     56.655     -30.465    -35,0       94.086       155.847        -61.761        -39,6
          19,9% Nichterwerbstätigkeit                         46.070      -1.894     -3,9       92.004        97.232         -5.228         -5,4
           1,4% Sonstiges / keine Angabe                       3.296        -187     -5,4        6.144         7.049           -905        -12,8
SGB II
Zugang insgesamt                                             262.230      15.494      6,3      551.934       514.454         37.480          7,3
    dav. 25,9% Erwerbstätigkeit (ohne Ausbildung)             67.968      10.267     17,8      158.780       131.225         27.555         21,0
          22,8% Ausbildung und sonstige Maßnahmeteilnahme     59.801      -1.524     -2,5      127.404       125.728          1.676          1,3
          43,8% Nichterwerbstätigkeit                        114.900      10.441     10,0      227.809       211.166         16.643          7,9
           7,5% Sonstiges / keine Angabe                      19.561      -3.690    -15,9       37.941        46.335         -8.394        -18,1
Ostdeutschland
SGB III und SGB II
Zugang insgesamt                                             210.167     -16.179     -7,1      508.944       529.853        -20.909         -3,9
    dav. 41,0% Erwerbstätigkeit (ohne Ausbildung)             86.265     -11.259    -11,5      266.420       274.192         -7.772         -2,8
          21,7% Ausbildung und sonstige Maßnahmeteilnahme     45.553     -13.181    -22,4       85.776       113.380        -27.604        -24,3
          30,6% Nichterwerbstätigkeit                         64.267       2.845      4,6      126.383       124.125          2.258          1,8
           6,7% Sonstiges / keine Angabe                      14.082       5.416     62,5       30.365        18.156         12.209         67,2
SGB III
Zugang insgesamt                                               76.957    -22.747    -22,8      217.969       256.352        -38.383        -15,0
    dav. 58,0% Erwerbstätigkeit (ohne Ausbildung)              44.618    -11.666    -20,7      160.232       174.458        -14.226         -8,2
          23,1% Ausbildung und sonstige Maßnahmeteilnahme      17.814    -10.554    -37,2       29.133        50.948        -21.815        -42,8
          17,8% Nichterwerbstätigkeit                          13.702       -536     -3,8       27.073        29.186         -2.113         -7,2
           1,1% Sonstiges / keine Angabe                          823          9      1,1        1.531         1.760           -229        -13,0
SGB II
Zugang insgesamt                                             133.210       6.568      5,2      290.975       273.501         17.474          6,4
    dav. 31,3% Erwerbstätigkeit (ohne Ausbildung)             41.647         407      1,0      106.188        99.734          6.454          6,5
          20,8% Ausbildung und sonstige Maßnahmeteilnahme     27.739      -2.627     -8,7       56.643        62.432         -5.789         -9,3
          38,0% Nichterwerbstätigkeit                         50.565       3.381      7,2       99.310        94.939          4.371          4,6
          10,0% Sonstiges / keine Angabe                      13.259       5.407     68,9       28.834        16.396         12.438         75,9
Datenstand: Februar 2011                                                                                  © Statistik der Bundesagentur für Arbeit
Quelle: Statistik der Bundesagentur für Arbeit

                                                                                                                               60
Tabellenanhang
                                                                                                                              zum Monatsbericht Februar 2011

                                                                                                                                      1)
5.8 Zugang in Arbeitslosigkeit - aus Erwerbstätigkeit am 1. Arbeitsmarkt - nach Wirtschaftszweigen
Deutschland
Februar 2011

                                                                       Zugang in Arbeitslosigkeit - aus Erwerbstätigkeit am 1. Arbeitsmarkt nach Wirtschaftszweigen
                                                                        im Laufe des Berichtsmonats                 seit Jahresbeginn bis Ende des Berichtsmonats
                                                                                        Veränderung                                                 Veränderung
                           Wirtschaftszweig                                              gegenüber                                                   gegenüber
                                                                   Insgesamt                                       2011           2010
                                                                                      Vorjahresmonat                                             Vorjahreszeitraum
                                                                                   absolut           in %                                      absolut         in %
                                                                       1              2              3             4              5                  6                 7
 Deutschland
Zugang aus Erwerbstätigkeit am 1. Arbeitsmarkt insgesamt              216.412        -30.666             -12,4    651.657        697.861            -46.204                 -6,6
 A               Land- und Forstwirtschaft, Fischerei                   2.497         -1.714             -40,7     12.060         14.100             -2.040                -14,5
 B, D, E         Bergbau, Energie- und Wasser/Entsorgung                2.120           -712             -25,1      7.884          8.612               -728                 -8,5
 C               Verarbeitendes Gewerbe                                23.173         -7.850             -25,3     71.920         87.846            -15.926                -18,1
 F               Baugewerbe                                            25.016         -9.674             -27,9    107.186        116.524             -9.338                 -8,0
 G               Handel; Instandhalt. u. Rep. v. Kfz                   26.408         -2.832              -9,7     72.007         77.905             -5.898                 -7,6
 H               Verkehr und Lagerei                                   13.111         -2.629             -16,7     39.471         43.437             -3.966                 -9,1
 I               Gastgewerbe                                           14.394         -1.032              -6,7     42.220         40.903              1.317                  3,2
 J               Information und Kommunikation                          4.609           -497              -9,7     12.590         14.601             -2.011                -13,8
 K               Finanz- u. Versicherungs-DL                            1.668           -242             -12,7      5.976          6.828               -852                -12,5
 782, 783        Arbeitnehmerüberlassung (ANÜ)                         31.513          3.558              12,7     79.179         74.669              4.510                  6,0
 L, M, N o. ANÜ Wirtschaftsliche Dienstleistung o. ANÜ                 23.960         -3.240             -11,9     71.600         78.369             -6.769                 -8,6
 O, U            Öffentl. Verwaltung                                    3.101         -1.069             -25,6     12.941         12.092                849                  7,0
 P               Erziehung und Unterricht                               4.149           -676             -14,0     11.836         11.976               -140                 -1,2
 Q               Gesundheits- und Sozialwesen                          11.980            905               8,2     32.478         30.252              2.226                  7,4
 R, S, T         Sonst. Dienstleistungen, Private HH                    7.918           -497              -5,9     22.902         22.957                -55                 -0,2
                     Keine Zuordnung möglich                           20.795         -2.465             -10,6     49.407         56.790             -7.383                -13,0
 Westdeutschland
Zugang aus Erwerbstätigkeit am 1. Arbeitsmarkt insgesamt              157.527        -20.098             -11,3    455.442        490.198            -34.756                 -7,1
 A               Land- und Forstwirtschaft, Fischerei                   1.203         -1.146             -48,8      5.885          7.109             -1.224                -17,2
 B, D, E         Bergbau, Energie- und Wasser/Entsorgung                1.452           -434             -23,0      5.104          5.586               -482                 -8,6
 C               Verarbeitendes Gewerbe                                17.691         -6.458             -26,7     54.360         67.906            -13.546                -19,9
 F               Baugewerbe                                            16.697         -5.299             -24,1     67.319         73.619             -6.300                 -8,6
 G               Handel; Instandhalt. u. Rep. v. Kfz                   20.273         -2.344             -10,4     53.811         59.060             -5.249                 -8,9
 H               Verkehr und Lagerei                                    9.536         -1.827             -16,1     27.117         29.838             -2.721                 -9,1
 I               Gastgewerbe                                           10.338           -711              -6,4     29.226         28.555                671                  2,3
 J               Information und Kommunikation                          3.275           -498             -13,2      8.955         10.796             -1.841                -17,1
 K               Finanz- u. Versicherungs-DL                            1.355           -171             -11,2      4.908          5.591               -683                -12,2
 782, 783        Arbeitnehmerüberlassung (ANÜ)                         24.026          3.434              16,7     58.422         54.202              4.220                  7,8
 L, M, N o. ANÜ Wirtschaftsliche Dienstleistung o. ANÜ                 17.283         -1.846              -9,7     50.324         55.050             -4.726                 -8,6
 O, U            Öffentl. Verwaltung                                    2.343           -947             -28,8      9.129          9.081                 48                  0,5
 P               Erziehung und Unterricht                               2.978           -581             -16,3      8.410          8.363                 47                  0,6
 Q               Gesundheits- und Sozialwesen                           8.745            527               6,4     23.725         22.226              1.499                  6,7
 R, S, T         Sonst. Dienstleistungen, Private HH                    5.824           -316              -5,1     16.426         16.569               -143                 -0,9
                     Keine Zuordnung möglich                           14.508         -1.481              -9,3     32.321         36.647             -4.326                -11,8
 Ostdeutschland
Zugang aus Erwerbstätigkeit am 1. Arbeitsmarkt insgesamt               58.885        -10.568             -15,2    196.215        207.663            -11.448                 -5,5
 A               Land- und Forstwirtschaft, Fischerei                   1.294           -568             -30,5      6.175          6.991               -816                -11,7
 B, D, E         Bergbau, Energie- und Wasser/Entsorgung                  668           -278             -29,4      2.780          3.026               -246                 -8,1
 C               Verarbeitendes Gewerbe                                 5.482         -1.392             -20,3     17.560         19.940             -2.380                -11,9
 F               Baugewerbe                                             8.319         -4.375             -34,5     39.867         42.905             -3.038                 -7,1
 G               Handel; Instandhalt. u. Rep. v. Kfz                    6.135           -488              -7,4     18.196         18.845               -649                 -3,4
 H               Verkehr und Lagerei                                    3.575           -802             -18,3     12.354         13.599             -1.245                 -9,2
 I               Gastgewerbe                                            4.056           -321              -7,3     12.994         12.348                646                  5,2
 J               Information und Kommunikation                          1.334              1               0,1      3.635          3.805               -170                 -4,5
 K               Finanz- u. Versicherungs-DL                              313            -71             -18,5      1.068          1.237               -169                -13,7
 782, 783        Arbeitnehmerüberlassung (ANÜ)                          7.487            124               1,7     20.757         20.467                290                  1,4
 L, M, N o. ANÜ Wirtschaftsliche Dienstleistung o. ANÜ                  6.677         -1.394             -17,3     21.276         23.319             -2.043                 -8,8
 O, U            Öffentl. Verwaltung                                      758           -122             -13,9      3.812          3.011                801                 26,6
 P               Erziehung und Unterricht                               1.171            -95              -7,5      3.426          3.613               -187                 -5,2
 Q               Gesundheits- und Sozialwesen                           3.235            378              13,2      8.753          8.026                727                  9,1
 R, S, T         Sonst. Dienstleistungen, Private HH                    2.094           -181              -8,0      6.476          6.388                 88                  1,4
                     Keine Zuordnung möglich                            6.287           -984             -13,5     17.086         20.143             -3.057                -15,2
 Datenstand: Februar 2011                                                                                                              © Statistik der Bundesagentur für Arbeit
 Quelle: Statistik der Bundesagentur für Arbeit
 1)
  Daten aus den IT-Systemen der BA, ohne Daten der zugelassenen kommunalen Träger
 Der erhöhte Anteil an Zugängen, für die keine Zuordnung des Wirtschaftszweiges möglich ist, führt zu einer eingeschränkten
 Aussagekraft aller Wirtschaftszweige.

                                                                                                                                                         61
Tabellenanhang
                                                                                                                                            zum Monatsbericht Februar 2011

5.9 Abgang aus Arbeitslosigkeit
Deutschland, West- und Ostdeutschland
Februar 2011

                                                                                                              Abgang aus Arbeitslosigkeit
                                                                           im Laufe des Berichtsmonats                         seit Jahresbeginn bis Ende des Berichtsmonats
                                                                                          Veränderung                                                              Veränderung
                      Herkunftsstruktur / Status vor Meldung
                                                                                           gegenüber                                                                 gegenüber
                                                                   Insgesamt                                             2011                2010
                                                                                         Vorjahresmonat                                                          Vorjahreszeitraum
                                                                                       absolut           in %                                                  absolut            in %
                                                                       1                  2               3                4                   5                   6                7
Deutschland
SGB III und SGB II
Abgang insgesamt                                                       731.865               -317            0,0         1.328.735           1.359.376             -30.641            -2,3
    dav.   34,4% Erwerbstätigkeit (ohne Ausbildung)                    251.777             17.042            7,3           464.487             448.970              15.517             3,5
           31,8% dar. Beschäftigung                                    232.767             19.617            9,2           419.760             398.387              21.373             5,4
            7,6%       - Vermittlung nach Auswahl u. Vorschlag1)        55.682             -5.173           -8,5            99.483             110.514             -11.031           -10,0
           20,1% Ausbildung und sonstige Maßnahmeteilnahme             146.982            -39.379          -21,1           248.825             320.081             -71.256           -22,3
           37,4% Nichterwerbstätigkeit (ohne Ausbildung)               273.794             14.900            5,8           503.982             489.449              14.533             3,0
            8,1% Sonstige Gründe / keine Angabe                         59.312              7.120           13,6           111.441             100.876              10.565            10,5
SGB III
Abgang insgesamt                                                       322.199            -15.533           -4,6           590.401             633.629             -43.228            -6,8
    dav.   49,2% Erwerbstätigkeit (ohne Ausbildung)                    158.520             16.546           11,7           293.560             274.629              18.931             6,9
           44,5% dar. Beschäftigung                                    143.308             19.218           15,5           256.892             232.393              24.499            10,5
            6,3%       - Vermittlung nach Auswahl u. Vorschlag1)        20.297              5.611           38,2            36.218              26.984               9.234            34,2
           16,6% Ausbildung und sonstige Maßnahmeteilnahme              53.645            -31.379          -36,9            90.043             148.564             -58.521           -39,4
           32,6% Nichterwerbstätigkeit (ohne Ausbildung)               105.059                248            0,2           197.569             199.291              -1.722            -0,9
            1,5% Sonstige Gründe / keine Angabe                          4.975               -948          -16,0             9.229              11.145              -1.916           -17,2
SGB II
Abgang insgesamt                                                       409.666             15.216            3,9           738.334             725.747              12.587             1,7
    dav.   22,8% Erwerbstätigkeit (ohne Ausbildung)                     93.257                496            0,5           170.927             174.341              -3.414            -2,0
           21,8% dar. Beschäftigung                                     89.459                399            0,4           162.868             165.994              -3.126            -1,9
                                                              1)
            8,6%       - Vermittlung nach Auswahl u. Vorschlag          35.385            -10.784          -23,4            63.265              83.530             -20.265           -24,3
           22,8% Ausbildung und sonstige Maßnahmeteilnahme              93.337             -8.000           -7,9           158.782             171.517             -12.735            -7,4
           41,2% Nichterwerbstätigkeit (ohne Ausbildung)               168.735             14.652            9,5           306.413             290.158              16.255             5,6
           13,3% Sonstige Gründe / keine Angabe                         54.337              8.068           17,4           102.212              89.731              12.481            13,9
Westdeutschland
SGB III und SGB II
Abgang insgesamt                                                       523.016              2.077            0,4           949.867             966.463             -16.596            -1,7
    dav.   34,6% Erwerbstätigkeit (ohne Ausbildung)                    180.778             16.303            9,9           334.491             315.026              19.465             6,2
           31,9% dar. Beschäftigung                                    166.709             18.416           12,4           301.549             277.734              23.815             8,6
            7,3%       - Vermittlung nach Auswahl u. Vorschlag1)        38.239                948            2,5            68.242              68.670                -428            -0,6
           20,3% Ausbildung und sonstige Maßnahmeteilnahme             106.108            -28.287          -21,0           179.944             230.612             -50.668           -22,0
           37,6% Nichterwerbstätigkeit (ohne Ausbildung)               196.461             12.681            6,9           361.566             347.411              14.155             4,1
            7,6% Sonstige Gründe / keine Angabe                         39.669              1.380            3,6            73.866              73.414                 452             0,6
SGB III
Abgang insgesamt                                                       241.418            -14.324           -5,6           444.083             479.651             -35.568            -7,4
    dav.   48,6% Erwerbstätigkeit (ohne Ausbildung)                    117.299             10.906           10,3           218.421             205.523              12.898             6,3
           43,8% dar. Beschäftigung                                    105.729             13.079           14,1           190.672             173.466              17.206             9,9
            6,3%       - Vermittlung nach Auswahl u. Vorschlag1)        15.280              4.389           40,3            27.070              19.864               7.206            36,3
           16,6% Ausbildung und sonstige Maßnahmeteilnahme              40.182            -23.859          -37,3            67.826             112.103             -44.277           -39,5
           33,1% Nichterwerbstätigkeit (ohne Ausbildung)                79.897               -773           -1,0           150.372             153.209              -2.837            -1,9
            1,7% Sonstige Gründe / keine Angabe                          4.040               -598          -12,9             7.464               8.816              -1.352           -15,3
SGB II
Abgang insgesamt                                                       281.598            16.401             6,2           505.784             486.812              18.972             3,9
    dav.   22,5% Erwerbstätigkeit (ohne Ausbildung)                     63.479             5.397             9,3           116.070             109.503               6.567             6,0
           21,7% dar. Beschäftigung                                     60.980             5.337             9,6           110.877             104.268               6.609             6,3
            8,2%       - Vermittlung nach Auswahl u. Vorschlag1)        22.959            -3.441           -13,0            41.172              48.806              -7.634           -15,6
           23,4% Ausbildung und sonstige Maßnahmeteilnahme              65.926            -4.428            -6,3           112.118             118.509              -6.391            -5,4
           41,4% Nichterwerbstätigkeit (ohne Ausbildung)               116.564            13.454            13,0           211.194             194.202              16.992             8,7
           12,7% Sonstige Gründe / keine Angabe                         35.629             1.978             5,9            66.402              64.598               1.804             2,8
Ostdeutschland
SGB III und SGB II
Abgang insgesamt                                                       208.849             -2.394           -1,1           378.868             392.913             -14.045            -3,6
    dav.   34,0% Erwerbstätigkeit (ohne Ausbildung)                     70.999                739            1,1           129.996             133.944              -3.948            -2,9
           31,6% dar. Beschäftigung                                     66.058              1.201            1,9           118.211             120.653              -2.442            -2,0
            8,4%       - Vermittlung nach Auswahl u. Vorschlag1)        17.443             -6.121          -26,0            31.241              41.844             -10.603           -25,3
           19,6% Ausbildung und sonstige Maßnahmeteilnahme              40.874            -11.092          -21,3            68.881              89.469             -20.588           -23,0
           37,0% Nichterwerbstätigkeit (ohne Ausbildung)                77.333              2.219            3,0           142.416             142.038                 378             0,3
            9,4% Sonstige Gründe / keine Angabe                         19.643              5.740           41,3            37.575              27.462              10.113            36,8
SGB III
Abgang insgesamt                                                           80.781             -1.209        -1,5           146.318             153.978              -7.660            -5,0
    dav.   51,0% Erwerbstätigkeit (ohne Ausbildung)                        41.221              5.640        15,9            75.139              69.106               6.033             8,7
           46,5% dar. Beschäftigung                                        37.579              6.139        19,5            66.220              58.927               7.293            12,4
            6,2%       - Vermittlung nach Auswahl u. Vorschlag1)            5.017              1.222        32,2             9.148               7.120               2.028            28,5
           16,7% Ausbildung und sonstige Maßnahmeteilnahme                 13.463             -7.520       -35,8            22.217              36.461             -14.244           -39,1
           31,1% Nichterwerbstätigkeit (ohne Ausbildung)                   25.162              1.021         4,2            47.197              46.082               1.115             2,4
            1,2% Sonstige Gründe / keine Angabe                               935               -350       -27,2             1.765               2.329                -564           -24,2
SGB II
Abgang insgesamt                                                       128.068                -1.185        -0,9           232.550             238.935              -6.385            -2,7
    dav.   23,3% Erwerbstätigkeit (ohne Ausbildung)                     29.778                -4.901       -14,1            54.857              64.838              -9.981           -15,4
           22,2% dar. Beschäftigung                                     28.479                -4.938       -14,8            51.991              61.726              -9.735           -15,8
            9,7%       - Vermittlung nach Auswahl u. Vorschlag1)        12.426                -7.343       -37,1            22.093              34.724             -12.631           -36,4
           21,4% Ausbildung und sonstige Maßnahmeteilnahme              27.411                -3.572       -11,5            46.664              53.008              -6.344           -12,0
           40,7% Nichterwerbstätigkeit (ohne Ausbildung)                52.171                 1.198         2,4            95.219              95.956                -737            -0,8
           14,6% Sonstige Gründe / keine Angabe                         18.708                 6.090        48,3            35.810              25.133              10.677            42,5
Datenstand: Februar 2011                                                                                                                            © Statistik der Bundesagentur für Arbeit
Quelle: Statistik der Bundesagentur für Arbeit
1)
     Einschl. PSA, ABM, BSI und Arbeitsgelegenheiten.
                                                                                                                                                                       62
Tabellenanhang
                                                                                                                                        zum Monatsbericht Februar 2011

5.10 Unterbeschäftigung
Deutschland
Februar 2011                                                                                                                                                            Deutschland
                                                                                                 Bestandsdaten
                                                                                                                                     Veränderung gegenüber Vorjahresmonat
                                                                                               vorläufig            endgültig
                       Komponenten der Unterbeschäftigung                         Februar      Januar      Dezember November             Februar                   November
                                                                                   2011         2011         2010     2010         absolut         in %       absolut         in %
                                                                                      1         2         3         4                 5              6           7              8
Arbeitslosigkeit (nach § 16 SGB III)                                              3.317.099 3.349.788 3.015.715 2.931.170          -326.282            -9,0   -284.223            -8,8
+ Personen, die allein wegen §16 Abs. 2 SGB III und
                                                                              271.885   257.596    273.812   288.287                 -62.104         -18,6      -34.614          -10,7
  § 53a Abs. 2 SGB II nicht arbeitslos sind
                                                              1)              182.822   170.830    184.480   197.448                 -91.158         -33,3     -75.527          -27,7
dav.: Aktivierung und berufliche Eingliederung (§ 46 SGB III)
       Eignungsfeststellungs- und Trainingsmaßnahmen (Restabwicklung) 1) 2)       531       594        828       928                  -2.727         -83,7      -4.403          -82,6
       Vorruhestandsähnliche Regelung (Sonderstatus § 53a SGB II) 5) 6)        88.532    86.172     88.504    89.911                  31.781          56,0      45.316          101,6
= Arbeitslosigkeit im weiteren Sinne                                        3.588.984 3.607.384 3.289.527 3.219.457                 -388.386          -9,8    -318.837           -9,0
+ Personen, die nah am Arbeitslosenstatus
                                                                              470.259   496.058    567.016   603.850                -124.669         -21,0      -68.789          -10,2
  nach § 16 Abs. 1 SGB III sind
dar.: Berufliche Weiterbildung 1) 4)                                          205.751   209.651    220.509   222.065                    -318          -0,2     -11.807            -5,0
       Arbeitsgelegenheiten 1)                                                207.610   228.339    286.068   322.629                 -84.528         -28,9     -18.514            -5,4
       Beschäftigungsphase Bürgerarbeit 2)                                        443        74          -         -                     443             x           -               x
       Arbeitsbeschaffungsmaßnahmen 1)                                          1.544     1.621      1.811     2.019                  -2.143         -58,1      -4.073           -66,9
                                 1)                                            22.076    23.502     25.707    27.336                 -20.026         -47,6     -13.868           -33,7
       Beschäftigungszuschuss
       Vorruhestandsähnliche Regelung (§ 428 SGB III) 7)                          200       231        247       292                  -2.104         -91,3      -8.839           -96,8
       Arbeitsunfähigkeit (§ 126 SGB III) 7) 8)                                32.563    32.563     32.563    29.394                 -15.678         -32,5     -11.272           -27,7
= Unterbeschäftigung im engeren Sinne                                       4.059.243 4.103.442 3.856.543 3.823.307                 -513.055         -11,2    -387.626            -9,2
+ Personen in Arbeitsmarktpolitik fern vom
                                                                              228.037   231.324    237.479   241.937                 -16.126          -6,6         -556           -0,2
  Arbeitslosenstatus nach § 16 Abs. 1 SGB III
                            1)                                                131.336   134.542    137.618   141.530                  -8.927          -6,4       6.294             4,7
dar.: Gründungszuschuss
       Einstiegsgeld - Variante: Selbständigkeit 1)                             9.025     9.106      9.505     9.879                  -2.246         -19,9      -1.854           -15,8
       Altersteilzeit 9)                                                       87.676    87.676     90.356    90.528                  -4.953          -5,3      -4.996            -5,2
nachr.: Kurzarbeiter (Beschäftigtenäquivalent) 10) 11) 12)                          ...       ...  119.296    76.575                       x             x    -205.389           -72,8
= Unterbeschäftigung (einschl. Kurzarbeit) 9) 10) 11) 12)                            x         x 4.213.318 4.141.819                       x             x    -593.571           -12,5
= Unterbeschäftigung (ohne Kurzarbeit)                                      4.287.280 4.334.766 4.094.022 4.065.244                 -529.181         -11,0    -388.182            -8,7



                                                                                                                      Bestandsdaten
                                                                                               vorläufig                                endgültig
                   Unterbeschäftigungsquote (ohne Kurzarbeit)                     Februar       Januar    Dezember November Oktober September                 August          Juli
                                                                                   2011          2011       2010     2010      2010       2010                 2010          2010
                                                                                     1             2          3        4         5          6                    7             8
Unterbeschäftigungsquote                                                               10,1          10,2       9,6      9,5        9,6       9,7                  10,0          10,1




                                                                                                                         Bestandsdaten
                                                                                               vorläufig                                     endgültig
               Anteile der Arbeitslosigkeit an der Unterbeschäftigung             Februar       Januar   Dezember November         Oktober September          August          Juli
                                                                                   2011          2011      2010     2010            2010       2010            2010          2010
                                                                                     1             2         3        4               5          6               7             8
Anteil an der Unterbeschäftigung insgesamt                                                 x           x       71,6     70,8            71,0       71,8            73,3          72,6
Anteil an der Unterbeschäftigung ohne Kurzarbeit                                        77,4        77,3       73,7     72,1            72,4       73,3            74,8          74,4
Erstellungsdatum: Februar 2011                                                                                                                 © Statistik der Bundesagentur für Arbeit
Quelle: Statistik der Bundesagentur für Arbeit

Aufgrund von Revisionen kann es zu geringfügigen Abweichungen zu bisher veröffentlichten Daten kommen.
Die erhobenen Daten unterliegen grundsätzlich der Geheimhaltung nach § 16 BStatG. Eine Übermittlung von Einzelangaben ist daher
ausgeschlossen. Aus diesem Grund werden Zahlenwerte kleiner 3 anonymisiert oder zu Gruppen zusammengefasst.

1)
     Die Daten zur Förderung sind am aktuellen Rand untererfasst. Um Vergleichbarkeit zu Vormonats- und Vorjahresergebnissen herzustellen, werden
     Ergebnisse aufgrund von Erfahrungswerten hochgerechnet. Dies gilt jedoch nicht für die Daten der zugelassenen kommunalen Träger (zkT), was ebenso den
     Vorjahresvergleich einschränkt wie die unterschiedliche Vollständigkeit der von den zkT übermittelten Daten. Endgültige Werte zur Förderung stehen erst
     nach einer Wartezeit von drei Monaten fest.
     Auf Grund der Trägergebietsreform in Sachsen und Sachsen-Anhalt zum 1. Januar 2011 ergeben sich Untererfassungen bei einzelnen Jobcentern in kommunaler
2)
     Die Hochrechnung am aktuellen Rand ist derzeit aufgrund fehlender Erfahrungswerte oder technisch nicht realisierbar, darum ist der Vergleich mit
     Vorjahresergebnissen nur eingeschränkt möglich.
3)
     Die Zuweisung der Teilnehmer mit Beginn ab 01.01.2009 erfolgt auf der Grundlage des zum 01.01.2009 eingeführten § 46 SGB III. Wegen der ausschließlichen
     Restabwicklung noch laufender Maßnahmen ist eine Hochrechnung aktueller Ergebnisse auf Basis von Erfahrungswerten methodisch nicht mehr sinnvoll.
4)
   Daten einschließlich Förderung der Teilhabe behinderter Menschen am Arbeitsleben.
5)
   Ohne Daten der zugelassenen kommunalen Träger.
6)
   Erwerbsfähige Hilfebedürftige, die nach Vollendung des 58. Lebensjahres mindestens für die Dauer von zwölf Monaten Leistungen der Grundsicherung für
   Arbeitsuchende bezogen haben, ohne dass ihnen eine sozialversicherungspflichtige Beschäftigung angeboten worden ist, gelten nach Ablauf
   dieses Zeitraums für die Dauer des jeweiligen Leistungsbezugs nicht als arbeitslos.
7)
     Hierbei handelt es sich nur um die Bezieher von Arbeitslosengeld bei Arbeitslosigkeit.
8)
     Daten zur Arbeitsunfähigkeit nach § 126 SGB III liegen mit einer Wartezeit von 2 Monaten vor. Für den aktuellen Berichtsmonat wird der letzte
     verfügbare Wert fortgeschrieben.
9)
     Daten zur geförderten Altersteilzeit liegen mit einem Monat Wartezeit vor. Für den aktuellen Berichtsmonat wird der letzte verfügbare
     Wert fortgeschrieben. Daten liegen nicht auf Kreisebene vor. Deshalb kann Altersteilzeit nicht in die Unterbeschäftigung auf Kreisebene aufgenommen werden.
10)
      Auf Kreisebene kann Kurzarbeit nicht in die Unterbeschäftigung aufgenommen werden, weil Kurzarbeiter nicht dem Wohnort sondern nur dem Arbeitsort zugeordnet
      werden können.
11)
      Ab Januar 2009 werden revidierte Werte auf Basis von Abrechnungslisten berichtet, bis Dezember 2008 erfolgt die Ermittlung der Werte auf Basis
      von Betriebsmeldungen.
12)
      Endgültige Daten zur Kurzarbeit liegen erst mit 5-monatiger Wartezeit vor. Für aktuellere Monate können nur vorläufig hochgerechnete Daten veröffe          63
Tabellenanhang
                                                                                                                                        zum Monatsbericht Februar 2011

5.11 Unterbeschäftigung
Westdeutschland
Februar 2011                                                                                                                                                      Westdeutschland
                                                                                                 Bestandsdaten
                                                                                                                                     Veränderung gegenüber Vorjahresmonat
                                                                                               vorläufig            endgültig
                       Komponenten der Unterbeschäftigung                         Februar      Januar      Dezember November             Februar                   November
                                                                                   2011         2011         2010     2010         absolut         in %       absolut         in %
                                                                                      1         2         3         4                 5              6           7              8
Arbeitslosigkeit (nach § 16 SGB III)                                              2.241.537 2.274.261 2.067.916 2.029.525          -240.236            -9,7   -186.140            -8,4
+ Personen, die allein wegen §16 Abs. 2 SGB III und
                                                                              196.612   185.321    198.326   210.105                 -56.097         -22,2      -32.996          -13,6
  § 53a Abs. 2 SGB II nicht arbeitslos sind
                                                              1)              136.825   127.193    139.809   150.954                 -75.785         -35,6     -57.476           -27,6
dav.: Aktivierung und berufliche Eingliederung (§ 46 SGB III)
       Eignungsfeststellungs- und Trainingsmaßnahmen (Restabwicklung) 1) 2)       461       517        686       767                  -2.128         -82,2      -3.830           -83,3
       Vorruhestandsähnliche Regelung (Sonderstatus § 53a SGB II) 5) 6)        59.326    57.611     57.831    58.384                  21.816          58,2      28.310            94,1
= Arbeitslosigkeit im weiteren Sinne                                        2.438.149 2.459.582 2.266.242 2.239.630                 -296.333         -10,8    -219.136            -8,9
+ Personen, die nah am Arbeitslosenstatus
                                                                              302.811   311.832    348.798   355.533                 -60.354         -16,6      -37.781           -9,6
  nach § 16 Abs. 1 SGB III sind
dar.: Berufliche Weiterbildung 1) 4)                                          143.760   145.749    153.782   154.624                   6.193           4,5      -3.100            -2,0
       Arbeitsgelegenheiten 1)                                                118.655   124.835    152.023   159.053                 -40.819         -25,6     -10.039            -5,9
       Beschäftigungsphase Bürgerarbeit 2)                                        185        37          -         -                     185             x           -               x
       Arbeitsbeschaffungsmaßnahmen 1)                                            761       766        855       943                    -640         -45,7      -1.175           -55,5
                                 1)                                            14.681    15.650     17.313    18.386                 -12.375         -45,7      -8.096           -30,6
       Beschäftigungszuschuss
       Vorruhestandsähnliche Regelung (§ 428 SGB III) 7)                          136       158        170       194                  -1.384         -91,1      -6.215           -97,0
       Arbeitsunfähigkeit (§ 126 SGB III) 7) 8)                                24.614    24.614     24.614    22.304                 -11.273         -31,4      -8.808           -28,3
= Unterbeschäftigung im engeren Sinne                                       2.740.960 2.771.414 2.615.040 2.595.163                 -356.687         -11,5    -256.917            -9,0
+ Personen in Arbeitsmarktpolitik fern vom
                                                                              179.686   182.293    187.304   190.773                 -11.938          -6,2        1.258            0,7
  Arbeitslosenstatus nach § 16 Abs. 1 SGB III
                            1)                                                102.079   104.604    107.109   110.199                  -6.635          -6,1       6.387             6,2
dar.: Gründungszuschuss
       Einstiegsgeld - Variante: Selbständigkeit 1)                             4.752     4.834      5.096     5.308                  -1.182         -19,9        -774           -12,7
       Altersteilzeit 9)                                                       72.855    72.855     75.099    75.266                  -4.121          -5,4      -4.355            -5,5
nachr.: Kurzarbeiter (Beschäftigtenäquivalent) 10) 11) 12)                          ...       ...   91.708    61.557                       x             x    -180.967           -74,6
= Unterbeschäftigung (einschl. Kurzarbeit) 9) 10) 11) 12)                            x         x 2.894.052 2.847.493                       x             x    -436.626           -13,3
= Unterbeschäftigung (ohne Kurzarbeit)                                      2.920.646 2.953.707 2.802.344 2.785.936                 -368.625         -11,2    -255.659            -8,4



                                                                                                                      Bestandsdaten
                                                                                               vorläufig                                endgültig
                   Unterbeschäftigungsquote (ohne Kurzarbeit)                     Februar       Januar    Dezember November Oktober September                 August          Juli
                                                                                   2011          2011       2010     2010      2010       2010                 2010          2010
                                                                                     1             2          3        4         5          6                    7             8
Unterbeschäftigungsquote                                                               8,6            8,7       8,2      8,2        8,2       8,3                  8,6             8,7




                                                                                                                         Bestandsdaten
                                                                                               vorläufig                                     endgültig
               Anteile der Arbeitslosigkeit an der Unterbeschäftigung             Februar       Januar   Dezember November         Oktober September          August          Juli
                                                                                   2011          2011      2010     2010            2010       2010            2010          2010
                                                                                     1             2         3        4               5          6               7             8
Anteil an der Unterbeschäftigung insgesamt                                                 x           x       71,5     71,3            71,5       72,5            74,0          72,8
Anteil an der Unterbeschäftigung ohne Kurzarbeit                                        76,7        77,0       73,8     72,8            73,2       74,2            75,7          75,0
Erstellungsdatum: Februar 2011                                                                                                                 © Statistik der Bundesagentur für Arbeit
Quelle: Statistik der Bundesagentur für Arbeit

Aufgrund von Revisionen kann es zu geringfügigen Abweichungen zu bisher veröffentlichten Daten kommen.
Die erhobenen Daten unterliegen grundsätzlich der Geheimhaltung nach § 16 BStatG. Eine Übermittlung von Einzelangaben ist daher
ausgeschlossen. Aus diesem Grund werden Zahlenwerte kleiner 3 anonymisiert oder zu Gruppen zusammengefasst.

1)
     Die Daten zur Förderung sind am aktuellen Rand untererfasst. Um Vergleichbarkeit zu Vormonats- und Vorjahresergebnissen herzustellen, werden
     Ergebnisse aufgrund von Erfahrungswerten hochgerechnet. Dies gilt jedoch nicht für die Daten der zugelassenen kommunalen Träger (zkT), was ebenso den
     Vorjahresvergleich einschränkt wie die unterschiedliche Vollständigkeit der von den zkT übermittelten Daten. Endgültige Werte zur Förderung stehen erst
     nach einer Wartezeit von drei Monaten fest.
     Auf Grund der Trägergebietsreform in Sachsen und Sachsen-Anhalt zum 1. Januar 2011 ergeben sich Untererfassungen bei einzelnen Jobcentern in kommunaler
2)
     Die Hochrechnung am aktuellen Rand ist derzeit aufgrund fehlender Erfahrungswerte oder technisch nicht realisierbar, darum ist der Vergleich mit
     Vorjahresergebnissen nur eingeschränkt möglich.
3)
     Die Zuweisung der Teilnehmer mit Beginn ab 01.01.2009 erfolgt auf der Grundlage des zum 01.01.2009 eingeführten § 46 SGB III. Wegen der ausschließlichen
     Restabwicklung noch laufender Maßnahmen ist eine Hochrechnung aktueller Ergebnisse auf Basis von Erfahrungswerten methodisch nicht mehr sinnvoll.
4)
   Daten einschließlich Förderung der Teilhabe behinderter Menschen am Arbeitsleben.
5)
   Ohne Daten der zugelassenen kommunalen Träger.
6)
   Erwerbsfähige Hilfebedürftige, die nach Vollendung des 58. Lebensjahres mindestens für die Dauer von zwölf Monaten Leistungen der Grundsicherung für
   Arbeitsuchende bezogen haben, ohne dass ihnen eine sozialversicherungspflichtige Beschäftigung angeboten worden ist, gelten nach Ablauf
   dieses Zeitraums für die Dauer des jeweiligen Leistungsbezugs nicht als arbeitslos.
7)
     Hierbei handelt es sich nur um die Bezieher von Arbeitslosengeld bei Arbeitslosigkeit.
8)
     Daten zur Arbeitsunfähigkeit nach § 126 SGB III liegen mit einer Wartezeit von 2 Monaten vor. Für den aktuellen Berichtsmonat wird der letzte
     verfügbare Wert fortgeschrieben.
9)
     Daten zur geförderten Altersteilzeit liegen mit einem Monat Wartezeit vor. Für den aktuellen Berichtsmonat wird der letzte verfügbare
     Wert fortgeschrieben. Daten liegen nicht auf Kreisebene vor. Deshalb kann Altersteilzeit nicht in die Unterbeschäftigung auf Kreisebene aufgenommen werden.
10)
      Auf Kreisebene kann Kurzarbeit nicht in die Unterbeschäftigung aufgenommen werden, weil Kurzarbeiter nicht dem Wohnort sondern nur dem Arbeitsort zugeordnet
      werden können.
11)
      Ab Januar 2009 werden revidierte Werte auf Basis von Abrechnungslisten berichtet, bis Dezember 2008 erfolgt die Ermittlung der Werte auf Basis
      von Betriebsmeldungen.
12)
      Endgültige Daten zur Kurzarbeit liegen erst mit 5-monatiger Wartezeit vor. Für aktuellere Monate können nur vorläufig hochgerechnete Daten veröffe          64
Tabellenanhang
                                                                                                                                        zum Monatsbericht Februar 2011

5.12 Unterbeschäftigung
Ostdeutschland
Februar 2011                                                                                                                                                        Ostdeutschland
                                                                                                 Bestandsdaten
                                                                                                                                     Veränderung gegenüber Vorjahresmonat
                                                                                               vorläufig            endgültig
                       Komponenten der Unterbeschäftigung                         Februar      Januar      Dezember November             Februar                   November
                                                                                   2011         2011         2010     2010         absolut         in %       absolut         in %
                                                                                      1         2              3          4           5              6           7              8
Arbeitslosigkeit (nach § 16 SGB III)                                              1.075.562 1.075.527        947.799    901.645     -86.046            -7,4    -98.083            -9,8
+ Personen, die allein wegen §16 Abs. 2 SGB III und
                                                                               75.262    72.264     75.477    78.176                  -6.018          -7,4       -1.624           -2,0
  § 53a Abs. 2 SGB II nicht arbeitslos sind
                                                              1)               45.986    43.626     44.662    46.488                 -15.384         -25,1      -18.057         -28,0
dav.: Aktivierung und berufliche Eingliederung (§ 46 SGB III)
       Eignungsfeststellungs- und Trainingsmaßnahmen (Restabwicklung) 1) 2)        70        77        142       161                    -599         -89,5         -573         -78,1
       Vorruhestandsähnliche Regelung (Sonderstatus § 53a SGB II) 5) 6)        29.206    28.561     30.673    31.527                   9.965          51,8       17.006         117,1
= Arbeitslosigkeit im weiteren Sinne                                        1.150.824 1.147.791 1.023.276    979.821                 -92.064          -7,4      -99.707          -9,2
+ Personen, die nah am Arbeitslosenstatus
                                                                              167.444   184.221    218.213   248.311                 -64.314         -27,8      -31.009          -11,1
  nach § 16 Abs. 1 SGB III sind
dar.: Berufliche Weiterbildung 1) 4)                                           61.991    63.901     66.726    67.440                  -6.511          -9,5      -8.708           -11,4
       Arbeitsgelegenheiten 1)                                                 88.955   103.504    134.045   163.576                 -43.709         -32,9      -8.475            -4,9
       Beschäftigungsphase Bürgerarbeit 2)                                        258        37          -         -                     258             x           -               x
       Arbeitsbeschaffungsmaßnahmen 1)                                            783       855        956     1.076                  -1.503         -65,7      -2.898           -72,9
                                 1)                                             7.395     7.852      8.394     8.950                  -7.651         -50,9      -5.772           -39,2
       Beschäftigungszuschuss
       Vorruhestandsähnliche Regelung (§ 428 SGB III) 7)                           64        73         77        98                    -720         -91,8      -2.622           -96,4
       Arbeitsunfähigkeit (§ 126 SGB III) 7) 8)                                 7.945     7.945      7.945     7.085                  -4.404         -35,7      -2.466           -25,8
= Unterbeschäftigung im engeren Sinne                                       1.318.268 1.332.012 1.241.489 1.228.132                 -156.378         -10,6    -130.716            -9,6
+ Personen in Arbeitsmarktpolitik fern vom
                                                                               48.331    49.013     50.151    51.135                  -4.208          -8,0       -1.843           -3,5
  Arbeitslosenstatus nach § 16 Abs. 1 SGB III
                            1)                                                 29.234    29.915     30.483    31.302                  -2.315          -7,3        -122            -0,4
dar.: Gründungszuschuss
       Einstiegsgeld - Variante: Selbständigkeit 1)                             4.276     4.277      4.411     4.571                  -1.061         -19,9      -1.080           -19,1
       Altersteilzeit 9)                                                       14.821    14.821     15.257    15.262                    -832          -5,3        -641            -4,0
nachr.: Kurzarbeiter (Beschäftigtenäquivalent) 10) 11) 12)                          ...       ...   27.423    14.941                       x             x     -23.742           -61,4
= Unterbeschäftigung (einschl. Kurzarbeit) 9) 10) 11) 12)                            x         x 1.319.063 1.294.208                       x             x    -156.301           -10,8
= Unterbeschäftigung (ohne Kurzarbeit)                                      1.366.599 1.381.025 1.291.640 1.279.267                 -160.586         -10,5    -132.559            -9,4



                                                                                                                      Bestandsdaten
                                                                                               vorläufig                                endgültig
                   Unterbeschäftigungsquote (ohne Kurzarbeit)                     Februar       Januar    Dezember November Oktober September                 August          Juli
                                                                                   2011          2011       2010     2010      2010       2010                 2010          2010
                                                                                     1             2          3        4         5          6                    7             8
Unterbeschäftigungsquote                                                               16,0          16,1       15,1     14,9      14,9       15,2                 15,6          15,7




                                                                                                                         Bestandsdaten
                                                                                               vorläufig                                     endgültig
               Anteile der Arbeitslosigkeit an der Unterbeschäftigung             Februar       Januar   Dezember November         Oktober September          August          Juli
                                                                                   2011          2011      2010     2010            2010       2010            2010          2010
                                                                                     1             2         3        4               5          6               7             8
Anteil an der Unterbeschäftigung insgesamt                                                 x           x       71,9     69,7            69,7       70,4            71,8          72,0
Anteil an der Unterbeschäftigung ohne Kurzarbeit                                        78,7        77,9       73,4     70,5            70,5       71,3            72,7          73,0
Erstellungsdatum: Februar 2011                                                                                                                 © Statistik der Bundesagentur für Arbeit
Quelle: Statistik der Bundesagentur für Arbeit

Aufgrund von Revisionen kann es zu geringfügigen Abweichungen zu bisher veröffentlichten Daten kommen.
Die erhobenen Daten unterliegen grundsätzlich der Geheimhaltung nach § 16 BStatG. Eine Übermittlung von Einzelangaben ist daher
ausgeschlossen. Aus diesem Grund werden Zahlenwerte kleiner 3 anonymisiert oder zu Gruppen zusammengefasst.

1)
     Die Daten zur Förderung sind am aktuellen Rand untererfasst. Um Vergleichbarkeit zu Vormonats- und Vorjahresergebnissen herzustellen, werden
     Ergebnisse aufgrund von Erfahrungswerten hochgerechnet. Dies gilt jedoch nicht für die Daten der zugelassenen kommunalen Träger (zkT), was ebenso den
     Vorjahresvergleich einschränkt wie die unterschiedliche Vollständigkeit der von den zkT übermittelten Daten. Endgültige Werte zur Förderung stehen erst
     nach einer Wartezeit von drei Monaten fest.
     Auf Grund der Trägergebietsreform in Sachsen und Sachsen-Anhalt zum 1. Januar 2011 ergeben sich Untererfassungen bei einzelnen Jobcentern in kommunaler
2)
     Die Hochrechnung am aktuellen Rand ist derzeit aufgrund fehlender Erfahrungswerte oder technisch nicht realisierbar, darum ist der Vergleich mit
     Vorjahresergebnissen nur eingeschränkt möglich.
3)
     Die Zuweisung der Teilnehmer mit Beginn ab 01.01.2009 erfolgt auf der Grundlage des zum 01.01.2009 eingeführten § 46 SGB III. Wegen der ausschließlichen
     Restabwicklung noch laufender Maßnahmen ist eine Hochrechnung aktueller Ergebnisse auf Basis von Erfahrungswerten methodisch nicht mehr sinnvoll.
4)
   Daten einschließlich Förderung der Teilhabe behinderter Menschen am Arbeitsleben.
5)
   Ohne Daten der zugelassenen kommunalen Träger.
6)
   Erwerbsfähige Hilfebedürftige, die nach Vollendung des 58. Lebensjahres mindestens für die Dauer von zwölf Monaten Leistungen der Grundsicherung für
   Arbeitsuchende bezogen haben, ohne dass ihnen eine sozialversicherungspflichtige Beschäftigung angeboten worden ist, gelten nach Ablauf
   dieses Zeitraums für die Dauer des jeweiligen Leistungsbezugs nicht als arbeitslos.
7)
     Hierbei handelt es sich nur um die Bezieher von Arbeitslosengeld bei Arbeitslosigkeit.
8)
     Daten zur Arbeitsunfähigkeit nach § 126 SGB III liegen mit einer Wartezeit von 2 Monaten vor. Für den aktuellen Berichtsmonat wird der letzte
     verfügbare Wert fortgeschrieben.
9)
     Daten zur geförderten Altersteilzeit liegen mit einem Monat Wartezeit vor. Für den aktuellen Berichtsmonat wird der letzte verfügbare
     Wert fortgeschrieben. Daten liegen nicht auf Kreisebene vor. Deshalb kann Altersteilzeit nicht in die Unterbeschäftigung auf Kreisebene aufgenommen werden.
10)
      Auf Kreisebene kann Kurzarbeit nicht in die Unterbeschäftigung aufgenommen werden, weil Kurzarbeiter nicht dem Wohnort sondern nur dem Arbeitsort zugeordnet
      werden können.
11)
      Ab Januar 2009 werden revidierte Werte auf Basis von Abrechnungslisten berichtet, bis Dezember 2008 erfolgt die Ermittlung der Werte auf Basis
      von Betriebsmeldungen.
12)
      Endgültige Daten zur Kurzarbeit liegen erst mit 5-monatiger Wartezeit vor. Für aktuellere Monate können nur vorläufig hochgerechnete Daten veröffe          65
Tabellenanhang
                                                                                                                zum Monatsbericht Februar 2011

5.13 Unterbeschäftigung - Zeitreihe -
Deutschland
Februar 2011

                                    Arbeitslosigkeit                                           Unterbeschäftigung
                                    registriert nach        Arbeitslosigkeit      Unterbeschäftigung im   Unterbeschäftigung       Unterbeschäftigung mit
         Jahr / Monat
                                     § 16 SGB III          im weiteren Sinne         engeren Sinne          ohne Kurzarbeit              Kurzarbeit
                                           1                        2                        3                        4                       5
                                                                    Ursprungswerte
2007 Jahresdurchschnitt                     3.776.509               3.853.608                 4.621.147               4.962.661                4.998.704
2008 Jahresdurchschnitt                     3.267.907               3.348.630                 4.043.386               4.324.367                4.370.163
2009 Jahresdurchschnitt                     3.423.283               3.621.311                 4.273.688               4.513.799                4.834.736
2010 Jahresdurchschnitt 1)                  3.244.470               3.542.580                 4.131.702               4.377.329                4.546.158

2009 Januar                                 3.488.801                3.567.237                4.205.778               4.452.804                4.618.303
     Februar                                3.551.911                3.653.978                4.301.453               4.546.191                4.879.447
     März                                   3.585.784                3.699.518                4.343.801               4.587.168                4.984.384
     April                                  3.584.798                3.689.728                4.332.071               4.574.216                4.981.274
     Mai                                    3.458.104                3.605.094                4.270.056               4.510.346                4.904.883
     Juni                                   3.410.036                3.584.015                4.249.050               4.485.878                4.853.474
     Juli                                   3.462.446                3.664.283                4.313.294               4.544.692                4.891.804
     August                                 3.471.513                3.700.514                4.332.976               4.566.267                4.848.354
     September                              3.346.459                3.618.563                4.272.340               4.509.252                4.814.740
     Oktober                                3.228.625                3.531.227                4.203.410               4.443.474                4.762.578
     November                               3.215.393                3.538.294                4.210.933               4.453.426                4.735.389
     Dezember                               3.275.526                3.603.277                4.249.098               4.491.878                4.742.205
2010 Januar                                 3.617.485                3.928.115                4.517.663               4.759.587                5.113.885
     Februar                                3.643.381                3.977.370                4.572.298               4.816.461                5.181.491
     März                                   3.567.944                3.906.969                4.502.350               4.750.096                5.030.097
     April                                  3.406.344                3.734.335                4.327.410               4.577.577                4.770.266
     Mai                                    3.241.529                3.558.241                4.154.239               4.405.945                4.556.873
     Juni                                   3.153.300                3.452.666                4.045.781               4.296.127                4.429.924
     Juli                                   3.191.800                3.468.968                4.043.770               4.290.877                4.397.467
     August                                 3.188.122                3.452.474                4.018.903               4.264.540                4.348.341
     September                              3.031.354                3.301.364                3.890.938               4.136.599                4.219.179
     Oktober                                2.945.491                3.221.468                3.827.218               4.070.869                4.151.235
     November                               2.931.170                3.219.457                3.823.307               4.065.244                4.141.819
                1)
     Dezember                               3.015.715                3.289.527                3.856.543               4.094.022                4.213.318
           1)
2011 Januar                                 3.349.788                3.607.384                4.103.442               4.334.766                        …
             1)
     Februar                                3.317.099                3.588.984                4.059.243               4.287.280                        …
     März
     April
     Mai
     Juni
     Juli
     August
     September
     Oktober
     November
     Dezember
                                                                 saisonbereinigte Werte
 2009 Januar                                3.270.000                3.374.000                  4.036.000              4.289.000               4.444.000
        Februar                             3.309.000                3.419.000                  4.081.000              4.332.000               4.583.000
        März                                3.382.000                3.494.000                  4.153.000              4.399.000               4.713.000
        April                               3.464.000                3.568.000                  4.222.000              4.465.000               4.843.000
        Mai                                 3.471.000                3.612.000                  4.276.000              4.516.000               4.887.000
        Juni                                3.493.000                3.668.000                  4.329.000              4.564.000               4.926.000
        Juli                                3.485.000                3.699.000                  4.357.000              4.588.000               4.943.000
        August                              3.479.000                3.725.000                  4.375.000              4.607.000               4.911.000
        September                           3.475.000                3.751.000                  4.399.000              4.632.000               4.981.000
        Oktober                             3.440.000                3.740.000                  4.382.000              4.617.000               4.989.000
        November                            3.433.000                3.747.000                  4.378.000              4.615.000               4.966.000
        Dezember                            3.404.000                3.734.000                  4.355.000              4.596.000               4.909.000
 2010 Januar                                3.388.000                3.708.000                  4.326.000              4.573.000               4.910.000
        Februar                             3.390.000                3.713.000                  4.330.000              4.579.000               4.847.000
        März                                3.355.000                3.681.000                  4.295.000              4.546.000               4.743.000
        April                               3.290.000                3.612.000                  4.219.000              4.470.000               4.636.000
        Mai                                 3.255.000                3.567.000                  4.163.000              4.414.000               4.541.000
        Juni                                3.233.000                3.536.000                  4.124.000              4.374.000               4.499.000
        Juli                                3.214.000                3.503.000                  4.087.000              4.336.000               4.449.000
        August                              3.197.000                3.477.000                  4.061.000              4.306.000               4.413.000
        September                           3.159.000                3.428.000                  4.012.000              4.256.000               4.373.000
        Oktober                             3.155.000                3.420.000                  3.995.000              4.235.000               4.357.000
        November                            3.144.000                3.414.000                  3.977.000              4.215.000               4.351.000
                   1)
        Dezember                            3.139.000                3.407.000                  3.950.000              4.187.000               4.366.000
               1)
 2011 Januar                                3.121.000                3.396.000                  3.919.000              4.154.000                         …
                1)
        Februar                             3.069.000                3.345.000                  3.841.000              4.072.000                         …
        März
        April
        Mai
        Juni
        Juli
        August
        September
        Oktober
        November
        Dezember
Datenstand: Februar 2011                                                                                           © Statistik der Bundesagentur für Arbeit
1)
   vorläufige Daten für Spalte 2 bis 4
Quelle: Statistik der Bundesagentur für Arbeit, saisonbereinigte Werte: Institut für Arbeitsmarkt- und Berufsforschung
                                                                                                                                                       66
Tabellenanhang
                                                                                                                zum Monatsbericht Februar 2011

5.14 Unterbeschäftigung - Zeitreihe -
Westdeutschland
Februar 2011

                                    Arbeitslosigkeit                                           Unterbeschäftigung
                                    registriert nach        Arbeitslosigkeit      Unterbeschäftigung im   Unterbeschäftigung       Unterbeschäftigung mit
         Jahr / Monat
                                     § 16 SGB III          im weiteren Sinne         engeren Sinne          ohne Kurzarbeit              Kurzarbeit
                                           1                        2                        3                        4                       5
                                                                    Ursprungswerte
2007 Jahresdurchschnitt                     2.485.871               2.540.302                 3.008.010               3.249.029                3.276.531
2008 Jahresdurchschnitt                     2.144.651               2.201.095                 2.613.989               2.822.571                2.858.488
2009 Jahresdurchschnitt                     2.320.209               2.467.694                 2.860.230               3.045.400                3.317.859
2010 Jahresdurchschnitt 1)                  2.231.694               2.453.928                 2.804.307               2.997.689                3.132.739

2009 Januar                                 2.306.457                2.362.280                2.749.782               2.936.539                3.065.550
     Februar                                2.347.936                2.423.140                2.824.058               3.009.618                3.283.083
     März                                   2.378.890                2.461.899                2.863.683               3.048.824                3.383.654
     April                                  2.399.548                2.475.967                2.871.999               3.056.992                3.411.557
     Mai                                    2.333.878                2.442.509                2.852.937               3.036.993                3.378.384
     Juni                                   2.318.630                2.448.211                2.852.774               3.035.020                3.348.664
     Juli                                   2.368.217                2.519.057                2.907.887               3.087.798                3.387.230
     August                                 2.389.445                2.559.549                2.931.138               3.112.892                3.349.068
     September                              2.306.730                2.509.297                2.890.632               3.075.336                3.335.146
     Oktober                                2.228.931                2.455.278                2.846.338               3.033.785                3.309.797
     November                               2.215.665                2.458.766                2.852.080               3.041.595                3.284.119
     Dezember                               2.248.181                2.496.374                2.879.448               3.069.413                3.278.060
2010 Januar                                 2.469.537                2.703.779                3.056.937               3.246.358                3.527.829
     Februar                                2.481.773                2.734.482                3.097.647               3.289.271                3.575.285
     März                                   2.427.824                2.683.035                3.047.896               3.242.602                3.462.695
     April                                  2.329.292                2.575.447                2.936.451               3.133.338                3.292.004
     Mai                                    2.224.034                2.462.694                2.823.786               3.021.729                3.145.242
     Juni                                   2.175.640                2.399.868                2.751.482               2.948.351                3.057.946
     Juli                                   2.208.891                2.416.397                2.750.225               2.944.995                3.032.539
     August                                 2.218.670                2.414.511                2.736.679               2.930.541                2.998.148
     September                              2.103.772                2.303.534                2.641.334               2.835.360                2.902.169
     Oktober                                2.043.457                2.247.513                2.599.042               2.791.440                2.857.468
     November                               2.029.525                2.239.630                2.595.163               2.785.936                2.847.493
                1)
     Dezember                               2.067.916                2.266.242                2.615.040               2.802.344                2.894.052
           1)
2011 Januar                                 2.274.261                2.459.582                2.771.414               2.953.707                        …
             1)
     Februar                                2.241.537                2.438.149                2.740.960               2.920.646                        …
     März
     April
     Mai
     Juni
     Juli
     August
     September
     Oktober
     November
     Dezember
                                                                 saisonbereinigte Werte
 2009 Januar                                2.174.000                2.249.000                  2.643.000              2.834.000               2.962.000
        Februar                             2.207.000                2.287.000                  2.683.000              2.873.000               3.088.000
        März                                2.267.000                2.349.000                  2.746.000              2.933.000               3.204.000
        April                               2.336.000                2.410.000                  2.804.000              2.989.000               3.320.000
        Mai                                 2.351.000                2.453.000                  2.856.000              3.040.000               3.362.000
        Juni                                2.370.000                2.500.000                  2.902.000              3.083.000               3.392.000
        Juli                                2.370.000                2.529.000                  2.930.000              3.110.000               3.415.000
        August                              2.376.000                2.559.000                  2.954.000              3.135.000               3.388.000
        September                           2.377.000                2.583.000                  2.975.000              3.157.000               3.452.000
        Oktober                             2.355.000                2.581.000                  2.965.000              3.149.000               3.466.000
        November                            2.349.000                2.588.000                  2.964.000              3.150.000               3.447.000
        Dezember                            2.334.000                2.585.000                  2.951.000              3.140.000               3.401.000
 2010 Januar                                2.328.000                2.569.000                  2.933.000              3.126.000               3.401.000
        Februar                             2.332.000                2.575.000                  2.938.000              3.133.000               3.349.000
        März                                2.308.000                2.553.000                  2.915.000              3.112.000               3.269.000
        April                               2.267.000                2.506.000                  2.867.000              3.064.000               3.200.000
        Mai                                 2.241.000                2.474.000                  2.828.000              3.026.000               3.127.000
        Juni                                2.225.000                2.452.000                  2.800.000              2.997.000               3.098.000
        Juli                                2.211.000                2.427.000                  2.773.000              2.969.000               3.060.000
        August                              2.205.000                2.414.000                  2.760.000              2.953.000               3.037.000
        September                           2.174.000                2.375.000                  2.722.000              2.915.000               3.009.000
        Oktober                             2.169.000                2.367.000                  2.711.000              2.901.000               2.997.000
        November                            2.161.000                2.360.000                  2.699.000              2.887.000               2.994.000
                   1)
        Dezember                            2.151.000                2.346.000                  2.678.000              2.865.000               3.006.000
               1)
 2011 Januar                                2.134.000                2.332.000                  2.653.000              2.838.000                         …
                1)
        Februar                             2.095.000                2.294.000                  2.598.000              2.780.000                         …
        März
        April
        Mai
        Juni
        Juli
        August
        September
        Oktober
        November
        Dezember
Datenstand: Februar 2011                                                                                           © Statistik der Bundesagentur für Arbeit
1)
   vorläufige Daten für Spalte 2 bis 4
Quelle: Statistik der Bundesagentur für Arbeit, saisonbereinigte Werte: Institut für Arbeitsmarkt- und Berufsforschung
                                                                                                                                                       67
Tabellenanhang
                                                                                                                zum Monatsbericht Februar 2011

5.15 Unterbeschäftigung - Zeitreihe -
Ostdeutschland
Februar 2011

                                    Arbeitslosigkeit                                           Unterbeschäftigung
                                    registriert nach        Arbeitslosigkeit      Unterbeschäftigung im   Unterbeschäftigung       Unterbeschäftigung mit
         Jahr / Monat
                                     § 16 SGB III          im weiteren Sinne         engeren Sinne          ohne Kurzarbeit              Kurzarbeit
                                           1                        2                        3                        4                       5
                                                                    Ursprungswerte
2007 Jahresdurchschnitt                     1.290.637               1.313.305                 1.613.023               1.713.519                1.722.059
2008 Jahresdurchschnitt                     1.123.256               1.147.535                 1.429.325               1.501.724                1.511.603
2009 Jahresdurchschnitt                     1.103.074               1.153.617                 1.413.441               1.468.381                1.515.215
2010 Jahresdurchschnitt 1)                  1.012.775               1.088.651                 1.327.387               1.379.628                1.413.059

2009 Januar                                 1.182.344                1.204.957                1.455.967               1.516.236                1.551.433
     Februar                                1.203.975                1.230.838                1.477.363               1.536.541                1.594.598
     März                                   1.206.894                1.237.619                1.480.084               1.538.310                1.598.609
     April                                  1.185.250                1.213.761                1.460.045               1.517.197                1.567.591
     Mai                                    1.124.226                1.162.585                1.417.094               1.473.328                1.523.574
     Juni                                   1.091.406                1.135.804                1.396.260               1.450.842                1.502.688
     Juli                                   1.094.229                1.145.226                1.405.392               1.456.879                1.503.052
     August                                 1.082.068                1.140.965                1.401.827               1.453.364                1.497.439
     September                              1.039.729                1.109.266                1.381.698               1.433.906                1.478.246
     Oktober                                  999.694                1.075.949                1.357.069               1.409.686                1.451.748
     November                                 999.728                1.079.528                1.358.848               1.411.826                1.450.509
     Dezember                               1.027.345                1.106.903                1.369.641               1.422.456                1.463.093
2010 Januar                                 1.147.948                1.224.336                1.460.720               1.513.223                1.585.131
     Februar                                1.161.608                1.242.888                1.474.646               1.527.185                1.605.179
     März                                   1.140.120                1.223.934                1.454.445               1.507.485                1.566.645
     April                                  1.077.052                1.158.888                1.390.954               1.444.234                1.477.801
     Mai                                    1.017.495                1.095.547                1.330.449               1.384.212                1.411.428
     Juni                                     977.660                1.052.798                1.294.291               1.347.768                1.371.811
     Juli                                     982.909                1.052.571                1.293.537               1.345.874                1.364.684
     August                                   969.452                1.037.963                1.282.218               1.333.993                1.350.158
     September                                927.582                  997.830                1.249.596               1.301.231                1.316.862
     Oktober                                  902.034                  973.955                1.228.171               1.279.424                1.293.740
     November                                 901.645                  979.821                1.228.132               1.279.267                1.294.208
                1)
     Dezember                                 947.799                1.023.276                1.241.489               1.291.640                1.319.063
           1)
2011 Januar                                 1.075.527                1.147.791                1.332.012               1.381.025                        …
             1)
     Februar                                1.075.562                1.150.824                1.318.268               1.366.599                        …
     März
     April
     Mai
     Juni
     Juli
     August
     September
     Oktober
     November
     Dezember
                                                                 saisonbereinigte Werte
 2009 Januar                                1.096.000                1.125.000                  1.393.000              1.455.000               1.482.000
        Februar                             1.102.000                1.132.000                  1.398.000              1.459.000               1.495.000
        März                                1.115.000                1.145.000                  1.407.000              1.466.000               1.509.000
        April                               1.128.000                1.158.000                  1.418.000              1.476.000               1.523.000
        Mai                                 1.120.000                1.159.000                  1.420.000              1.476.000               1.525.000
        Juni                                1.123.000                1.168.000                  1.427.000              1.481.000               1.534.000
        Juli                                1.115.000                1.170.000                  1.427.000              1.478.000               1.528.000
        August                              1.103.000                1.166.000                  1.421.000              1.472.000               1.523.000
        September                           1.098.000                1.168.000                  1.424.000              1.475.000               1.529.000
        Oktober                             1.085.000                1.159.000                  1.417.000              1.468.000               1.523.000
        November                            1.084.000                1.159.000                  1.414.000              1.465.000               1.519.000
        Dezember                            1.070.000                1.149.000                  1.404.000              1.456.000               1.508.000
 2010 Januar                                1.060.000                1.139.000                  1.393.000              1.447.000               1.509.000
        Februar                             1.058.000                1.138.000                  1.392.000              1.446.000               1.498.000
        März                                1.047.000                1.128.000                  1.380.000              1.434.000               1.474.000
        April                               1.023.000                1.106.000                  1.352.000              1.406.000               1.436.000
        Mai                                 1.014.000                1.093.000                  1.335.000              1.388.000               1.414.000
        Juni                                1.008.000                1.084.000                  1.324.000              1.377.000               1.401.000
        Juli                                1.003.000                1.076.000                  1.314.000              1.367.000               1.389.000
        August                                 992.000               1.063.000                  1.301.000              1.353.000               1.376.000
        September                              985.000               1.053.000                  1.290.000              1.341.000               1.364.000
        Oktober                                986.000               1.053.000                  1.284.000              1.334.000               1.360.000
        November                               983.000               1.054.000                  1.278.000              1.328.000               1.357.000
                   1)
        Dezember                               988.000               1.061.000                  1.272.000              1.322.000               1.360.000
               1)
 2011 Januar                                   987.000               1.064.000                  1.266.000              1.316.000                         …
                1)
        Februar                                974.000               1.051.000                  1.243.000              1.292.000                         …
        März
        April
        Mai
        Juni
        Juli
        August
        September
        Oktober
        November
        Dezember
Datenstand: Februar 2011                                                                                           © Statistik der Bundesagentur für Arbeit
1)
   vorläufige Daten für Spalte 2 bis 4
Quelle: Statistik der Bundesagentur für Arbeit, saisonbereinigte Werte: Institut für Arbeitsmarkt- und Berufsforschung
                                                                                                                                                       68
Tabellenanhang
                                                                                                                                            zum Monatsbericht Februar 2011

6.1 Bestand an Leistungsempfängern von Arbeitslosengeld bei Arbeitslosigkeit
Deutschland, West- und Ostdeutschland
Februar 2011

                                                                        Bestand an Leistungsempfängern von Arbeitslosengeld bei Arbeitslosigkeit
                                                               insgesamt                                                        darunter arbeitslos
            Jahr / Monat                                         Veränderung zum Vorjahr /                                  Veränderung zum Vorjahr /
                                                                                                                                                                         Anteil
                                          Insgesamt                   Vorjahresmonat                 Insgesamt                    Vorjahresmonat
                                                                                                                                                                    (Sp .4 an Sp. 1)
                                                                absolut              in %                                  absolut                in %
                                                 1                  2                      3                    4             5                     6                       7
Deutschland *)
      Jahr 2007 1)                               1.079.941          -365.284                    -25,3               769.299    -353.796                   -31,5                    71,2
      Jahr 2008 1)                                 916.989          -162.952                    -15,1               700.603     -68.696                    -8,9                    76,4
      Jahr 2009 1)                               1.140.982           223.993                     24,4               967.302     266.699                    38,1                    84,8
      Jahr 2010 1)                               1.023.666          -117.316                    -10,3               880.021       -87.281                  -9,0                    86,0
     2010   Januar                               1.328.501           173.523                     15,0           1.140.379       138.047                   13,8                     85,8
            Februar                              1.366.649           139.215                     11,3           1.166.928       105.513                    9,9                     85,4
            März                                 1.283.141            54.525                      4,4           1.093.486        24.895                    2,3                     85,2
            April                                1.096.264           -69.366                     -6,0             928.929       -96.889                   -9,4                     84,7
            Mai                                    995.751          -124.162                    -11,1             841.652      -124.971                  -12,9                     84,5
            Juni                                   921.201          -167.044                    -15,3             784.515      -147.292                  -15,8                     85,2
            Juli                                   950.301          -199.427                    -17,3             824.900      -154.199                  -15,7                     86,8
            August                                 931.624          -234.512                    -20,1             817.325      -167.531                  -17,0                     87,7
            September                              865.858          -243.688                    -22,0             750.139      -164.434                  -18,0                     86,6
            Oktober                                832.629          -235.331                    -22,0             718.330      -147.873                  -17,1                     86,3
            November                               826.317          -258.735                    -23,8             716.684      -161.988                  -18,4                     86,7
            Dezember                               885.760          -242.790                    -21,5             776.988      -150.645                  -16,2                     87,7
     2011   Januar 2)                            1.065.450          -263.051                    -19,8                  …             …                     …                        …
            Februar 2)                           1.072.747          -293.902                    -21,5                  …             …                     …                        …
            März
            April
            Mai
            Juni
            Juli
            August
            September
            Oktober
            November
            Dezember
Westdeutschland
      Jahr 2007 1)                                   768.852        -253.667                    -24,8               547.124    -250.645                   -31,4                    71,2
      Jahr 2008 1)                                   647.389        -121.463                    -15,8               490.541     -56.584                   -10,3                    75,8
      Jahr 2009 1)                                   842.694         195.304                     30,2               711.251     220.711                    45,0                    84,4
      Jahr 2010 1)                                   761.183            -81.511                  -9,7               650.895       -60.356                  -8,5                    85,5
     2010   Januar                                   975.924         161.701                     19,9               831.015     127.797                   18,2                     85,2
            Februar                                  998.704         131.215                     15,1               845.183      99.152                   13,3                     84,6
            März                                     935.981          61.126                      7,0               790.063      32.318                    4,3                     84,4
            April                                    813.134         -33.657                     -4,0               684.613     -59.336                   -8,0                     84,2
            Mai                                      745.395         -80.948                     -9,8               626.477     -85.696                  -12,0                     84,0
            Juni                                     693.904        -118.966                    -14,6               589.011    -105.791                  -15,2                     84,9
            Juli                                     718.061        -147.640                    -17,1               621.075    -113.889                  -15,5                     86,5
            August                                   706.555        -177.578                    -20,1               618.861    -126.041                  -16,9                     87,6
            September                                650.262        -190.199                    -22,6               561.979    -128.351                  -18,6                     86,4
            Oktober                                  625.437        -185.677                    -22,9               538.175    -116.602                  -17,8                     86,0
            November                                 616.819        -204.349                    -24,9               533.347    -127.683                  -19,3                     86,5
            Dezember                                 654.021        -193.154                    -22,8               570.940    -120.151                  -17,4                     87,3
     2011   Januar 2)                                765.435        -210.489                    -21,6                    …           …                     …                        …
            Februar 2)                               768.276        -230.428                    -23,1                    …           …                     …                        …
            März
            April
            Mai
            Juni
            Juli
            August
            September
            Oktober
            November
            Dezember
Ostdeutschland
      Jahr 2007 1)                                   310.776        -111.930                    -26,5               222.054    -103.271                   -31,7                    71,5
      Jahr 2008 1)                                   269.334         -41.442                    -13,3               209.931     -12.123                    -5,5                    77,9
      Jahr 2009 1)                                   298.004          28.670                     10,6               255.876      45.944                    21,9                    85,9
      Jahr 2010 1)                                   261.825            -36.179                 -12,1               228.910       -26.965                 -10,5                    87,4
     2010   Januar                                   352.264             11.789                   3,5               309.159        10.229                  3,4                     87,8
            Februar                                  367.612              7.948                   2,2               321.520         6.319                  2,0                     87,5
            März                                     346.853             -6.611                  -1,9               303.231        -7.436                 -2,4                     87,4
            April                                    282.836            -35.697                 -11,2               244.133       -37.552                -13,3                     86,3
            Mai                                      249.994            -43.268                 -14,8               214.969       -39.292                -15,5                     86,0
            Juni                                     226.772            -48.319                 -17,6               195.289       -41.537                -17,5                     86,1
            Juli                                     231.471            -52.278                 -18,4               203.563       -40.394                -16,6                     87,9
            August                                   224.155            -57.562                 -20,4               198.226       -41.556                -17,3                     88,4
            September                                214.616            -54.204                 -20,2               187.933       -36.161                -16,1                     87,6
            Oktober                                  206.144            -50.445                 -19,7               179.917       -31.359                -14,8                     87,3
            November                                 208.468            -55.138                 -20,9               183.136       -34.338                -15,8                     87,8
            Dezember                                 230.718            -50.357                 -17,9               205.846       -30.507                -12,9                     89,2
     2011   Januar 2)                                299.130            -53.134                 -15,1                    …             …                   …                        …
            Februar 2)                               303.427            -64.185                 -17,5                    …             …                   …                        …
            März
            April
            Mai
            Juni
            Juli
            August
            September
            Oktober
            November
            Dezember
Datenstand: Februar 2011                                                                                                                         © Statistik der Bundesagentur für Arbeit
Quelle: Statistik der Bundesagentur für Arbeit
*) die für Deutschland ausgewiesenen Werte enthalten auch die Zahl der im Ausland lebenden Leistungsempfänger
1)
     Jahresdurschschnittswerte
2)
     geschätzt
                                                                                                                                                                                            69
Tabellenanhang
                                                                                                             zum Monatsbericht Februar 2011

6.2 Eckwerte zu Leistungsempfängern von Arbeitslosengeld bei Arbeitslosigkeit nach dem SGB III
Deutschland
Februar 2011

endgültige Daten mit einer Wartezeit von 2 Monaten
                                                                                                                         Veränderung aktueller Monat
                                                                                   2010
                                                                                                                             zum Vorjahresmonat
                              Merkmal
                                                          Dezember       November         Oktober        September          absolut            relativ in %
                                                             1              2                3               4                  5                   6
Empfänger Arbeitslosengeld (SGB III)
  Bestand insgesamt                                         885.760        826.317         832.629         865.858             -242.790                 -21,5
 dav.:      44,4 % Frauen                                   393.427        389.059         393.573         405.513              -66.921                 -14,5
            55,6 % Männer                                   492.333        437.258         439.056         460.345             -175.869                 -26,3
            11,6 % Jüngere unter 25 Jahre                   102.589         98.579         106.421         129.345              -43.088                 -29,6
            49,7 % 25 bis unter 50 Jahre                    440.364        401.570         402.850         411.313             -176.525                 -28,6
            38,7 % 50 Jahre und älter                       342.807        326.168         323.358         325.200              -23.177                  -6,3
            10,5 % Ausländer                                 93.108         87.666          87.351          88.313              -30.624                 -24,8
Zugänge insgesamt                                           224.238        197.434         186.750         189.764              -15.018                  -6,3
 dav.:      35,4 % Frauen                                    79.309         87.732          84.070          86.066                  -7.038               -8,2
            64,6 % Männer                                   144.929        109.702         102.680         103.698                  -7.980               -5,2
            15,1 % Jüngere unter 25 Jahre                    33.758         30.961          33.083          47.046                  -4.228              -11,1
            59,8 % 25 bis unter 50 Jahre                    133.996        117.185         109.243         102.906              -12.791                  -8,7
            25,2 % 50 Jahre und älter                        56.482         49.287          44.424          39.810                  1.999                 3,7
            10,3 % Ausländer                                 23.205         21.327          20.018          20.551                   -748                 -3,1
Abgänge insgesamt                                           164.795        203.746         219.979         255.530              -30.963                 -15,8
 dav.:      45,5 % Frauen                                    74.951         92.269          96.017         112.633                  -6.987               -8,5
            54,5 % Männer                                    89.844        111.477         123.962         142.897              -23.976                 -21,1
            17,2 % Jüngere unter 25 Jahre                    28.309         37.328          54.385          69.284                  -6.789              -19,3
            57,9 % 25 bis unter 50 Jahre                     95.364        118.614         117.981         136.349              -23.216                 -19,6
            25,0 % 50 Jahre und älter                        41.122         47.804          47.613          49.897                   -958                -2,3
            10,7 % Ausländer                                 17.626         20.828          20.838          24.825                  -3.416              -16,2
         Angaben zur Leistung (Bestand)
  Durchschnittliche Anspruchshöhe, mtl. in €                 808,62         804,31          802,82          790,00                  28,91                     .
  zurück gelegte Leistungsdauer, in Tagen                     138,3          143,7               143,6           143,3                 8,0                    .
  Restanspruchsdauer, in Tagen                                236,3             237,8            241,0           238,9                 8,3 .
         Angaben zur Leistung (bei Abgang)
  Durchschnittliche Anspruchshöhe bei Abgang, mtl. in €      774,03         769,77          746,37          727,76                  24,64                     .
  Durchschn. Leistungsdauer bei Beendigung, in Tagen             134,6          131,5            133,6           126,3                -7,3                    .
  Restanspruchsdauer bei Abgang, in Tagen                        162,2          171,0            172,6           179,8                 9,9                    .
         Abgangsgründe
           Arbeitsaufnahme                                   78.882        106.195         101.969         127.775              -12.147                 -13,3
           Anspruch erschöpft                                39.070         41.742          43.363          46.248              -12.867                 -24,8
           Sonstige                                          46.843         55.809          74.647          81.507                  -5.949              -11,3
Datenstand: Februar 2011                                                                                           © Statistik der Bundesagentur für Arbeit
Quelle: Bundesagentur für Arbeit




                                                                                                                                                     70
Tabellenanhang
                                                                                                                                                        zum Monatsbericht Februar 2011

6.3 Bedarfsgemeinschaften und Personen in Bedarfsgemeinschaften
Deutschland, West- und Ostdeutschland
Februar 2011

Daten nach einer Wartezeit von 3 Monaten. Für die 3 aktuellsten Berichtsmonate wurden die vorläufigen Daten auf eine Wartezeit von 3 Monaten hochgerechnet.
                                         Anzahl der                                                                Personen in Bedarfsgemeinschaften
                                   Bedarfsgemeinschaften                                                                                davon Sp. 4

                                                                                                  erwerbsfähige Hilfebedürftige (Alg II)          nicht erwerbsfähige Hilfebedürftige (Sozialgeld)
                                                Veränd. zum Vorjahr /
         Jahr/Monat                                                            insgesamt
                                Insgesamt         Vorjahresmonat                                                    Veränd. zum Vorjahr /                                Veränd. zum Vorjahr /
                                                                                                  Anzahl              Vorjahresmonat                  Anzahl               Vorjahresmonat
                                                 absolut          in %                                                absolut          in %                                absolut             in %
                                   1                2               3             4                 5                    6               7               8                    9                 10
Deutschland
     Jahr   20071)                  3.725.134         -253.619          -6,4      7.240.072        5.276.609              -115.557         -2,1         1.963.463                  8.488          0,4
     Jahr   20081)                  3.576.252         -148.883          -4,0      6.906.953        5.009.872              -266.737         -5,1         1.897.081                -66.382         -3,4
     Jahr   20091)                  3.558.562          -17.690          -0,5      6.725.152        4.907.759              -102.113         -2,0         1.817.393                -79.688         -4,2
     Jahr   20101)                  3.584.184           25.622           0,7      6.714.453        4.895.573               -12.186         -0,2         1.818.879                  1.486          0,1
     2010   Januar                  3.602.102          111.560           3,2      6.779.087        4.942.495               112.133          2,3         1.836.592                 26.555          1,5
            Februar                 3.643.926          113.081           3,2      6.854.265        5.004.453               115.489          2,4         1.849.812                 31.637          1,7
            März                    3.668.121          111.266           3,1      6.891.713        5.036.643               112.880          2,3         1.855.070                 35.662          2,0
            April                   3.665.086           97.715           2,7      6.876.684        5.026.326                93.292          1,9         1.850.358                 35.396          2,0
            Mai                     3.643.589           77.113           2,2      6.831.744        4.992.080                63.198          1,3         1.839.664                 29.352          1,6
            Juni                    3.622.045           58.904           1,7      6.787.134        4.957.291                34.560          0,7         1.829.843                 22.670          1,3
            Juli                    3.603.623           22.594           0,6      6.743.838        4.924.729               -19.213         -0,4         1.819.109                  5.558          0,3
            August                  3.568.860           -5.087          -0,1      6.682.699        4.868.411               -55.258         -1,1         1.814.288                 -3.688         -0,2
            September               3.529.818          -39.232          -1,1      6.604.840        4.805.409              -106.426         -2,2         1.799.431                -22.476         -1,2
            Oktober                 3.498.576          -62.055          -1,7      6.537.195        4.749.979              -145.604         -3,0         1.787.216                -37.034         -2,0
            November                3.472.001          -93.068          -2,6      6.477.788        4.705.843              -177.585         -3,6         1.771.945                -50.271         -2,8
            Dezember                3.492.466          -85.323          -2,4      6.506.448        4.733.223              -173.693         -3,5         1.773.225                -55.528         -3,0
     2011   Januar                  3.499.877         -102.225          -2,8      6.512.559        4.744.019              -198.476         -4,0         1.768.540                -68.052         -3,7
            Februar                 3.514.843         -129.083          -3,5      6.532.605        4.763.138              -241.315         -4,8         1.769.467                -80.345         -4,3
            März
            April
            Mai
            Juni
            Juli
            August
            September
            Oktober
            November
            Dezember
Westdeutschland
     Jahr   20071)                  2.394.246         -158.881          -6,2     4.795.528         3.393.715               -68.087         -2,0         1.401.813                  2.742          0,2
     Jahr   20081)                  2.300.598          -93.649          -3,9     4.592.179         3.240.005              -153.710         -4,5         1.352.174                -49.639         -3,5
     Jahr   20091)                  2.317.444           16.846           0,7     4.524.626         3.223.801               -16.205         -0,5         1.300.826                -51.349         -3,8
     Jahr   20101)                  2.364.977           47.534           2,1     4.574.767         3.266.460                42.659          1,3         1.308.307                  7.482          0,6
     2010   Januar                  2.370.936          113.579           5,0     4.609.821         3.288.003               140.434          4,5         1.321.818                 29.971          2,3
            Februar                 2.399.147          115.270           5,0     4.661.674         3.330.136               144.021          4,5         1.331.538                 33.482          2,6
            März                    2.416.658          114.292           5,0     4.689.511         3.354.031               142.536          4,4         1.335.480                 36.132          2,8
            April                   2.415.296          102.787           4,4     4.680.442         3.348.715               125.414          3,9         1.331.727                 34.729          2,7
            Mai                     2.403.682           87.266           3,8     4.653.146         3.329.648               102.121          3,2         1.323.498                 28.741          2,2
            Juni                    2.391.169           72.690           3,1     4.624.638         3.309.041                78.939          2,4         1.315.597                 22.736          1,8
            Juli                    2.378.709           45.568           2,0     4.593.403         3.286.539                38.178          1,2         1.306.864                  9.684          0,7
            August                  2.356.242           24.754           1,1     4.554.476         3.250.400                10.199          0,3         1.304.076                  2.933          0,2
            September               2.331.311             -942           0,0     4.505.339         3.211.003               -28.943         -0,9         1.294.336                -11.427         -0,9
            Oktober                 2.311.720          -22.880          -1,0     4.460.517         3.175.275               -62.089         -1,9         1.285.242                -23.639         -1,8
            November                2.295.447          -40.691          -1,7     4.421.803         3.147.362               -89.012         -2,8         1.274.441                -34.226         -2,6
            Dezember                2.309.413          -41.289          -1,8     4.442.437         3.167.366               -89.887         -2,8         1.275.071                -39.334         -3,0
     2011   Januar                  2.314.738          -56.198          -2,4     4.448.532         3.175.531              -112.472         -3,4         1.273.000                -48.818         -3,7
            Februar                 2.322.046          -77.101          -3,2     4.458.226         3.185.023              -145.113         -4,4         1.273.203                -58.335         -4,4
            März
            April
            Mai
            Juni
            Juli
            August
            September
            Oktober
            November
            Dezember
Ostdeutschland
     Jahr   20071)                  1.330.888          -94.738          -6,6     2.444.543         1.882.894               -47.470         -2,5           561.650                  5.746          1,0
     Jahr   20081)                  1.275.654          -55.234          -4,2     2.314.773         1.769.866              -113.027         -6,0           544.907                -16.743         -3,0
     Jahr   20091)                  1.241.118          -34.536          -2,7     2.200.526         1.683.958               -85.908         -4,9           516.568                -28.339         -5,2
     Jahr   20101)                  1.219.207          -21.911          -1,8     2.139.686         1.629.114               -54.845         -3,3           510.572                 -5.996         -1,2
     2010   Januar                  1.231.166           -2.019          -0,2     2.169.266         1.654.492               -28.301         -1,7           514.774                 -3.416         -0,7
            Februar                 1.244.779           -2.189          -0,2     2.192.591         1.674.317               -28.532         -1,7           518.274                 -1.845         -0,4
            März                    1.251.463           -3.026          -0,2     2.202.202         1.682.612               -29.656         -1,7           519.590                   -470         -0,1
            April                   1.249.790           -5.072          -0,4     2.196.242         1.677.611               -32.122         -1,9           518.631                    667          0,1
            Mai                     1.239.907          -10.153          -0,8     2.178.598         1.662.432               -38.923         -2,3           516.166                    611          0,1
            Juni                    1.230.876          -13.786          -1,1     2.162.496         1.648.250               -44.379         -2,6           514.246                    -66          0,0
            Juli                    1.224.914          -22.974          -1,8     2.150.435         1.638.190               -57.391         -3,4           512.245                 -4.126         -0,8
            August                  1.212.618          -29.841          -2,4     2.128.223         1.618.011               -65.457         -3,9           510.212                 -6.621         -1,3
            September               1.198.507          -38.290          -3,1     2.099.501         1.594.406               -77.483         -4,6           505.095                -11.049         -2,1
            Oktober                 1.186.856          -43.613          -3,5     2.076.678         1.574.704               -83.515         -5,0           501.974                -13.395         -2,6
            November                1.176.554          -47.939          -3,9     2.055.985         1.558.481               -88.573         -5,4           497.504                -16.045         -3,1
            Dezember                1.183.054          -44.033          -3,6     2.064.010         1.565.857               -83.806         -5,1           498.154                -16.194         -3,1
     2011   Januar                  1.185.138          -46.028          -3,7     2.064.027         1.568.487               -86.005         -5,2           495.540                -19.234         -3,7
            Februar                 1.192.797          -51.982          -4,2     2.074.379         1.578.115               -96.202         -5,7           496.264                -22.010         -4,2
            März
            April
            Mai
            Juni
            Juli
            August
            September
            Oktober
            November
            Dezember
Datenstand: Februar 2011                                                                                                                                       © Statistik der Bundesagentur für Arbeit
Quelle: Bundesagentur für Arbeit                                                                                                                                                                71
1)
     Jahresdurchschnittswerte
Tabellenanhang
                                                                                                                          zum Monatsbericht Februar 2011

6.4 Grundsicherung für Arbeitsuchende nach dem SGB II
Deutschland
Februar 2011

endgültige Daten mit Wartezeit von 3 Monaten
                                                                                                                                     Veränderung Oktober 2010 zum
                                                                                                       2010
                                                                                                                                            Vorjahresmonat
                                    Merkmale
                                                                                    Oktober         September          August           absolut      relativ in %
                                                                                        1                 2                3                4                   5
Bedarfsgemeinschaften
     Bestand                                                                          3.498.576        3.529.818        3.568.860           -66.493                   -1,9
       dar.: 55,6 % mit 1 Person                                                      1.946.855        1.960.662        1.979.568            -4.637                   -0,2
             20,7 % mit 2 Personen                                                      725.323          731.655          739.659           -26.688                   -3,5
             11,9 % mit 3 Personen                                                      417.191          422.631          430.100           -21.084                   -4,8
              7,1 % mit 4 Personen                                                      247.171          250.693          254.298           -10.274                   -4,0
              4,6 % mit 5 und mehr Personen                                             162.035          164.177          165.235            -3.811                   -2,3
     Personen pro Bedarfsgemeinschaft                                                       1,9              1,9              1,9             -0,02                   -0,9
  Zugang insgesamt                                                                      131.770          132.045          139.953           -10.827                  -7,6
     dar.: vorheriger SGB II Leistungsbezug (< 3Monate)                                  36.758           38.275           39.474            +3.780                 +11,5
  Abgang insgesamt                                                                      162.860          171.026          174.441           +16.403                 +11,2
     dar.: erneuter SGB II Leistungsbezug innerhalb von 3 Mon.                           34.590           36.833           40.037            +3.157                 +10,0
Leistungen pro Bedarfsgemeinschaft in Euro
  insgesamt                                                                              841,69           839,75            868,79              -14,23                -1,7
    dav.: Arbeitslosengeld II 1) und 2)                                                  336,64           337,58            344,50               -8,76                -2,5
         Sozialgeld1)                                                                     13,35            13,42             36,32               -5,20               -28,0
         Leistungen für Unterkunft und Heizung1)                                         325,61           322,23            321,30               -0,64                -0,2
         Sozialversicherungsleistung1)                                                   161,02           160,91            160,96               +0,37                +0,2
         sonstige Leistungen1)                                                             5,06             5,61              5,70               -0,00                -0,1
Personen in Bedarfsgemeinschaften
  Bestand                                                                             6.537.195        6.604.840        6.682.699          -182.638                   -2,7
    dav.: 72,7 % erwerbsfähige Hilfebedürftige                                        4.749.979        4.805.409        4.868.411          -145.604                   -3,0
          27,3 % Nichterwerbsfähige Hilfebedürftige                                   1.787.216        1.799.431        1.814.288           -37.034                   -2,0
Erwerbsfähige Hilfebedürftige
   Bestand                                                                            4.749.979        4.805.409        4.868.411          -145.604                  -3,0
    dav.: 51 % Frauen                                                                 2.423.658        2.450.248        2.478.210           -73.407                  -2,9
          49 % Männer                                                                 2.326.321        2.355.161        2.390.201           -72.197                  -3,0
          17,6 % unter 25 Jahre                                                         835.589          860.374          887.490           -59.515                  -6,6
          56,8 % 25 bis unter 50 Jahre                                                2.698.118        2.727.104        2.760.189          -103.299                  -3,7
          25,6 % 50 bis unter 65 Jahre                                                1.216.271        1.217.931        1.220.732           +17.209                  +1,4
          20,1 % Ausländer                                                              954.671          960.475          962.862            -3.891                  -0,4
  Zugang insgesamt                                                                      167.711          175.004          187.831           -16.946                  -9,2
     dar.: vorheriger SGB II Leistungsbezug (< 3 Monate)                                 56.427           64.665           67.726            +4.678                  +9,0
     dar.: vorheriger Arbeitslosengeld-Bezug (< 3 Monate)                                17.303           18.854           19.922            -5.476                 -24,0
           gleichzeitig Arbeitslosengeld-Bezug (Aufstocker)                               9.033           10.645           11.875            -4.356                 -32,5
  Abgang insgesamt                                                                      227.977          243.868          250.276           +21.484                 +10,4
     dar.: erneuter SGB II Leistungsbezug innerhalb von 3 Mon.                           52.154           57.345           69.627            +3.972                  +8,2
Nichterwerbsfähige Hilfebedürftige
  Bestand                                                                            1.787.216        1.799.431         1.814.288           -37.034                  -2,0
     dav.: 95,7 % unter 15 Jahre                                                     1.710.491        1.722.698         1.737.057           -37.989                  -2,2
             4,3 % 15 bis unter 65 Jahre                                                76.723           76.725            77.226             +963                   +1,3
            14,9 % Ausländer                                                           265.527          267.036           267.534           -11.529                  -4,2
     Zugang insgesamt                                                                    60.045           64.952            76.390           -4.684                  -7,2
       dar.: vorheriger SGB II Leistungsbezug (< 3 Monate)                               18.472           22.390            24.881           +3.210                 +21,0
     Abgang insgesamt                                                                    66.253           73.073            73.471          +10.464                 +18,8
       dar.: erneuter SGB II Leistungsbezug innerhalb von 3 Mon.                         17.288           19.544            24.460           +3.117                 +22,0
Hilfequoten bezogen auf die Bevölkerung 3) im jeweiligen Alter in Prozent (bzw. Veränderung absolut in Prozentpunkten)
    hilfebedürftige Personen insgesamt (0 bis 65 Jahre)                         10,1         10,2            10,3                                -0,3                     .
    erwerbsfähige Hilfebedürftige (15 bis 65 Jahre)                              8,8          8,9             9,0                                -0,3                     .
       Frauen (15 bis 65 Jahre)                                                  9,1          9,2             9,3                                -0,3                     .
       Männer (15 bis 65 Jahre)                                                  8,5          8,6             8,8                                -0,3                     .
       unter 25 Jahre                                                            9,0          9,3             9,6                                -0,6                     .
       25 bis unter 50 Jahre                                                     9,4          9,5             9,6                                -0,4                     .
       50 bis unter 65 Jahre                                                     7,7          7,7             7,7                                +0,1                     .
        Ausländer (15 bis 65 Jahre)                                             16,7         16,8            16,9                                -0,1                     .
    nichterwerbsfähige Hilfebedürftige (unter 15 Jahre)                         15,5         15,6            15,8                                -0,3                     .
Datenstand: Februar 2011                                                                                                           © Statistik der Bundesagentur für Arbeit
Quelle: Bundesagentur für Arbeit
1)
     jeweils ermittelt auf Basis aller Bedarfsgemeinschaften im Berichtsmonat
2)
     Arbeitslosengeld II- Regelleistung, Mehrbedarf, Leistungen nach § 23 und Arbeitslosengeld Zuschlag (§ 24 SGB II); ohne Leistungen für Unterkunft
3)
     Bevölkerungsdaten mit Stand 31.12.2009; Statistisches Bundesamt


                                                                                                                                                                    72
Tabellenanhang
                                                                                                                          zum Monatsbericht Februar 2011

6.5 Grundsicherung für Arbeitsuchende nach dem SGB II
Westdeutschland
Februar 2011

endgültige Daten mit Wartezeit von 3 Monaten
                                                                                                                                     Veränderung Oktober 2010 zum
                                                                                                       2010
                                                                                                                                            Vorjahresmonat
                                    Merkmale
                                                                                    Oktober         September          August           absolut      relativ in %
                                                                                        1                 2                3                4            5
Bedarfsgemeinschaften
     Bestand                                                                          2.311.720        2.331.311        2.356.242           -22.880           -1,0
       dar.: 54,1 % mit 1 Person                                                      1.251.206        1.259.258        1.271.868            +8.268           +0,7
             20,3 % mit 2 Personen                                                      469.310          473.067          477.827           -11.471           -2,4
             12,5 % mit 3 Personen                                                      287.946          291.475          296.000           -10.966           -3,7
              7,7 % mit 4 Personen                                                      178.846          181.320          183.643            -6.039           -3,3
              5,4 % mit 5 und mehr Personen                                             124.411          126.191          126.904            -2.673           -2,1
     Personen pro Bedarfsgemeinschaft                                                       1,9              1,9              1,9             -0,02           -0,9
  Zugang insgesamt                                                                       90.601           91.975           98.025           -8.381            -8,5
     dar.: vorheriger SGB II Leistungsbezug (< 3Monate)                                  24.680           26.931           27.080           +2.702           +12,3
  Abgang insgesamt                                                                      110.219          116.998          120.384          +13.542           +14,0
     dar.: erneuter SGB II Leistungsbezug innerhalb von 3 Mon.                           23.013           25.015           28.134           +2.277           +11,0
Leistungen pro Bedarfsgemeinschaft in Euro
  insgesamt                                                                              867,95           866,89            899,30              -15,93        -1,8
    dav.: Arbeitslosengeld II 1) und 2)                                                  342,16           343,23            351,05               -9,08        -2,6
         Sozialgeld1)                                                                     15,23            15,32             40,54               -5,99       -28,2
         Leistungen für Unterkunft und Heizung1)                                         344,30           341,51            340,71               -1,32        -0,4
         Sozialversicherungsleistung1)                                                   160,73           160,63            160,68               +0,37        +0,2
         sonstige Leistungen1)                                                             5,53             6,19              6,31               +0,11        +2,0
Personen in Bedarfsgemeinschaften
  Bestand                                                                             4.460.517        4.505.339        4.554.476           -85.728           -1,9
    dav.: 71,2 % erwerbsfähige Hilfebedürftige                                        3.175.275        3.211.003        3.250.400           -62.089           -1,9
          28,8 % Nichterwerbsfähige Hilfebedürftige                                   1.285.242        1.294.336        1.304.076           -23.639           -1,8
Erwerbsfähige Hilfebedürftige
   Bestand                                                                            3.175.275        3.211.003        3.250.400          -62.089            -1,9
    dav.: 51,9 % Frauen                                                               1.647.606        1.665.113        1.682.389          -32.249            -1,9
          48,1 % Männer                                                               1.527.669        1.545.890        1.568.011          -29.840            -1,9
          18,5 % unter 25 Jahre                                                         586.988          602.961          620.026          -27.324            -4,4
          56,8 % 25 bis unter 50 Jahre                                                1.803.971        1.822.984        1.843.827          -51.482            -2,8
          24,7 % 50 bis unter 65 Jahre                                                  784.315          785.058          786.547          +16.716            +2,2
          24,9 % Ausländer                                                              791.973          797.041          799.544           -4.126            -0,5
  Zugang insgesamt                                                                      116.890          124.557          133.992          -13.237           -10,2
     dar.: vorheriger SGB II Leistungsbezug (< 3 Monate)                                 38.543           47.005           47.402           +3.504           +10,0
     dar.: vorheriger Arbeitslosengeld-Bezug (< 3 Monate)                                12.200           13.253           14.244           -4.164           -25,4
           gleichzeitig Arbeitslosengeld-Bezug (Aufstocker)                               5.691            6.106            7.546           -2.949           -34,1
  Abgang insgesamt                                                                      156.351          168.577          174.897          +19.098           +13,9
     dar.: erneuter SGB II Leistungsbezug innerhalb von 3 Mon.                           35.305           39.840           50.127           +3.122            +9,7
Nichterwerbsfähige Hilfebedürftige
  Bestand                                                                            1.285.242        1.294.336        1.304.076            -23.639           -1,8
     dav.: 95,6 % unter 15 Jahre                                                     1.228.302        1.237.490        1.246.979            -24.708           -2,0
             4,4 % 15 bis unter 65 Jahre                                                56.938           56.838           57.092             +1.072           +1,9
            17,8 % Ausländer                                                           228.734          230.010          230.507             -9.827           -4,1
     Zugang insgesamt                                                                    43.735           49.052            58.006           -4.560           -9,4
       dar.: vorheriger SGB II Leistungsbezug (< 3 Monate)                               12.989           17.399            18.521           +2.052          +18,8
     Abgang insgesamt                                                                    48.439           53.792            55.022           +8.302          +20,7
       dar.: erneuter SGB II Leistungsbezug innerhalb von 3 Mon.                         12.120           14.262            18.704           +2.122          +21,2
Hilfequoten bezogen auf die Bevölkerung 3) im jeweiligen Alter in Prozent (bzw. Veränderung absolut in Prozentpunkten)
    hilfebedürftige Personen insgesamt (0 bis 65 Jahre)                          8,5          8,6             8,7             -0,2                 .
    erwerbsfähige Hilfebedürftige (15 bis 65 Jahre)                              7,4          7,5             7,6             -0,1                 .
       Frauen (15 bis 65 Jahre)                                                  7,7          7,8             7,9             -0,2                 .
       Männer (15 bis 65 Jahre)                                                  7,0          7,1             7,2             -0,1                 .
       unter 25 Jahre                                                            7,8          8,0             8,2             -0,4                 .
       25 bis unter 50 Jahre                                                     7,8          7,9             8,0             -0,2                 .
       50 bis unter 65 Jahre                                                     6,3          6,3             6,3             +0,1                 .
        Ausländer (15 bis 65 Jahre)                                             15,7         15,8            15,8             -0,1                 .
    nichterwerbsfähige Hilfebedürftige (unter 15 Jahre)                         13,4         13,5            13,6             -0,3                 .
Datenstand: Februar 2011                                                                                    © Statistik der Bundesagentur für Arbeit
Quelle: Bundesagentur für Arbeit
1)
     jeweils ermittelt auf Basis aller Bedarfsgemeinschaften im Berichtsmonat
2)
     Arbeitslosengeld II- Regelleistung, Mehrbedarf, Leistungen nach § 23 und Arbeitslosengeld Zuschlag (§ 24 SGB II); ohne Leistungen für Unterkunft
3)
     Bevölkerungsdaten mit Stand 31.12.2009; Statistisches Bundesamt


                                                                                                                                                             73
Tabellenanhang
                                                                                                                          zum Monatsbericht Februar 2011

6.6 Grundsicherung für Arbeitsuchende nach dem SGB II
Ostdeutschland
Februar 2011

endgültige Daten mit Wartezeit von 3 Monaten
                                                                                                                                     Veränderung Oktober 2010 zum
                                                                                                       2010
                                                                                                                                            Vorjahresmonat
                                    Merkmale
                                                                                    Oktober         September          August           absolut      relativ in %
                                                                                        1                 2                3                4            5
Bedarfsgemeinschaften
     Bestand                                                                          1.186.856        1.198.507        1.212.618           -43.613           -3,5
       dar.: 58,6 % mit 1 Person                                                        695.649          701.404          707.700           -12.905           -1,8
             21,6 % mit 2 Personen                                                      256.013          258.588          261.832           -15.217           -5,6
             10,9 % mit 3 Personen                                                      129.245          131.156          134.100           -10.118           -7,3
              5,8 % mit 4 Personen                                                       68.325           69.373           70.655            -4.235           -5,8
              3,2 % mit 5 und mehr Personen                                              37.624           37.986           38.331            -1.138           -2,9
     Personen pro Bedarfsgemeinschaft                                                       1,7              1,8              1,8             -0,02           -0,9
  Zugang insgesamt                                                                       41.169           40.070            41.928           -2.446           -5,6
     dar.: vorheriger SGB II Leistungsbezug (< 3Monate)                                  12.078           11.344            12.394           +1.078           +9,8
  Abgang insgesamt                                                                       52.641           54.028            54.057           +2.861           +5,7
     dar.: erneuter SGB II Leistungsbezug innerhalb von 3 Mon.                           11.577           11.818            11.903            +880            +8,2
Leistungen pro Bedarfsgemeinschaft in Euro
  insgesamt                                                                              790,53           786,96            809,51              -12,34        -1,5
    dav.: Arbeitslosengeld II 1) und 2)                                                  325,89           326,60            331,78               -8,41        -2,5
         Sozialgeld1)                                                                      9,70             9,71             28,14               -3,78       -28,1
         Leistungen für Unterkunft und Heizung1)                                         289,20           284,72            283,58               -0,28        -0,1
         Sozialversicherungsleistung1)                                                   161,58           161,46            161,50               +0,38        +0,2
         sonstige Leistungen1)                                                             4,16             4,47              4,51               -0,24        -5,5
Personen in Bedarfsgemeinschaften
  Bestand                                                                             2.076.678        2.099.501        2.128.223           -96.910           -4,5
    dav.: 75,8 % erwerbsfähige Hilfebedürftige                                        1.574.704        1.594.406        1.618.011           -83.515           -5,0
          24,2 % Nichterwerbsfähige Hilfebedürftige                                     501.974          505.095          510.212           -13.395           -2,6
Erwerbsfähige Hilfebedürftige
   Bestand                                                                            1.574.704        1.594.406        1.618.011           -83.515           -5,0
    dav.: 49,3 % Frauen                                                                 776.052          785.135          795.821           -41.158           -5,0
          50,7 % Männer                                                                 798.652          809.271          822.190           -42.357           -5,0
          15,8 % unter 25 Jahre                                                         248.601          257.413          267.464           -32.191          -11,5
          56,8 % 25 bis unter 50 Jahre                                                  894.147          904.120          916.362           -51.817           -5,5
          27,4 % 50 bis unter 65 Jahre                                                  431.956          432.873          434.185             +493            +0,1
          10,3 % Ausländer                                                              162.698          163.434          163.318             +235            +0,1
  Zugang insgesamt                                                                       50.821           50.447            53.839           -3.709           -6,8
     dar.: vorheriger SGB II Leistungsbezug (< 3 Monate)                                 17.884           17.660            20.324           +1.174           +7,0
     dar.: vorheriger Arbeitslosengeld-Bezug (< 3 Monate)                                 5.103            5.601             5.678           -1.312          -20,5
           gleichzeitig Arbeitslosengeld-Bezug (Aufstocker)                               3.342            4.539             4.330           -1.406          -29,6
  Abgang insgesamt                                                                       71.626           75.291            75.379           +2.386           +3,4
     dar.: erneuter SGB II Leistungsbezug innerhalb von 3 Mon.                           16.849           17.505            19.500            +850            +5,3
Nichterwerbsfähige Hilfebedürftige
  Bestand                                                                              501.974          505.095          510.212            -13.395           -2,6
     dav.: 96,1 % unter 15 Jahre                                                       482.189          485.208          490.078            -13.281           -2,7
             3,9 % 15 bis unter 65 Jahre                                                19.785           19.887           20.134               -109           -0,5
            7,3 % Ausländer                                                             36.793           37.026           37.027             -1.702           -4,4
     Zugang insgesamt                                                                    16.310           15.900            18.384             -124           -0,8
       dar.: vorheriger SGB II Leistungsbezug (< 3 Monate)                                5.483            4.991             6.360           +1.158          +26,8
     Abgang insgesamt                                                                    17.814           19.281            18.449           +2.162          +13,8
       dar.: erneuter SGB II Leistungsbezug innerhalb von 3 Mon.                          5.168            5.282             5.756            +995           +23,8
Hilfequoten bezogen auf die Bevölkerung 3) im jeweiligen Alter in Prozent (bzw. Veränderung absolut in Prozentpunkten)
    hilfebedürftige Personen insgesamt (0 bis 65 Jahre)                         16,4         16,6            16,8             -0,8                 .
    erwerbsfähige Hilfebedürftige (15 bis 65 Jahre)                             14,5         14,7            14,9             -0,8                 .
       Frauen (15 bis 65 Jahre)                                                 14,7         14,9            15,1             -0,8                 .
       Männer (15 bis 65 Jahre)                                                 14,3         14,5            14,8             -0,8                 .
       unter 25 Jahre                                                           14,7         15,2            15,8             -1,9                 .
       25 bis unter 50 Jahre                                                    15,5         15,7            15,9             -0,9                 .
       50 bis unter 65 Jahre                                                    12,8         12,8            12,8             +0,0                 .
        Ausländer (15 bis 65 Jahre)                                             25,2         25,3            25,3             +0,0                 .
    nichterwerbsfähige Hilfebedürftige (unter 15 Jahre)                         26,1         26,3            26,6             -0,7                 .
Datenstand: Februar 2011                                                                                    © Statistik der Bundesagentur für Arbeit
Quelle: Bundesagentur für Arbeit
1)
     jeweils ermittelt auf Basis aller Bedarfsgemeinschaften im Berichtsmonat
2)
     Arbeitslosengeld II- Regelleistung, Mehrbedarf, Leistungen nach § 23 und Arbeitslosengeld Zuschlag (§ 24 SGB II); ohne Leistungen für Unterkunft
3)
     Bevölkerungsdaten mit Stand 31.12.2009; Statistisches Bundesamt


                                                                                                                                                             74
Tabellenanhang
                                                                                                               zum Monatsbericht Februar 2011

7.1 Bestand gemeldete Arbeitsstellen*)
Deutschland
Februar 2011

                                                      Bestand gemeldete Arbeitsstellen                                       Saisonbereinigte Werte
                                                            Veränderung gegenüber                  dar. (Sp. 1)            Bestand             dar. (Sp. 5)
                                                                   Vorjahr                       sozialversiche-          gemeldete         sozialversiche-
           Jahr/Monat                 Anzahl                                                                            Arbeitsstellen
                                                               Vorjahresmonat                    rungspflichtige                            rungspflichtige
                                                           absolut          in%                      Stellen             in Tausend             Stellen
                                         1                    2                    3                    4                      5                    6
     Jahr 20071)                         422.721                  67.126               18,9             389.154                         x                      x
     Jahr 20081)                         388.675               -34.046                  -8,1            361.215                         x                      x
     Jahr 20091)                         300.516               -88.159                 -22,7            274.251                         x                      x
     Jahr 20101)                         359.038                  58.522               19,5             325.960                         x                      x

 2009 Januar                             301.542               -49.310                 -14,1            279.037                      343                     319
           Februar                       317.512               -58.312                 -15,5            293.239                      335                     309
           März                          317.114               -75.024                 -19,1            293.585                      321                     296
           April                         305.446               -89.286                 -22,6            281.856                      305                     281
           Mai                           298.638               -99.109                 -24,9            273.784                      293                     269
           Juni                          296.958             -120.578                  -28,9            271.523                      284                     260
           Juli                          297.723             -124.428                  -29,5            271.978                      279                     255
           August                        299.970             -116.794                  -28,0            274.110                      281                     256
           September                     301.912             -107.164                  -26,2            271.488                      287                     257
           Oktober                       297.636               -95.095                 -24,2            267.167                      289                     260
           November                      290.577               -76.529                 -20,8            260.881                      296                     266
           Dezember                      281.162               -46.281                 -14,1            252.366                      306                     274

 2010 Januar                             271.338               -30.204                 -10,0            242.143                      308                     277
           Februar                       297.721               -19.791                  -6,2            266.970                      313                     281
           März                          319.889                   2.775                0,9             288.120                      323                     291
           April                         334.800                  29.354                9,6             301.880                      335                     301
           Mai                           355.322                  56.684               19,0             321.150                      349                     314
           Juni                          370.047                  73.089               24,6             334.465                      355                     321
           Juli                          390.824                  93.101               31,3             354.746                      367                     333
           August                        396.365                  96.395               32,1             361.650                      373                     339
           September                     397.640                  95.728               31,7             364.386                      378                     346
           Oktober                       400.555              102.919                  34,6             367.032                      389                     357
           November                      394.149              103.572                  35,6             360.642                      400                     367
           Dezember                      379.808                  98.646               35,1             348.331                      411                     378

 2011 Januar                             374.671              103.333                  38,1             343.913                      424                     392
           Februar                       417.224              119.503                  40,1             384.367                      439                     404
           März
           April
           Mai
           Juni
           Juli
           August
           September
           Oktober
           November
           Dezember

Datenstand: Februar 2011                                                                                               © Statistik der Bundesagentur für Arbeit
Quelle: Statistik der Bundesagentur für Arbeit , saisonbereinigte Werte: Institut für Arbeitsmarkt- und Berufsforschung
1)
     Jahresdurchschnittswerte

*) Weitergehende Informationen sind dem Methodenbericht „Umstellung der Statistik der gemeldeten Arbeitsstellen“ im Internet
http://statistik.arbeitsagentur.de/Navigation/Statistik/Grundlagen/Methodenberichte/Methodenberichte-Nav.html
zu entnehmen.


                                                                                                                                                        75
Tabellenanhang
                                                                                                               zum Monatsbericht Februar 2011

7.2 Bestand gemeldete Arbeitsstellen*)
Westdeutschland
Februar 2011

                                                      Bestand gemeldete Arbeitsstellen                                       Saisonbereinigte Werte
                                                            Veränderung gegenüber                  dar. (Sp. 1)            Bestand             dar. (Sp. 5)
                                                                   Vorjahr                       sozialversiche-          gemeldete         sozialversiche-
           Jahr/Monat                 Anzahl                                                                            Arbeitsstellen
                                                               Vorjahresmonat                    rungspflichtige                            rungspflichtige
                                                           absolut          in%                      Stellen             in Tausend             Stellen
                                         1                    2                    3                    4                      5                    6
     Jahr 20071)                         359.227                  60.157               20,1             330.083                         x                      x
     Jahr 20081)                         333.238               -25.989                  -7,2            309.741                         x                      x
     Jahr 20091)                         250.326               -82.912                 -24,9            228.295                         x                      x
     Jahr 20101)                         299.250                  48.925               19,5             271.129                         x                      x

 2009 Januar                             255.872               -45.609                 -15,1            236.855                      290                     270
           Februar                       266.815               -55.671                 -17,3            246.355                      282                     260
           März                          263.781               -71.865                 -21,4            244.023                      269                     248
           April                         252.659               -85.128                 -25,2            232.968                      254                     234
           Mai                           246.820               -94.625                 -27,7            225.872                      243                     223
           Juni                          246.022             -112.218                  -31,3            224.505                      236                     216
           Juli                          247.408             -116.196                  -32,0            225.631                      231                     211
           August                        249.597             -108.989                  -30,4            227.914                      233                     212
           September                     251.505               -99.569                 -28,4            225.759                      238                     213
           Oktober                       248.135               -88.426                 -26,3            222.708                      240                     215
           November                      241.582               -72.021                 -23,0            217.096                      245                     220
           Dezember                      233.710               -44.632                 -16,0            209.852                      253                     226

 2010 Januar                             224.514               -31.358                 -12,3            200.114                      254                     228
           Februar                       245.844               -20.971                  -7,9            219.298                      259                     232
           März                          261.912                  -1.869                -0,7            235.157                      267                     240
           April                         274.838                  22.179                8,8             247.037                      277                     249
           Mai                           293.773                  46.953               19,0             264.817                      290                     261
           Juni                          307.613                  61.591               25,0             277.171                      296                     267
           Juli                          326.947                  79.539               32,1             296.005                      306                     277
           August                        333.375                  83.778               33,6             303.351                      312                     283
           September                     334.156                  82.651               32,9             305.855                      316                     289
           Oktober                       337.082                  88.947               35,8             308.702                      326                     298
           November                      330.927                  89.345               37,0             302.648                      335                     306
           Dezember                      320.020                  86.310               36,9             293.394                      345                     316

 2011 Januar                             314.393                  89.879               40,0             288.383                      355                     328
           Februar                       347.969              102.125                  41,5             320.104                      367                     338
           März
           April
           Mai
           Juni
           Juli
           August
           September
           Oktober
           November
           Dezember

Datenstand: Februar 2011                                                                                               © Statistik der Bundesagentur für Arbeit
Quelle: Statistik der Bundesagentur für Arbeit , saisonbereinigte Werte: Institut für Arbeitsmarkt- und Berufsforschung
1)
     Jahresdurchschnittswerte

*) Weitergehende Informationen sind dem Methodenbericht „Umstellung der Statistik der gemeldeten Arbeitsstellen“ im Internet
http://statistik.arbeitsagentur.de/Navigation/Statistik/Grundlagen/Methodenberichte/Methodenberichte-Nav.html
zu entnehmen.


                                                                                                                                                        76
Tabellenanhang
                                                                                                               zum Monatsbericht Februar 2011

7.3 Bestand gemeldete Arbeitsstellen*)
Ostdeutschland
Februar 2011

                                                      Bestand gemeldete Arbeitsstellen                                       Saisonbereinigte Werte
                                                            Veränderung gegenüber                  dar. (Sp. 1)            Bestand             dar. (Sp. 5)
                                                                   Vorjahr                       sozialversiche-          gemeldete         sozialversiche-
           Jahr/Monat                 Anzahl                                                                            Arbeitsstellen
                                                               Vorjahresmonat                    rungspflichtige                            rungspflichtige
                                                           absolut          in%                      Stellen             in Tausend             Stellen
                                         1                    2                    3                    4                      5                    6
     Jahr 20071)                             63.494                6.969               12,3                 59.072                      x                     x
     Jahr 20081)                             55.437               -8.057               -12,7                51.474                      x                     x
     Jahr 20091)                             50.190               -5.247                -9,5                45.956                      x                     x
     Jahr 20101)                             59.788                9.598               19,1                 54.831                      x                     x

 2009 Januar                                 45.670               -3.701                -7,5                42.182                    53                     49
           Februar                           50.697               -2.641                -5,0                46.884                    53                     49
           März                              53.333               -3.159                -5,6                49.562                    52                     48
           April                             52.787               -4.158                -7,3                48.888                    51                     47
           Mai                               51.818               -4.484                -8,0                47.912                    50                     46
           Juni                              50.936               -8.360               -14,1                47.018                    48                     44
           Juli                              50.315               -8.232               -14,1                46.347                    48                     44
           August                            50.373               -7.805               -13,4                46.196                    48                     44
           September                         50.407               -7.595               -13,1                45.729                    49                     44
           Oktober                           49.501               -6.669               -11,9                44.459                    49                     45
           November                          48.995               -4.508                -8,4                43.785                    51                     46
           Dezember                          47.452               -1.649                -3,4                42.514                    53                     48

 2010 Januar                                 46.824                1.154                2,5                 42.029                    54                     49
           Februar                           51.877                1.180                2,3                 47.672                    54                     49
           März                              57.977                4.644                8,7                 52.963                    56                     51
           April                             59.962                7.175               13,6                 54.843                    58                     52
           Mai                               61.549                9.731               18,8                 56.333                    59                     53
           Juni                              62.434               11.498               22,6                 57.294                    59                     54
           Juli                              63.877               13.562               27,0                 58.741                    61                     56
           August                            62.990               12.617               25,0                 58.299                    61                     56
           September                         63.484               13.077               25,9                 58.531                    62                     57
           Oktober                           63.473               13.972               28,2                 58.330                    63                     59
           November                          63.222               14.227               29,0                 57.994                    65                     61
           Dezember                          59.788               12.336               26,0                 54.937                    66                     62

 2011 Januar                                 60.278               13.454               28,7                 55.530                    69                     64
           Februar                           69.255               17.378               33,5                 64.263                    72                     66
           März
           April
           Mai
           Juni
           Juli
           August
           September
           Oktober
           November
           Dezember

Datenstand: Februar 2011                                                                                               © Statistik der Bundesagentur für Arbeit
Quelle: Statistik der Bundesagentur für Arbeit , saisonbereinigte Werte: Institut für Arbeitsmarkt- und Berufsforschung
1)
     Jahresdurchschnittswerte

*) Weitergehende Informationen sind dem Methodenbericht „Umstellung der Statistik der gemeldeten Arbeitsstellen“ im Internet
http://statistik.arbeitsagentur.de/Navigation/Statistik/Grundlagen/Methodenberichte/Methodenberichte-Nav.html
zu entnehmen.


                                                                                                                                                        77
Tabellenanhang
                                                                                                  zum Monatsbericht Februar 2011

7.4 Der Bundesagentur (BA) bekanntes Stellenangebot
Deutschland
Februar 2011

                                                                         gem. Stellen für Freiberufler, Selbständige,
                                        Gemeldete Arbeitsstellen                                                         Stellenindex der BA
                                                                                 Private Arbeitsvermittlung
      Jahr / Monat                                                                                                              (BA-X)
                                     Zugang               Bestand             Zugang                   Bestand
                                        1                    2                    3                       4                         5

  2009 Januar                               99.315             301.542                 1.812                   8.326                       125
         Februar                           141.247             317.512                 2.760                   8.570                       124
         März                              131.407             317.114                 2.549                   8.810                       118
         April                             134.558             305.446                 2.393                   8.895                       114
         Mai                               134.794             298.638                 2.431                   8.693                       110
         Juni                              134.796             296.958                 2.389                   8.388                       107
         Juli                              151.177             297.723                 2.672                   8.218                       107
         August                            139.410             299.970                 2.586                   8.556                       108
         September                         151.644             301.912                 2.254                   8.293                       112
         Oktober                           146.471             297.636                 2.487                   8.642                       112
         November                          134.419             290.577                 2.228                   8.438                       113
         Dezember                          119.014             281.162                 1.619                   8.005                       116

  2010 Januar                              106.308             271.338                 1.411                   7.237                       119
         Februar                           144.134             297.721                 2.549                   8.179                       120
         März                              153.255             319.889                 2.032                   8.297                       125
         April                             169.883             334.800                 2.199                   8.432                       130
         Mai                               183.153             355.322                 2.396                   8.678                       135
         Juni                              184.191             370.047                 2.397                   8.586                       137
         Juli                              200.906             390.824                 2.422                   8.940                       140
         August                            184.963             396.365                 2.155                   8.994                       142
         September                         180.773             397.640                 2.409                   8.554                       142
         Oktober                           177.008             400.555                 2.416                   8.659                       145
         November                          171.788             394.149                 2.330                   8.685                       150
         Dezember                          160.854             379.808                 1.892                   8.107                       156

  2011 Januar                              135.775             374.671                 1.348                   7.201                       160
         Februar                           199.968             417.224                 1.796                   7.091                       166
         März
         April
         Mai
         Juni
         Juli
         August
         September
         Oktober
         November
         Dezember

Datenstand: Februar 2011                                                                                 © Statistik der Bundesagentur für Arbeit
Quelle: Statistik der Bundesagentur für Arbeit




                                                                                                                                    78
Tabellenanhang
                                                                                                                                                                                                                                                         zum Monatsbericht Februar 2011

8.1 Ausgewählte arbeitsmarktpolitische Instrumente - für Personen im Rechtskreis SGB III und SGB II - mit Förderinformationen der zkT7)
Deutschland
Februar 2011

                                                                                                                                                       Bestand                                                                                             Zugang
                                                                                                                                                                                                                                                                            seit Jahresbeginn
                                                                                                                                                                 Veränderung         Veränderung          Veränderung          Februar 2011          Veränderung
                                                                                               Februar 2011          Januar 2011                                                                                                                                                       Veränderung
                                               Instrumente                                                                                                        (Sp. 1) gg.         (Sp. 2) gg.          (Sp. 3) gg.                                (Sp. 7) gg.
                                                                                                                                        November 2010                                                                                                                                   (Sp. 9) gg.
                                          der Arbeitsmarktpolitik                              (vorläufig und       (vorläufig und                                Vorjahres-          Vorjahres-           Vorjahres-          (vorläufig und         Vorjahres-           2011         Vorjahres-
                                                                                              hochgerechnet)       hochgerechnet)                                 monat in %          monat in %           monat in %         hochgerechnet)          monat in %
                                                                                                                                                                                                                                                                                        zeitraum in
                                                                                                                                                                                                                                                                                             %
                                                                                                     1                    2                     3                     4                   5                     6                    7                     8                 9               10
Vermittlungsunterstützende Leistungen                                                                   183.076              171.076               198.440                  -34,4               -34,9                 -34,8              288.026                   -19,5    519.562             -25,9
dar. eingelöste Vermittlungsgutscheine (bewilligt 1. Rate) 1)                                                 x                    x                     x                      x                   x                     x                1.264                   -53,0       4.909            -38,3
                                                                    1) 8)                                   252                  244                   987                  -94,7               -96,7                 -96,7                   33                   -87,1          72            -88,2
     Beauftragung Dritter mit der Vermittlung (Restabwicklung)
     Förderungen aus dem Vermittlungsbudget 1)                                                                x                    x                     x                      x                   x                     x              178.317                   -11,4    321.855             -23,1
     Teilnahmen an Maßnahmen zur Aktivierung und berufl. Eingliederung                                  182.822              170.830               197.448                  -33,3               -32,9                 -27,7              108.234                   -29,4    192.355             -29,6
      dar. bei einem Arbeitgeber 1)                                                                      10.658                9.968                11.465                  -32,3               -12,1                 -23,9               30.448                   -23,0     51.327             -20,6
Qualifizierung                                                                                          207.739              212.107               226.911                   -5,8                -4,2                 -11,3               28.787                   -48,2     54.943             -42,7
dar. Berufliche Weiterbildung 6)                                                                        205.751              209.651               222.065                   -0,2                 1,4                  -5,0               27.821                   -36,0     53.064             -27,0
    ESF-Qualifizierung während Kurzarbeit 1)                                                              1.457                1.862                 3.918                  -86,9               -84,4                 -76,6                  748                   -93,1       1.453            -92,9
Förderung der Berufsausbildung (ohne BAB)                                                               356.729              355.016               382.225                  -10,4                -9,7                  -3,7               12.984                   -62,9     26.208             -56,7
     Vertiefte und erweiterte Berufsorientierung 1) 5)                                                   24.698               25.596                55.112                  -61,0               -51,8                  -8,0                  867                   -95,1       3.382            -88,5
     Berufsvorbereitende Bildungsmaßnahmen                                                               78.303               70.689                69.652                    0,2                -9,5                  -8,6                5.471                    -1,9     10.410               0,6
     Berufsausbildung Benachteiligter 1)                                                                117.271              124.979               128.304                   -8,7                -7,1                  -6,1                2.792                   -48,2       5.092            -44,5
     Einstiegsqualifizierung n. § 235b SGB III                                                           25.522               20.813                17.375                    4,5                -6,6                  -6,3                2.487                   -26,5       4.542            -23,8
     besondere Maßnahmen zur Ausbildung behinderter Menschen                                             42.669               42.513                43.333                   -1,8                -4,7                  -5,3                  298                   -31,2         538            -32,5
    Ausbildungsbonus 1)                                                                                  33.196               33.883                34.216                   20,8                23,3                  26,7                   41                   -92,9         199            -84,0
    Berufseinstiegsbegleitung 1) 5)                                                                      24.771               25.771                23.158                   19,0                24,5                  18,1                  321                   -49,8         550            -60,1
    Berufsausbildungsbeihilfe w.e. beruflichen Ausbildung (BAB) 1)                                           ...                  ...              123.113                      x                   x                  -4,6                   ...                      x           ...              x
    Sonstige Förderung der Berufsausbildung 1)                                                           10.299               10.772                11.075                  -12,7               -12,7                 -16,2                  707                   -43,1       1.495            -36,2
Beschäftigungsbegleitende Leistungen                                                                    313.175              320.154               351.428                  -13,2               -11,7                  -7,2               24.784                   -31,8     57.556             -25,7
    Förderung abhängiger Beschäftigung                                                                  172.814              176.506               200.019                  -17,5               -17,1                 -13,6               15.313                   -33,1     33.301             -27,5
     Eingliederungszuschüsse (einschl. § 421f, § 421p SGB III)                                           97.431               99.624               115.061                  -16,8               -17,2                 -15,5               12.661                   -25,1     25.954             -21,2
     Eingliederungszuschüsse f. schwerbehinderte Menschen (einschl. § 421f SGB III)                      13.144               13.116                13.423                   -0,4                -0,8                     x                  593                   -19,3       1.423            -11,8
     Eingliederungsgutschein                                                                              4.111                4.272                 4.670                  -13,9                -8,4                   2,3                  133                   -71,4         341            -64,2
     Entgeltsicherung für Ältere nach § 421j SGB III 1) 4)                                               18.161               18.403                19.798                   27,6                31,5                  37,9                   89                   -91,5       1.066            -50,6
     Arbeitsentgeltzuschuss bei berufl. Weiterbildung Beschäftigter                                       9.839                9.081                 9.270                    1,7                -9,9                 -22,8                  370                   -69,5       1.176            -51,7
     Einstiegsgeld - Variante: Beschäftigung                                                              7.656                8.095                 9.966                    2,9                 7,7                  15,8                1.281                   -16,4       2.744             -6,9
     Beschäftigungszuschuss nach § 16e SGB II                                                            22.076               23.502                27.336                  -47,6               -44,3                 -33,7                  151                   -81,6         527            -78,9
     Sonstige Förderung abhängiger Beschäftigung                                                            396                  413                   495                  -56,1               -56,6                 -61,0                   35                   -80,0          70            -81,8
    Förderung der Selbständigkeit                                                                       140.361              143.648               151.409                   -7,4                -4,0                   3,0                9.471                   -29,6     24.255             -23,1
dar. Gründungszuschuss                                                                                  131.336              134.542               141.530                   -6,4                -2,7                   4,7                8.228                   -27,7     21.491             -20,5
     Einstiegsgeld - Variante: Selbständigkeit                                                            9.025                9.106                 9.879                  -19,9               -19,5                 -15,8                  789                   -45,0       1.857            -38,8
     Sachmittel für Selbständige § 16c SGB II 1)                                                              x                    x                     x                      x                   x                     x                  454                   -28,8         907            -37,7
Beschäftigung schaffende Maßnahmen                                                                      209.597              230.034               324.648                  -29,1               -23,3                  -6,5               39.843                   -29,4     91.408             -29,5
    Arbeitsgelegenheiten nach § 16d SGB II                                                              207.610              228.339               322.629                  -28,9               -22,9                  -5,4               39.306                   -30,1     90.698             -29,8
     darunter: Variante Mehraufwand                                                                     181.141              195.667               268.930                  -27,0               -21,5                  -5,4               36.932                   -27,1     85.280             -28,0
    Beschäftigungsphase Bürgerarbeit 1)                                                                     443                   74                      -                     x                   x                     x                  403                       x         477                x
    Arbeitsbeschaffungsmaßnahmen                                                                          1.544                1.621                 2.019                  -58,1               -57,7                 -66,9                  134                   -32,7         233            -46,6
Sonstiges                                                                                                48.110               48.660                62.848                  -23,4               -23,7                 -26,8                2.944                   -55,2       6.734            -49,9
     Freie Förderung nach § 10 SGB III (Restabwicklung) 1)                                                  392                  662                   803                  -90,3               -86,1                 -88,4                     -                 -100,0            x         -100,0
     sonst. weit. Leistungen nach § 16 (2) S. 1 SGB II (Restabwicklung) 1)                                1.822                2.260                 4.216                  -87,9               -86,3                 -85,5                   88                   -92,3         181            -93,1
     Individuelle rehaspezifische Maßnahmen                                                              26.854               25.794                31.449                   -1,0                -5,9                  -6,9                  843                     6,2       1.730             -2,7
    Freie Förderung nach § 16f SGB II 1)                                                                 16.522               17.407                23.858                    9,9                28,5                  62,5                1.928                   -57,2       4.594            -46,3
     darunter: Einmalleistungen 1)                                                                            x                    x                     x                      x                   x                     x                  159                   -58,3         335            -48,7
    Unterstützte Beschäftigung Reha 1)                                                                    2.520                2.537                 2.522                   55,2                62,8                  87,5                   85                   -26,1         229             -3,4
Summe der Instrumente mit Einmalleistungen 2) und ohne BAB                                            1.318.426            1.337.047             1.546.500                  -18,5               -16,6                 -12,6              397.368                   -27,5    756.411             -29,8
Summe der Instrumente ohne Einmalleistungen 2) und ohne BAB                                           1.318.426            1.337.047             1.546.500                  -18,5               -16,6                 -12,6              216.973                   -36,6    427.985             -34,0
Kommunale Eingliederungsleistungen (flankierende Leistungen) nach § 16a SGB II 1) 3)                     37.061               35.867                53.120                  -14,8               -10,6                  10,7                4.926                   -32,9     10.731             -33,2
Kurzarbeiter 9)                                                                                              ...                  ...                   ...                     x                   x                     x                    x                       x            x               x
Erstellungsdatum: 22.02.2011 DZ-FST                                                                                                                                                                                                                                        © Bundesagentur für Arbeit
Quelle: Statistik der Bundesagentur für Arbeit
*) Die erhobenen Daten unterliegen grundsätzlich der Geheimhaltung nach § 16 BStatG. Eine Übermittlung von Einzelangaben ist daher ausgeschlossen. Aus diesem Grund werden bei den hier dargestellten Daten auch Zahlenwerte kleiner 3 anonymisiert.
Am aktuellen Rand werden die Daten aufgrund von Erfahrungswerten hochgerechnet. Dies gilt jedoch nicht für die Daten der zkT, was ebenso den Vorjahresvergleich einschränkt wie die unterschiedliche Vollständigkeit der von den zkT übermittelten Daten.
Endgültige statistische Ergebnisse zum Einsatz arbeitsmarktpolitischer Instrumente stehen erst nach einer Wartezeit von drei Monaten fest.
1) Die Hochrechnung am aktuellen Rand ist derzeit aufgrund fehlender Erfahrungswerte oder technisch nicht realisierbar, darum ist der Vergleich mit Vorjahresergebnissen nur eingeschränkt möglich.
2) Die Einmalleistungen umfassen: Vermittlungsgutschein, Förderungen aus dem Vermittlungsbudget, Sachmittel für Selbständige, sowie Einmalleistungen zu den sonstigen weiteren Leistungen nach § 16 (2) S. 1 SGB II und zur Freien Förderung nach § 16f SGB II
3) Es ist von einer Untererfassung auszugehen, so haben bundesweit für 2010 [Januar bis September, Datenstand Dezember 2010 - endgültige Werte] nur ca. 69 % der Träger Daten zum Einsatz der komm. Eingliederungsleistungen (flankierende Leistungen) erfasst.
4) Als Datengrundlage dienen Zahldaten, die grundsätzlich je Kalendermonat im Nachhinein erfasst werden. Zugänge des aktuellen Berichtsmonats sind somit nur bis zum Ende des Vormonats verfügbar.
5) Aus datenschutzrechtlichen bzw. technischen Gründen werden derzeit nicht alle Teilnahmen erfasst. Bis auf weiteres ist von einer Untererfassung der Teilnahmen auszugehen.
6) Einschließlich der Daten zur Förderung der Teilhabe behinderter Menschen am Arbeitsleben; derzeit nicht trennscharf berichtsfähig.
7) Auf Grund der Trägergebietsreform in Sachsen und Sachsen-Anhalt zum 1. Januar 2011 ergeben sich Untererfassungen bei einzelnen Jobcentern in kommunaler Trägerschaft.
8) Die individuelle Förderung der Teilnehmer mit Beginn ab 01.01.2009 erfolgt auf Grundlage des zum 01.01.2009 eingeführten § 46 SGB III.
                                                                                                                                                                                                                                                                                         79
9) Ab Januar 2009 werden revidierte Werte auf Basis von Abrechnungslisten berichtet, bis Dezember 2008 erfolgt die Ermittlung der Werte auf Basis von Betriebsmeldungen.
Tabellenanhang
                                                                                                                                                                                                                                                           zum Monatsbericht Februar 2011

8.2 Ausgewählte arbeitsmarktpolitische Instrumente - für Personen im Rechtskreis SGB III
Deutschland
Februar 2011

                                                                                                                                                         Bestand                                                                                            Zugang
                                                                                                                                                                                                                                                                           seit Jahresbeginn
                                                                                                                                                                   Veränderung         Veränderung          Veränderung           Februar 2011         Veränderung
                                                                                                Februar 2011          Januar 2011                                                                                                                                                      Veränderung
                                               Instrumente                                                                                                          (Sp. 1) gg.         (Sp. 2) gg.          (Sp. 3) gg.                                (Sp. 7) gg.
                                                                                                                                           November 2010                                                                                                                                (Sp. 9) gg.
                                          der Arbeitsmarktpolitik                               (vorläufig und        (vorläufig und                                Vorjahres-          Vorjahres-           Vorjahres-           (vorläufig und        Vorjahres-        2011
                                                                                                                                                                                                                                                                                        Vorjahres-
                                                                                               hochgerechnet)        hochgerechnet)                                 monat in %          monat in %           monat in %          hochgerechnet)         monat in %
                                                                                                                                                                                                                                                                                       zeitraum in %
                                                                                                      1                     2                    3                      4                   5                     6                     7                   8               9               10
Vermittlungsunterstützende Leistungen                                                                      39.922                35.614               41.940                  -68,8               -72,2                 -72,2               119.867               -29,4    205.543            -37,0
dar. eingelöste Vermittlungsgutscheine (bewilligt 1. Rate) 1)                                                   x                     x                    x                      x                   x                     x                   276               -74,6       1.667           -55,3
     Beauftragung Dritter mit der Vermittlung (Restabwicklung) 1) 8)                                             -                     -                    -                -100,0              -100,0                -100,0                      -                  x           x               x
     Förderungen aus dem Vermittlungsbudget 1)                                                                  x                     x                    x                      x                   x                     x                80.235               -16,2    137.595            -27,9
     Teilnahmen an Maßnahmen zur Aktivierung und berufl. Eingliederung                                     39.922                35.614               41.940                  -68,8               -72,0                 -70,4                39.356               -46,0     66.281            -49,6
      dar. bei einem Arbeitgeber 1)                                                                         5.331                 4.671                4.691                  -41,3               -31,1                 -44,0                17.209               -32,8     28.200            -32,2
Qualifizierung                                                                                            122.790               123.175              121.394                    5,6                 4,3                 -14,8                15.830               -52,9     33.194            -43,5
dar. Berufliche Weiterbildung 6)                                                                          121.333               121.313              117.476                   15,4                14,5                  -6,2                15.082               -33,7     31.741            -16,6
    ESF-Qualifizierung während Kurzarbeit 1)                                                                1.457                 1.862                3.918                  -86,9               -84,4                 -76,6                   748               -93,1       1.453           -92,9
Förderung der Berufsausbildung (ohne BAB)                                                                 307.901               305.357              331.297                  -10,5                -9,6                  -2,7                11.788               -63,8     23.764            -57,3
     Vertiefte und erweiterte Berufsorientierung 1) 5)                                                     24.589                25.485               54.740                  -60,8               -51,4                  -7,9                   865               -95,1       3.373           -88,4
     Berufsvorbereitende Bildungsmaßnahmen                                                                 78.303                70.689               69.652                    0,2                -9,5                  -8,6                 5.471                -1,9     10.410              0,6
     Berufsausbildung Benachteiligter 1)                                                                   81.254                87.286               88.867                   -8,8                -6,4                  -4,8                 2.479               -43,5       4.301           -37,2
     Einstiegsqualifizierung n. § 235b SGB III                                                             18.683                15.042               12.580                    5,4                -7,5                  -8,2                 1.720               -23,6       3.142           -21,0
     besondere Maßnahmen zur Ausbildung behinderter Menschen                                               38.217                37.890               38.533                    0,9                -2,4                  -2,7                   267               -29,9         495           -30,1
    Ausbildungsbonus 1)                                                                                    33.196                33.883               34.216                   20,8                23,3                  26,7                    41               -92,9         199           -84,0
    Berufseinstiegsbegleitung 1) 5)                                                                        24.771                25.771               23.158                   19,0                24,5                  18,1                   321               -49,8         550           -60,1
    Berufsausbildungsbeihilfe w.e. beruflichen Ausbildung (BAB) 1)                                             ...                   ...             123.113                      x                   x                  -4,6                    ...                  x          ...              x
    Sonstige Förderung der Berufsausbildung 1)                                                              8.888                 9.311                9.551                  -13,6               -13,4                 -17,4                   624               -42,4       1.294           -36,3
Beschäftigungsbegleitende Leistungen                                                                      210.567               213.996              229.280                  -11,1                -9,7                  -7,2                14.919               -36,0     36.195            -28,2
    Förderung abhängiger Beschäftigung                                                                     79.231                79.454               87.750                  -17,9               -19,5                 -21,5                 6.691               -43,8     14.704            -37,0
     Eingliederungszuschüsse (einschl. § 421f, § 421p SGB III)                                             39.006                39.588               45.594                  -33,7               -35,0                 -36,2                 5.686               -34,7     11.165            -33,3
     Eingliederungszuschüsse f. schwerbehinderte Menschen (einschl. § 421f SGB III)                         8.230                 8.221                8.526                   -8,6                -9,1                     x                   416               -10,0         961            -7,1
     Eingliederungsgutschein                                                                                4.091                 4.252                4.646                  -13,9                -8,4                   2,2                   133               -71,3         341           -64,0
     Entgeltsicherung für Ältere nach § 421j SGB III 1) 4)                                                 18.161                18.403               19.798                   27,6                31,5                  37,9                    89               -91,5       1.066           -50,6
     Arbeitsentgeltzuschuss bei berufl. Weiterbildung Beschäftigter                                         9.731                 8.975                9.158                    2,0                -9,9                 -23,0                   367               -69,3       1.169           -51,5
     Sonstige Förderung abhängiger Beschäftigung                                                               12                    15                   28                  -92,4               -91,9                 -92,0                      -             -100,0            *          -96,4
    Förderung der Selbständigkeit                                                                         131.336               134.542              141.530                   -6,4                -2,7                   4,7                 8.228               -27,7     21.491            -20,5
dar. Gründungszuschuss                                                                                    131.336               134.542              141.530                   -6,4                -2,7                   4,7                 8.228               -27,7     21.491            -20,5
Beschäftigung schaffende Maßnahmen                                                                            820                   822                1.038                  -60,5               -61,6                 -66,3                   126               -26,3         221           -37,0
    Arbeitsbeschaffungsmaßnahmen                                                                              820                   822                1.038                  -60,5               -61,6                 -66,3                   126               -26,3         221           -37,0
Sonstiges                                                                                                  29.443                28.666               34.447                   -9,7               -14,6                 -17,8                   915                 1,7       1.924           -14,1
     Freie Förderung nach § 10 SGB III (Restabwicklung) 1)                                                    392                   662                  803                  -90,3               -86,1                 -88,4                      -             -100,0           x          -100,0
     Individuelle rehaspezifische Maßnahmen                                                                26.854                25.794               31.449                   -1,0                -5,9                  -6,9                   843                 6,2       1.730            -2,7
    Unterstützte Beschäftigung Reha 1)                                                                      2.197                 2.210                2.195                   52,9                59,6                  81,3                    72               -22,6         194             2,6
Summe der Instrumente mit Einmalleistungen 2) und ohne BAB                                                711.443               707.630              759.396                  -17,3               -17,4                 -18,0               163.445               -37,2    300.841            -39,1
Summe der Instrumente ohne Einmalleistungen 2) und ohne BAB                                               711.443               707.630              759.396                  -17,3               -17,4                 -18,0                82.934               -49,3    161.579            -46,0
Kurzarbeiter 9)                                                                                                ...                   ...                  ...                     x                   x                     x                     x                   x           x               x
Erstellungsdatum: 22.02.2011 DZ-FST                                                                                                                                                                                                                                       © Bundesagentur für Arbeit
Quelle: Statistik der Bundesagentur für Arbeit
*) Die erhobenen Daten unterliegen grundsätzlich der Geheimhaltung nach § 16 BStatG. Eine Übermittlung von Einzelangaben ist daher ausgeschlossen. Aus diesem Grund werden bei den hier dargestellten Daten auch Zahlenwerte kleiner 3 anonymisiert.
Am aktuellen Rand werden die Daten aufgrund von Erfahrungswerten hochgerechnet.
Endgültige statistische Ergebnisse zum Einsatz arbeitsmarktpolitischer Instrumente stehen erst nach einer Wartezeit von drei Monaten fest.
1) Die Hochrechnung am aktuellen Rand ist derzeit aufgrund fehlender Erfahrungswerte oder technisch nicht realisierbar, darum ist der Vergleich mit Vorjahresergebnissen nur eingeschränkt möglich.
2) Die Einmalleistungen umfassen: Vermittlungsgutschein und Förderungen aus dem Vermittlungsbudget
4) Als Datengrundlage dienen Zahldaten, die grundsätzlich je Kalendermonat im Nachhinein erfasst werden. Zugänge des aktuellen Berichtsmonats sind somit nur bis zum Ende des Vormonats verfügbar.
5) Aus datenschutzrechtlichen bzw. technischen Gründen werden derzeit nicht alle Teilnahmen erfasst. Bis auf weiteres ist von einer Untererfassung der Teilnahmen auszugehen.
6) Einschließlich der Daten zur Förderung der Teilhabe behinderter Menschen am Arbeitsleben; derzeit nicht trennscharf berichtsfähig.
8) Die individuelle Förderung der Teilnehmer mit Beginn ab 01.01.2009 erfolgt auf Grundlage des zum 01.01.2009 eingeführten § 46 SGB III.
9) Ab Januar 2009 werden revidierte Werte auf Basis von Abrechnungslisten berichtet, bis Dezember 2008 erfolgt die Ermittlung der Werte auf Basis von Betriebsmeldungen.




                                                                                                                                                                                                                                                                            80
Tabellenanhang
                                                                                                                                                                                                                                                            zum Monatsbericht Februar 2011
                                                                                                                                                                  7)
8.3 Ausgewählte arbeitsmarktpolitische Instrumente - für Personen im Rechtskreis SGB II - mit Förderinformationen der zkT
Deutschland
Februar 2011

                                                                                                                                                        Bestand                                                                                              Zugang
                                                                                                                                                                                                                                                                            seit Jahresbeginn
                                                                                                                                                                  Veränderung         Veränderung           Veränderung          Februar 2011          Veränderung
                                                                                                Februar 2011          Januar 2011                                                                                                                                                      Veränderung
                                               Instrumente                                                                                                         (Sp. 1) gg.         (Sp. 2) gg.           (Sp. 3) gg.                                (Sp. 7) gg.
                                                                                                                                          November 2010                                                                                                                                 (Sp. 9) gg.
                                          der Arbeitsmarktpolitik                               (vorläufig und       (vorläufig und                                Vorjahres-          Vorjahres-            Vorjahres-          (vorläufig und         Vorjahres-         2011
                                                                                                                                                                                                                                                                                        Vorjahres-
                                                                                               hochgerechnet)       hochgerechnet)                                 monat in %          monat in %            monat in %         hochgerechnet)          monat in %
                                                                                                                                                                                                                                                                                       zeitraum in %
                                                                                                      1                    2                     3                     4                    5                     6                     7                    8               9              10
Vermittlungsunterstützende Leistungen                                                                     143.154              135.462               156.500                  -5,2                  0,6                  1,9                168.159                -10,6    314.019            -16,2
dar. eingelöste Vermittlungsgutscheine (bewilligt 1. Rate) 1)                                                   x                    x                     x                     x                    x                    x                    988                -38,4       3.242           -23,3
     Beauftragung Dritter mit der Vermittlung (Restabwicklung) 1) 8)                                          252                  244                   987                 -94,6                -96,5                -95,5                     33                -87,1          72           -88,2
     Förderungen aus dem Vermittlungsbudget 1)                                                                  x                    x                     x                     x                    x                    x                 98.082                 -7,0    184.260            -19,1
     Teilnahmen an Maßnahmen zur Aktivierung und berufl. Eingliederung                                    142.900              135.216               155.508                  -2,3                  6,1                 18,5                 68.878                -14,3    126.074            -10,9
      dar. bei einem Arbeitgeber 1)                                                                         5.327                5.297                 6.774                 -20,1                 16,0                  1,4                 13.239                 -5,1     23.127              0,2
Qualifizierung                                                                                             84.949               88.932               105.517                 -18,4                -14,0                 -7,0                 12.957                -41,1     21.749            -41,4
dar. Berufliche Weiterbildung 6)                                                                           84.418               88.338               104.589                 -16,4                -12,4                 -3,7                 12.739                -38,5     21.323            -38,3
Förderung der Berufsausbildung (ohne BAB)                                                                  48.828               49.659                50.928                  -9,3                -10,4                 -9,9                  1.196                -50,4       2.444           -50,3
     Vertiefte und erweiterte Berufsorientierung 1) 5)                                                        109                  111                   372                 -85,1                -83,5                -25,7                      *                -97,1           9           -95,6
     Berufsvorbereitende Bildungsmaßnahmen 10)                                                                  -                    -                     -                     x                    x                    x                      -                    x           x               x
     Berufsausbildung Benachteiligter 1)                                                                   36.017               37.693                39.437                  -8,4                 -8,8                 -9,1                    313                -68,8         791           -66,0
     Einstiegsqualifizierung n. § 235b SGB III                                                              6.839                5.771                 4.795                   2,0                 -4,3                 -0,7                    767                -32,1       1.400           -29,3
     besondere Maßnahmen zur Ausbildung behinderter Menschen                                                4.452                4.623                 4.800                 -20,3                -20,3                -22,0                     31                -40,4          43           -51,7
    Sonstige Förderung der Berufsausbildung 1)                                                              1.411                1.461                 1.524                  -6,3                 -8,4                 -8,3                     83                -47,5         201           -36,0
Beschäftigungsbegleitende Leistungen                                                                      102.608              106.158               122.148                 -17,4                -15,4                 -7,1                  9.865                -24,5     21.361            -21,1
    Förderung abhängiger Beschäftigung                                                                     93.583               97.052               112.269                 -17,1                -15,0                 -6,2                  8.622                -21,6     18.597            -17,6
     Eingliederungszuschüsse (einschl. § 421f, § 421p SGB III)                                             58.425               60.036                69.467                   0,3                  1,1                  7,5                  6.975                -15,0     14.789             -8,6
     Eingliederungszuschüsse f. schwerbehinderte Menschen (einschl. § 421f SGB III)                         4.914                4.895                 4.897                  17,0                 17,1                    x                    177                -35,2         462           -20,1
     Eingliederungsgutschein                                                                                   20                   20                    24                   5,3                  0,0                 41,2                      -               -100,0           x          -100,0
     Arbeitsentgeltzuschuss bei berufl. Weiterbildung Beschäftigter                                           108                  106                   112                 -16,3                -13,8                 -7,4                      3                -81,3           7           -75,0
     Einstiegsgeld - Variante: Beschäftigung                                                                7.656                8.095                 9.966                   2,9                  7,7                 15,8                  1.281                -16,4       2.744            -6,9
     Beschäftigungszuschuss nach § 16e SGB II                                                              22.076               23.502                27.336                 -47,6                -44,3                -33,7                    151                -81,6         527           -78,9
     Sonstige Förderung abhängiger Beschäftigung                                                              384                  398                   467                 -48,5                -48,0                -49,2                     35                -75,5          68           -79,3
    Förderung der Selbständigkeit                                                                           9.025                9.106                 9.879                 -19,9                -19,5                -15,8                  1.243                -40,0       2.764           -38,5
     Einstiegsgeld - Variante: Selbständigkeit                                                              9.025                9.106                 9.879                 -19,9                -19,5                -15,8                    789                -45,0       1.857           -38,8
     Sachmittel für Selbständige § 16c SGB II 1)                                                                x                    x                     x                     x                    x                    x                    454                -28,8         907           -37,7
Beschäftigung schaffende Maßnahmen                                                                        208.777              229.212               323.610                 -28,9                -23,0                 -6,0                 39.717                -29,4     91.187            -29,4
    Arbeitsgelegenheiten nach § 16d SGB II                                                                207.610              228.339               322.629                 -28,9                -22,9                 -5,4                 39.306                -30,1     90.698            -29,8
     darunter: Variante Mehraufwand                                                                       181.141              195.667               268.930                 -27,0                -21,5                 -5,4                 36.932                -27,1     85.280            -28,0
    Beschäftigungsphase Bürgerarbeit 1)                                                                       443                   74                     -                     x                    x                    x                    403                    x         477               x
    Arbeitsbeschaffungsmaßnahmen                                                                              724                  799                   981                 -55,0                -52,7                -67,4                      8                -71,4          12           -85,9
Sonstiges                                                                                                  18.667               19.994                28.401                 -38,2                -33,8                -35,4                  2.029                -64,2       4.810           -57,1
     sonst. weit. Leistungen nach § 16 (2) S. 1 SGB II (Restabwicklung) 1)                                  1.822                2.260                 4.216                 -87,9                -86,3                -85,5                     88                -92,3         181           -93,1
     Individuelle rehaspezifische Maßnahmen                                                                     -                    -                     -                     x                    x                    x                      -                    x           x               x
   Freie Förderung nach § 16f SGB II 1)                                                                    16.522               17.407                23.858                   9,9                 28,5                 62,5                  1.928                -57,2       4.594           -46,3
    darunter: Einmalleistungen 1)                                                                               x                    x                     x                     x                    x                    x                    159                -58,3         335           -48,7
   Unterstützte Beschäftigung Reha 1)                                                                         323                  327                   327                  72,7                 89,0                144,0                     13                -40,9          35           -27,1
Summe der Instrumente mit Einmalleistungen 2) und ohne BAB                                                606.983              629.417               787.104                 -19,8                -15,7                 -6,6                233.923                -18,6    455.570            -22,1
Summe der Instrumente ohne Einmalleistungen 2) und ohne BAB                                               606.983              629.417               787.104                 -19,8                -15,7                 -6,6                134.039                -25,1    266.406            -23,7
Kommunale Eingliederungsleistungen (flankierende Leistungen) nach § 16a SGB II 1) 3)                       37.061               35.867                53.120                 -14,8                -10,6                 10,7                  4.926                -32,9     10.731            -33,2
Erstellungsdatum: 22.02.2011 DZ-FST                                                                                                                                                                                                                                        © Bundesagentur für Arbeit
Quelle: Statistik der Bundesagentur für Arbeit
*) Die erhobenen Daten unterliegen grundsätzlich der Geheimhaltung nach § 16 BStatG. Eine Übermittlung von Einzelangaben ist daher ausgeschlossen. Aus diesem Grund werden bei den hier dargestellten Daten auch Zahlenwerte kleiner 3 anonymisiert.
Am aktuellen Rand werden die Daten aufgrund von Erfahrungswerten hochgerechnet. Dies gilt jedoch nicht für die Daten der zkT, was ebenso den Vorjahresvergleich einschränkt wie die unterschiedliche Vollständigkeit der von den zkT übermittelten Daten.
Endgültige statistische Ergebnisse zum Einsatz arbeitsmarktpolitischer Instrumente stehen erst nach einer Wartezeit von drei Monaten fest.
1) Die Hochrechnung am aktuellen Rand ist derzeit aufgrund fehlender Erfahrungswerte oder technisch nicht realisierbar, darum ist der Vergleich mit Vorjahresergebnissen nur eingeschränkt möglich.
2) Die Einmalleistungen umfassen: Vermittlungsgutschein, Förderungen aus dem Vermittlungsbudget, Sachmittel für Selbständige, sowie Einmalleistungen zu den sonstigen weiteren Leistungen nach § 16 (2) S. 1 SGB II und zur Freien Förderung nach § 16f SGB II
3) Es ist von einer Untererfassung auszugehen, so haben bundesweit für 2010 [Januar bis September, Datenstand Dezember 2010 - endgültige Werte] nur ca. 69 % der Träger Daten zum Einsatz der komm. Eingliederungsleistungen (flankierende Leistungen) erfasst.
5) Aus datenschutzrechtlichen bzw. technischen Gründen werden derzeit nicht alle Teilnahmen erfasst. Bis auf weiteres ist von einer Untererfassung der Teilnahmen auszugehen.
6) Einschließlich der Daten zur Förderung der Teilhabe behinderter Menschen am Arbeitsleben; derzeit nicht trennscharf berichtsfähig.
7) Auf Grund der Trägergebietsreform in Sachsen und Sachsen-Anhalt zum 1. Januar 2011 ergeben sich Untererfassungen bei einzelnen Jobcentern in kommunaler Trägerschaft.
8) Die individuelle Förderung der Teilnehmer mit Beginn ab 01.01.2009 erfolgt auf Grundlage des zum 01.01.2009 eingeführten § 46 SGB III.
9) Ab Januar 2009 werden revidierte Werte auf Basis von Abrechnungslisten berichtet, bis Dezember 2008 erfolgt die Ermittlung der Werte auf Basis von Betriebsmeldungen.
10) Ab Datenstand Februar 2011 rückwirkende Zuordnung der Kostenträgerschaft zu SGB III.
                                                                                                                                                                                                                                                                             81

Monatsbericht-201102.pdf

  • 1.
    Der Arbeits- undAusbildungsmarkt in Deutschland Februar 2011 Monatsbericht
  • 2.
    Monatsbericht Februar 2011 Bundesagentur für Arbeit Herausgabe: Bundesagentur für Arbeit 90327 Nürnberg Kontakt für Auskünfte zum Monatsbericht: Michael Hartmann: 0911 179-3611 Katrin Schmidt: 0911 179-1077 Judith Wüllerich: 0911 179-5448 E-Mail: arbeitsmarktberichterstattung@arbeitsagentur.de Zitiervorschlag: Bundesagentur für Arbeit: Der Arbeits- und Ausbildungsmarkt in Deutschland - Monatsbericht Februar 2011, Nürnberg 2011. Weiterführende Informationen der Statistik der Bundesagentur für Arbeit finden Sie im Internet unter: Direkt: http://statistik.arbeitsagentur.de (ohne www) Hier finden Sie statistische Informationen und Erläuterungen zu Themen wie Arbeitsmarkt Arbeitsmarktpolitische Maßnahmen Ausbildungsmarkt Beschäftigung Grundsicherung Leistung Zahlreiche Statistiken sind auch regional verfügbar. Daneben werden statistische Analysen zum Arbeitsmarkt und zur Grundsiche- rung angeboten. In der Rubrik „Grundlagen“ finden sich ausführliche Hintergrundinformationen zu den verschiedenen Statistiken. Der aktuelle Monatsbericht, alle Grafiken zum Monatsbericht sowie weitere Broschüren und Berichte sind unter der Rubrik „Ar- beitsmarktberichte“ abrufbar. Newsletter zur Statistik und Arbeitsmarktberichterstattung Der gemeinsame Newsletter der Statistik und Arbeitsmarktberichterstattung informiert Sie monatlich über aktuelle Berichte, wie z. B. den Monatsbericht oder den BA-Stellenindex "BA-X" und stellt neue Veröffentlichungen, Dienstleistungen und andere Neuigkeiten aus der Statistik vor. In unregelmäßigen Abständen werden Sie zudem über die neuesten Sonderberichte auf dem Laufenden gehalten. Der Newsletter ist selbstverständlich kostenlos. Abonnement unter http://statistik.arbeitsagentur.de/Navigation/Statistik/Service/Newsletter/Newsletter-Nav.html Kontakt für weiterführende Informationen/ Statistiken/ Auswertungen (diese sind teilweise kostenpflichtig): Bundesagentur für Arbeit BA-Service-Haus Statistik-Datenzentrum Hotline: 01801 78722-10 (Festnetzpreis 3,9 ct/min; Mobilfunkpreise abweichend. Ab 01.03.2010 gilt: Mobilfunkpreise höchstens 42 ct/min) Fax: 01801 78722-11 E-Mail: statistik-datenzentrum@arbeitsagentur.de 2
  • 3.
    Monatsbericht Februar 2011 Bundesagentur für Arbeit Inhaltsverzeichnis Zusammenfassung............................................................................................................................................. 6 I. Arbeitsmarkt im Februar 2011 - Arbeitsmarkt entwickelt sich weiter positiv................................................... 7 1. Realisierte Arbeitskräftenachfrage ............................................................................................................. 7 1.1 Entwicklung der Erwerbstätigkeit .......................................................................................................... 7 1.2 Entwicklung der sozialversicherungspflichtigen Beschäftigung nach Ländern und Wirtschaftszweigen ............................................................................................................................... 8 1.3 Kurzarbeitergeld ................................................................................................................................... 8 2. Nicht realisierte Arbeitskräftenachfrage ................................................................................................... 10 2.1 Gemeldete Arbeitsstellen.................................................................................................................... 10 2.2 BA Stellenindex BA-X ......................................................................................................................... 11 2.3 Gesamtwirtschaftliches Stellenangebot .............................................................................................. 11 3. Arbeitslosigkeit und Unterbeschäftigung .................................................................................................. 11 3.1 Entwicklung im Bund .......................................................................................................................... 12 3.2 Entwicklung in West- und Ostdeutschland ......................................................................................... 13 3.3 Entwicklung nach Rechtskreisen und Langzeitarbeitslosigkeit .......................................................... 13 3.4 Arbeitslosigkeit – Zu- und Abgänge .................................................................................................... 14 3.5 Arbeitslosenquoten ............................................................................................................................. 16 3.6 Unterbeschäftigung ............................................................................................................................. 16 3.7 Erwerbslosigkeit nach ILO und internationaler Vergleich ................................................................... 17 II. Soziale Sicherung bei Arbeitslosigkeit ......................................................................................................... 19 1. Überblick ................................................................................................................................................... 19 2. Arbeitslosenversicherung ......................................................................................................................... 20 2.1 Bezieher von Arbeitslosengeld ........................................................................................................... 20 2.2 Zugang und Abgang von Arbeitslosengeld-Empfängern.................................................................... 20 2.3 Höhe des Arbeitslosengeldes ............................................................................................................. 21 3. Grundsicherung für Arbeitsuchende......................................................................................................... 21 3.1 Erwerbsfähige Hilfebedürftige ............................................................................................................ 21 3.2 Erwerbstätige Leistungsbezieher ....................................................................................................... 22 3.3 Bedarfsgemeinschaften und hilfebedürftige Personen ....................................................................... 23 3.4 Zugang und Abgang von erwerbsfähigen Hilfebedürftigen ................................................................ 23 3.5 Hilfequoten .......................................................................................................................................... 24 3.6 Höhe der Geldleistungen .................................................................................................................... 24 III. Ausbildungsmarkt........................................................................................................................................ 25 IV. Einsatz der arbeitsmarktpolitischen Instrumente ........................................................................................ 26 1. Umfang der eingesetzten arbeitsmarktpolitischen Instrumente ............................................................... 26 1.1 Teilnahme an Maßnahmen zur Aktivierung und beruflichen Eingliederung ....................................... 26 1.2 Förderung der beruflichen Weiterbildung ........................................................................................... 26 1.2.1 Qualifizierung über das Programm WeGebAU .............................................................................. 27 1.3 Eingliederungszuschüsse ................................................................................................................... 27 1.4 Förderung der Selbständigkeit ........................................................................................................... 27 2. Förderung im Bereich SGB III .................................................................................................................. 27 3
  • 4.
    Monatsbericht Februar 2011 Bundesagentur für Arbeit 2.1 Aktuelle Entwicklungen des Fördergeschehens im SGB III ............................................................... 28 2.2 Förderung der Aufnahme einer selbständigen Tätigkeit durch Gründungszuschuss ........................ 28 3. Förderung im Bereich SGB II ................................................................................................................... 28 3.1 Aktuelle Entwicklungen des Fördergeschehens im SGB II ................................................................ 29 3.2 Einstiegsgeld ...................................................................................................................................... 29 3.3 Arbeitsgelegenheiten .......................................................................................................................... 29 3.4 Bürgerarbeit ........................................................................................................................................ 29 3.5 Beschäftigungszuschuss .................................................................................................................... 30 4. Förderung der Berufsausbildung .............................................................................................................. 30 4.1 Berufsvorbereitende Bildungsmaßnahmen ........................................................................................ 30 4.2 Berufsausbildung Benachteiligter ....................................................................................................... 31 4.3 Einstiegsqualifizierung ........................................................................................................................ 31 4.4 Ausbildungsbonus .............................................................................................................................. 31 V. Wichtige statistische Hinweise zur Interpretation ........................................................................................ 32 VI. Arbeitsmarkt Gesamtübersicht ................................................................................................................... 45 VII Tabellenanhang .......................................................................................................................................... 46 4
  • 5.
    Monatsbericht Februar 2011 Bundesagentur für Arbeit Abbildungsverzeichnis Abbildung 1 Erwerbstätige und sozialversicherungspflichtig Beschäftigte .................................................. 8 Abbildung 2 Kurzarbeit ................................................................................................................................. 9 Abbildung 3 Konjunkturell bedingte Kurzarbeit ............................................................................................ 9 Abbildung 4 Gemeldetes Arbeitsstellenangebot ........................................................................................ 10 Abbildung 5 Bestand, Zugang und Abgang gemeldeter Arbeitsstellen ...................................................... 11 Abbildung 6 Arbeitslose .............................................................................................................................. 13 Abbildung 7 Arbeitslose nach Rechtskreisen ............................................................................................. 14 Abbildung 8 Langzeitarbeitslosigkeit .......................................................................................................... 14 Abbildung 9 Zugang in und Abgang aus Arbeitslosigkeit ........................................................................... 15 Abbildung 10 Saisonbereinigte Erwerbslosenquoten ................................................................................. 18 Abbildung 11 Saisonbereinigte Erwerbslosenquoten in der EU................................................................. 18 Abbildung 12 Arbeitslosigkeit und Leistungsbezug .................................................................................... 19 Abbildung 13 Leistungsempfänger nach Rechtskreisen ............................................................................ 20 Abbildung 14 Struktur der erwerbsfähigen Hilfebedürftigen....................................................................... 22 Abbildung 15 Bedarfsgemeinschaften und hilfebedürftige Personen ........................................................ 23 Abbildung 16 Beschäftigung schaffende Maßnahmen............................................................................... 27 Abbildung 17 Förderung der Selbständigkeit im SGB III ............................................................................ 28 5
  • 6.
    Monatsbericht Februar 2011 Bundesagentur für Arbeit Zusammenfassung Arbeitsmarkt entwickelt sich weiter positiv Die Erholung in der deutschen Wirtschaft hat sich fortgesetzt. Nach ersten Berechnungen des Statisti- schen Bundesamtes ist das reale Bruttoinlandsprodukt im vierten Quartal 2010 saison- und kalenderbe- reinigt um 0,4 Prozent gewachsen, nach +0,7 Prozent im dritten Quartal. Dass das Wachstum zuletzt etwas schwächer ausgefallen ist, dürfte mit dem kalten und schneereichen Dezember zusammenhängen. Die konjunkturellen Frühindikatoren wie ifo-Geschäftsklimaindex und ZEW-Konjunkturerwartungen sind weiter deutlich nach oben gerichtet. Der Arbeitsmarkt entwickelt sich uneingeschränkt positiv. Die Er- werbstätigkeit und die sozialversicherungspflichtige Beschäftigung nahmen saisonbereinigt kräftig zu. Arbeitslosigkeit und Unterbeschäftigung sind im Februar saisonbereinigt deutlich gesunken. Der BA-X als Indikator für die Arbeitskräftenachfrage ist erneut stark gestiegen und überschreitet den Höchstwert des vergangenen Konjunkturzyklus. Zur sozialen Sicherung bei Arbeitslosigkeit Im Februar erhielten 5.732.000 erwerbsfähige Menschen Lohnersatzleistungen nach dem SGB III oder Leistungen zur Sicherung des Lebensunterhalts nach dem SGB II. Die Zahl der Leistungsempfänger ist damit im Vorjahresvergleich um 504.000 zurückgegangen. Integrierte Auswertungen zu Leistungsbezug und Arbeitslosigkeit liegen für den Oktober vor. Danach waren 47 Prozent der Leistungsempfänger ar- beitslos gemeldet. Von allen Arbeitslosen erhielten 88 Prozent Leistungen aus der Arbeitslosenversiche- rung oder der Grundsicherung für Arbeitsuchende. Zum Ausbildungsmarkt Im Gegensatz zum Arbeitsmarkt ist der Ausbildungsmarkt nicht auf einen umgehenden Ausgleich von Angebot und Nachfrage gerichtet. Vielmehr orientieren sich Jugendliche und Ausbildungsbetriebe am regulären Beginn der Ausbildung im August und September. Kumulierte Stellen und Bewerbermeldungen zu Beginn des Berufsberatungsjahres (Oktober bis Februar) sind daher kaum aussagekräftig und werden nicht veröffentlicht. Eine erste Einschätzung der Lage auf dem Ausbildungsmarkt im Berufsberatungsjahr 2010/2011 erfolgt im Monatsbericht März 2011. Zur Arbeitsmarktpolitik Im Februar befanden sich 1,3 Mio Personen in einer von Bund oder Bundesagentur für Arbeit geförderten arbeitsmarktpolitischen Maßnahme. Dies waren 18 Prozent weniger als im gleichen Monat des Vorjahrs. Im Februar 2011 kamen 2,5 Arbeitslose auf jede geförderte Person, gegenüber einer Förderintensität von 2,3 im Februar 2010. Damit fiel die Förderung durch Maßnahmen der aktiven Arbeitsmarktpolitik niedriger aus als im Vorjahresmonat. 6
  • 7.
    Monatsbericht Februar 2011 Bundesagentur für Arbeit I. Arbeitsmarkt im Februar 2011 - Arbeitsmarkt entwickelt sich weiter positiv Die Erholung in der deutschen Wirtschaft hat sich fortgesetzt. Nach ersten Berechnungen des Statisti- schen Bundesamtes ist das reale Bruttoinlandsprodukt im vierten Quartal 2010 saison- und kalenderbe- reinigt um 0,4 Prozent gewachsen, nach +0,7 Prozent im dritten Quartal. Dass das Wachstum zuletzt etwas schwächer ausgefallen ist, dürfte mit dem kalten und schneereichen Dezember zusammenhängen. Die konjunkturellen Frühindikatoren wie ifo-Geschäftsklimaindex und ZEW-Konjunkturerwartungen sind weiter deutlich nach oben gerichtet. Der Arbeitsmarkt entwickelt sich uneingeschränkt positiv. Die Er- werbstätigkeit und die sozialversicherungspflichtige Beschäftigung nahmen saisonbereinigt kräftig zu. Arbeitslosigkeit und Unterbeschäftigung sind im Februar saisonbereinigt deutlich gesunken. Der BA-X als Indikator für die Arbeitskräftenachfrage ist erneut stark gestiegen und überschreitet den Höchstwert des vergangenen Konjunkturzyklus. 1. Realisierte Arbeitskräftenachfrage bereinigt um 52.000 zugenommen, nach +67.000 im November (siehe Abbildung 1: Er- Erwerbstätigkeit und sozialversicherungspflichti- werbstätige und sozialversicherungspflichtig ge Beschäftigung haben in saisonbereinigter 3 Beschäftigte). Rechnung weiter deutlich zugenommen und liegen über dem Vorjahresniveau (vgl. 1.1). Alle Nicht saisonbereinigt hat sich die Erwerbstätig- Bundesländer verzeichneten im Vorjahresver- keit nach Berechnungen des Statistischen Bun- gleich einen Anstieg; nach Branchen gab es ein desamtes von Dezember auf Januar im Zuge kräftiges Plus in der Arbeitnehmerüberlassung der Winterpause um 639.000 auf 40,28 Mio und in weiteren wirtschaftlichen Dienstleistungen verringert. Gegenüber dem Vorjahr ist die Er- sowie im Gesundheits- und Sozialwesen (vgl. 1.2). Konjunkturelle Kurzarbeit stützt noch in werbstätigkeit um 463.000 oder 1,2 Prozent nennenswertem Umfang die Beschäftigung, gestiegen, nach +428.000 oder +1,1 Prozent im erreicht aber nur noch 10 Prozent des Höhe- Dezember. Die sozialversicherungspflichtige punktes vom Mai 2009 (vgl. 1.3). Beschäftigung lag im Dezember nach der Hoch- rechnung der Bundesagentur für Arbeit bei 28,05 Mio, gegenüber dem Vorjahr war das ein 1.1 Entwicklung der Erwerbstätigkeit Zuwachs von 559.000 oder 2,0 Prozent, nach Nach Angaben des Statistischen Bundesamtes +544.000 oder ebenfalls +2,0 Prozent im No- ist die Zahl der Erwerbstätigen (nach dem In- vember. Dabei hat die sozialversicherungs- 1 landskonzept) im Januar saisonbereinigt um pflichtige Vollzeitbeschäftigung im Vorjahresver- 23.000 gestiegen, nach +35.000 im Dezember gleich um 334.000 oder 1,5 Prozent und die und +31.000 im November. Die sozialversiche- sozialversicherungspflichtige Teilzeitbeschäfti- 2 rungspflichtige Beschäftigung hat nach vorläu- gung um 218.000 oder 4,2 Prozent zugenom- figen, hochgerechneten Daten der Bundesagen- men. tur für Arbeit, die bis Dezember reichen, saison- 1 Zum Unterschied zwischen Inlands- und Inländerkonzept vgl. „Wichtige statistische Hinweise“ in Teil V des Berichts. Unterschiede zwischen Niveau und Veränderung der Erwerbstätigkeit nach den beiden Konzep- ten erklären sich durch Höhe und Veränderung des Pendlersaldos. 2 3 Zur Hochrechnung vgl. „Wichtige Statistische Hinweise“ in Teil V des Zum Saisonbereinigungsverfahren vgl. „Wichtige Statistische Hinweise“ Berichts. in Teil V des Berichts. 7
  • 8.
    Monatsbericht Februar 2011 Bundesagentur für Arbeit Abbildung 1 die Nebenjobber schon mit ihrer Hauptbeschäf- tigung gezählt werden. Erwerbstätige und sozialversicherungspflichtig Beschäftigte in Millionen 1.2 Entwicklung der sozialversicherungs- Deutschland pflichtigen Beschäftigung nach Ländern und 2005 bis 2011 Wirtschaftszweigen Erwerbstätige Im Dezember lag die sozialversicherungspflich- 40 tige Beschäftigung in Westdeutschland um 2,1 Prozent und in Ostdeutschland um 36 1,6 Prozent über dem Vorjahresniveau. Alle Bundesländer verzeichneten einen Beschäfti- gungsanstieg, der von +0,4 Prozent in Mecklen- 32 burg-Vorpommern bis zu +2,6 Prozent in Nie- sozialversicherungspflichtig Beschäftigte dersachsen reicht. 28 Die Betrachtung nach Branchen zeigt im Vorjah- resvergleich weit überwiegend Zuwächse. Das 24 2005 2006 2007 2008 2009 2010 größte Plus gab es in der Arbeitnehmerüberlas- Saisonbereinigte Werte Ursprungswerte sung (+188.000 oder +34,0 Prozent). Besonders Quelle : Statistisches Bundesamt (Erwerbstätige Inlandskonzept), Statistik der Bundesagentur für Arbeit starke Anstiege verzeichneten auch das Gesundheits- und Sozialwesen (+117.000 bzw. Die sonstigen Formen der Erwerbstätigkeit ha- +3,4 Prozent) und wirtschaftliche Dienstleistun- ben sich gegenüber dem Vorjahr unterschiedlich gen (ohne Arbeitnehmerüberlassung: +93.000 entwickelt. So ist die Zahl der Selbständigen bzw. +3,2 Prozent). Die Beschäftigung im Ver- (einschließlich mithelfender Familienangehöri- arbeitenden Gewerbe liegt mittlerweile wieder ger) nach Angaben des Statistischen Bundes- über dem Vorjahresniveau (+36.000 oder amtes im vierten Quartal um 10.000 oder +0,6 Prozent), aber noch deutlich unter dem 0,2 Prozent auf 4,43 Mio gesunken. In Arbeits- Vorkrisenniveau. Beschäftigungsverluste gab es gelegenheiten (in der Mehraufwandsvariante) bei sonstigen Dienstleistungen (-10.000 oder waren nach vorläufigen Angaben im Januar -0,9 Prozent) und in der Öffentlichen Verwaltung 196.000 Arbeitslosengeld II-Empfänger beschäf- (-7.000 oder -0,4 Prozent). tigt, 53.000 oder 21 Prozent weniger als vor einem Jahr. Dagegen hat die Zahl der aus- schließlich geringfügig entlohnt Beschäftigten 1.3 Kurzarbeitergeld leicht zugenommen. Nach ersten Hochrechnun- Durch die Zahlung von Kurzarbeitergeld sollen gen der Bundesagentur für Arbeit betrug sie im den Arbeitnehmern ihre Arbeitsplätze und den Dezember 4,99 Mio, das waren 17.000 oder Betrieben ihre eingearbeiteten Mitarbeiter erhal- 0,4 Prozent mehr als vor einem Jahr. Darüber ten und damit Arbeitslosigkeit vermieden wer- hinaus übten 2,49 Mio oder 8,9 Prozent der den. Vor Beginn der Kurzarbeit müssen die Be- sozialversicherungspflichtig Beschäftigten zu- triebe eine Anzeige über den voraussichtlichen sätzlich einen geringfügig entlohnten Nebenjob Arbeitszeitausfall erstatten, es sei denn der Ar- aus, gegenüber dem Vorjahr 149.000 oder beitszeitausfall beruht auf Witterungsgründen. 6,4 Prozent mehr. Dabei gehen in die Kurzarbeitergeld wird frühestens von dem Ka- Erwerbstätigenrechnung allein die ausschließ- lendermonat an geleistet, in dem die Anzeige lich geringfügig entlohnt Beschäftigten ein, da eingegangen ist. Die Anzeigen sind deshalb als 8
  • 9.
    Monatsbericht Februar 2011 Bundesagentur für Arbeit potenzielle Zugänge in die Kurzarbeit zu inter- Abbildung 2 pretieren. Im Januar gingen neue Anzeigen für g 68.000 Kurzarbeiter ein, nach 157.000 im De- Kurzarbeit 1) zember und 94.000 im November. Betrachtet in Tausend man nur die konjunkturell bedingten Anzeigen Deutschland nach § 170 SGB III, kommt man im Januar auf 2005 bis 2011 neu angezeigte Kurzarbeit für 42.000 Personen, 1.600 nach 66.000 im Dezember und 48.000 im No- 1.400 vember. Erste Schätzungen für den Februar signalisieren neue Anzeigen für konjunkturelle 1.200 Kurzarbeiter Kurzarbeit für etwa 25.000 Personen. 1.000 800 Nach den jüngsten vorläufigen hochgerechneten Daten wurde im Dezember an 150.000 Arbeit- 600 Anzeigen von nehmer konjunkturelles Kurzarbeitergeld nach 400 Kurzarbeit für Personen § 170 SGB III gezahlt, das waren 36.000 weni- 200 ger als im Vormonat und 659.000 weniger als 0 vor einem Jahr. Zum Höhepunkt der Inan- 2005 2006 2007 2008 2009 2010 2011 spruchnahme im Mai 2009 hatte es noch 1) Kurzarbeiterdaten auf Basis der Abrechnungslisten der Betriebe (bis 2009 Betriebsmeldungen); am aktuellen Rand vorläufig und 1.443.000 konjunkturelle Kurzarbeiter gegeben hochgerechnet. (siehe Abbildungen 2 und 3: Kurzarbeit und Quelle: Statistik der Bundesagentur für Arbeit konjunkturell bedingte Kurzarbeit). Damit errei- chen die Kurzarbeiterzahlen im Dezember 2010 Abbildung 3 nur 10 Prozent des Höhepunkts der Inanspruch- nahme im Mai 2009. Konjunkturell bedingte Kurzarbeit 1) in Tausend Deutschland 2005 bis 2011 1.600 1.400 1.200 Kurzarbeiter 1.000 800 600 Anzeigen von 400 Kurzarbeit für Personen 200 0 2005 2006 2007 2008 2009 2010 2011 1) Kurzarbeit gem. 170 SGB III (vor 2007 ohne Bau- und Landwirtschaft). Daten auf Basis der Abrechnungslisten der Betriebe (bis 2009 Betriebsmeldungen); am aktuellen Rand vorläufig und hochgerechnet. Quelle: Statistik der Bundesagentur für Arbeit 9
  • 10.
    Monatsbericht Februar 2011 Bundesagentur für Arbeit Endgültige Daten zu Kurzarbeit in allen Differen- Abbildung 4 zierungen stehen für den August 2010 zur Ver- fügung. In diesem Monat erhielten insgesamt Gemeldete Arbeitsstellen 244.000 Personen Kurzarbeitergeld, davon in Tausend 219.000 konjunkturelles Kurzarbeitergeld und Deutschland 2005 bis 2011 25.000 Transferkurzarbeitergeld. Der durch- schnittliche Arbeitszeitausfall über alle Kurzar- beiter betrug in diesem Monat 34 Prozent. Im 700 4 Beschäftigtenäquivalent errechnen sich so 600 84.000 Kurzarbeiter. Bei konjunktureller Kurzar- Bestand 500 beit gab es einen Arbeitszeitausfall von 30 Prozent und ein Beschäftigtenäquivalent von 400 65.000 Kurzarbeitern. 300 Zugang 200 2. Nicht realisierte Arbeitskräftenach- 100 frage 0 Die saisonbereinigten gemeldeten Arbeitsstellen 2005 2006 2007 2008 2009 2010 2011 und der BA-X legten im Februar weiter zu. Die Saisonbereinigte Werte Ursprungswerte Werte des Vorjahres werden deutlich überschrit- Quelle: Statistik der Bundesagentur für Arbeit ten (vgl. 2.1 und 2.2). Auch das gesamtwirt- schaftliche Stellenangebot, das außerdem die In Westdeutschland hat der Bestand gemeldeter Arbeitsstellen erfasst, die den Arbeitsagenturen Arbeitsstellen gegenüber dem Vorjahr um nicht gemeldet wurden, liegt im vierten Quartal 42 Prozent auf 348.000 und in Ostdeutschland 2010 über dem Vorjahresniveau (vgl. 2.3). um 33 Prozent auf 69.000 zugenommen. Im Westen waren 88 Prozent und im Osten 2.1 Gemeldete Arbeitsstellen 73 Prozent der Arbeitsstellen sofort zu besetzen. Die gemeldeten Arbeitsstellen haben im Februar Der Bestand an Arbeitsstellen schlägt sich rela- saisonbereinigt um 15.000 zugenommen, nach tiv schnell um. Die Veränderungen von Zugän- +13.000 im Januar und +11.000 im Dezember gen sind ein besserer Indikator für die Einstel- (siehe Abbildung 4: Gemeldete Arbeitsstellen). lungsbereitschaft der Betriebe als Veränderun- Nicht saisonbereinigt belief sich der Bestand im gen der Bestandszahlen. Im saisonbereinigten Februar auf 417.000 Arbeitsstellen. Gegenüber Vormonatsvergleich haben sich die Stellenmel- dem Vorjahr war das ein Anstieg von 120.000 dungen auf hohem Niveau weiter erhöht oder 40 Prozent, nach +103.000 oder (+10.000). Nicht saisonbereinigt wurden im Feb- +38 Prozent im Januar. Von den gemeldeten ruar 200.000 Arbeitsstellen neu gemeldet, ge- Arbeitsstellen waren 85 Prozent sofort zu beset- genüber dem Vorjahresmonat waren das 56.000 zen. oder 39 Prozent mehr. In der gleitenden Jahres- summe von März 2010 bis Februar 2011 gab es 2,10 Mio Stellenzugänge, 474.000 oder 29 Prozent mehr als im gleichen Vorjahreszeit- raum. Nach Wirtschaftszweigen differenziert 4 beruht das Plus in der gleitenden Jahressumme Das Beschäftigtenäquivalent setzt sich aus Vollzeit- und Teilzeitbeschäf- tigten zusammen. zu mehr als der Hälfte auf Meldungen aus der 10
  • 11.
    Monatsbericht Februar 2011 Bundesagentur für Arbeit Arbeitnehmerüberlassung (+255.000 oder nachfrage am ersten Arbeitsmarkt ab. Von Ja- +55 Prozent). Die neu gemeldeten Arbeitsstellen nuar auf Februar hat der BA-X um 6 auf waren im Februar zu 52 Prozent und in der glei- 166 Punkte zugenommen. Gegenüber dem Vor- tenden Jahressumme zu 53 Prozent sofort zu jahr ist er um 46 Punkte gestiegen. besetzen. 5 Abbildung 5 2.3 Gesamtwirtschaftliches Stellenangebot Einen umfassenderen Überblick über die nicht Gemeldete Arbeitsstellen realisierte Arbeitskräftenachfrage geben reprä- Angaben in Tausend sentative Betriebsbefragungen des Instituts für Deutschland Februar 2011 Arbeitsmarkt- und Berufsforschung (IAB) zum Veränderung zum gesamtwirtschaftlichen Stellenangebot, die vier- Februar Anteil Vorjahresmonat teljährlich durchgeführt werden. In diesen Erhe- 2011 in % absolut in % bungen werden auch jene Stellen erfasst, die Bestand 417 100 120 40,1 der Bundesagentur für Arbeit nicht gemeldet darunter: Vakanzen 355 85,2 115 47,9 sind. Zugang 200 100 56 38,7 darunter: Vakanzen 103 51,7 35 50,1 Nach jüngsten Angaben des IAB lag das ge- Abgang 157 100 40 34,1 samtwirtschaftliche Stellenangebot für den ers- darunter: ohne Vakanzzeit 16 9,9 2 17,8 über drei Monate 39 24,5 13 49,1 ten Arbeitsmarkt im vierten Quartal 2010 bei durchschnittliche Vakanzzeit 1) 64 - 3 5,3 996.000 Stellen. Das waren 200.000 oder 1) Zeitspanne vom Besetzungstermin bis zum Stellenabgang in Tagen 25 Prozent mehr als vor einem Jahr. Von den Quelle: Statistik der Bundesagentur für Arbeit Stellen für den ersten Arbeitsmarkt waren der Im Februar wurden 157.000 Arbeitsstellen ab- Bundesagentur für Arbeit 39 Prozent gemeldet. gemeldet, 40.000 oder 34 Prozent mehr als im Vorjahr. 10 Prozent davon wurden abgemeldet, 3. Arbeitslosigkeit und Unterbeschäfti- bevor sie vakant wurden, 24 Prozent waren gung länger als drei Monate vakant. Die durchschnitt- liche Vakanzzeit der im Februar abgemeldeten Arbeitslosigkeit und Unterbeschäftigung haben Arbeitsstellen, also die Zeit, in der der Arbeits- im Februar abgenommen, saisonbereinigt er- platz zu besetzen war, belief sich auf 64 Tage, rechnen sich deutliche Rückgänge. Im Vorjah- das waren 4 Tage mehr als vor einem Jahr. In resvergleich werden Arbeitslosigkeit und Unter- der gleitenden Jahressumme gab es 1,98 Mio beschäftigung beachtlich unterschritten (vgl. 3.1 Abgänge, 334.000 oder 20 Prozent mehr als im und 3.6; zu einer geringfügigen Korrektur der Arbeitslosenzahl für den Januar 2011 siehe gleichen Vorjahreszeitraum. 9 Prozent der Ar- Erläuterungen im Kasten). Getragen wird diese beitsstellen wurden abgemeldet, bevor sie va- positive Entwicklung vom Aufbau sozialversiche- kant wurden, und 19 Prozent der abgemeldeten rungspflichtiger Beschäftigung (vgl. 1.1). Die Arbeitsstellen waren länger als 3 Monate vakant. Chancen, Arbeitslosigkeit durch Aufnahme einer Die durchschnittliche Vakanzzeit von März 2010 Beschäftigung zu beenden, haben sich deutlich bis Februar 2011 belief sich auf 56 Tage, 4 Tage erhöht (vgl. 3.4). Geholfen hat auch ein Rück- weniger als im Vorjahreszeitraum. gang des Arbeitskräfteangebots. Rückläufig ist die Arbeitslosigkeit in allen Bundesländern (vgl. 2.2 BA Stellenindex BA-X 5 Der Stellenindex der BA (BA-X) bildet die sai- Vgl. Presseinformation des IAB vom 16.02.2011; http://doku.iab.de/grauepap/2011/os1004.pdf sonbereinigte Entwicklung der Arbeitskräfte- 11
  • 12.
    Monatsbericht Februar 2011 Bundesagentur für Arbeit 3.2), in beiden Rechtskreisen und auch bei 7,9%); in West- und Ostdeutschland bleiben die Langzeitarbeitslosen (vgl. 3.3). Im europäischen Quoten gleich (6,8% bzw. 12,7%). Vergleich verzeichnet Deutschland im Vorjah- resvergleich einen der größten Rückgänge der Erwerbslosenquote (vgl. 3.7). Korrektur der Arbeitslosenzahlen für den Januar 2011 Deutschland Korrektur der Statistik der Arbeitslosen und Korrektur Januar Januar in % Arbeitsuchenden für den Januar 2011 2011 alt 2011 neu absolut zu (2) 1 2 3 4 Insgesamt Seit Januar hat sich die regionale Zuständigkeit Bestand 3.347.018 3.349.788 2.770 0,08 der Träger der Grundsicherung in Sachsen und Zugang 937.540 934.659 -2.881 -0,31 Sachsen-Anhalt verändert. Im Zuge dieser Trä- Abgang 602.675 596.870 -5.805 -0,97 gergebietsreform kam es im Berichtsmonat Ja- Rechtskreis SGB II Bestand 2.200.346 2.203.116 2.770 0,13 nuar 2011 bei der Erstellung der Arbeitsmarkt- Zugang 450.350 447.469 -2.881 -0,64 statistik zu Ungenauigkeiten bei der regionalen Abgang 334.473 328.668 -5.805 -1,77 Zuordnung der Arbeitslosen und der Schätzung Quelle: Statistik der Bundesagentur für Arbeit fehlender Daten, die nunmehr rückwirkend be- richtigt werden. Die korrigierten Daten werden mit dem Veröffentlichungstermin 1. März 2011 in 3.1 Entwicklung im Bund den aktuellen Statistikheften veröffentlicht. Die Arbeitslosigkeit ist von Januar auf Februar um 33.000 auf 3.317.000 gesunken. Im Durch- Der Bestand an Arbeitslosen erhöht sich da- schnitt der letzten drei Jahre hatte die Arbeitslo- durch für den Januar geringfügig um 2.770 oder senzahl im Februar um 16.000 zugenommen, im 0,08 Prozent auf 3.349.788. Sowohl bei der Februar 2010 um 26.000. Das Saisonbereini- Plausibilitätsprüfung der von den neuen Trägern gungsverfahren errechnet für den Februar 2011 gelieferten Daten als auch bei der Schätzung ein Minus von 52.000, nach -18.000 im Januar aufgrund nicht vollständig vorliegender Daten und -5.000 im Dezember (siehe Abbildung 6: wurden die neuen Gebietszuschnitte nur zum 6 Teil berücksichtigt. Dies wirkte sich auf alle Arbeitslose). Die Entlastung durch Arbeitsgele- Kennzahlen (Zugang, Bestand, Abgang) und genheiten hat von Januar auf Februar weiter Status (arbeitslos, nicht arbeitslos arbeitsu- abgenommen; die Unterbeschäftigung (ohne chend, arbeitsuchend) im Rechtskreis SGB II Kurzarbeit), die Veränderungen in der entlas- aus und damit auch auf die rechtskreisübergrei- tenden Arbeitsmarktpolitik berücksichtigt, ist fenden Summen. Betroffen sind sämtliche Ge- deshalb saisonbereinigt stärker als die Arbeits- bietseinheiten, die von der Trägerfusion in losigkeit gesunken, und zwar um 82.000 (vgl. Sachsen und Sachsen-Anhalt berührt sind, d.h. 3.6). auch Gebiete bzw. Bezirke höherer Aggregati- onsebenen (Deutschland, Sachsen, Sachsen- Anhalt, Ostdeutschland). Die Korrektur der Ar- beitslosenzahlen auf Landesebene beträgt für Sachsen-Anhalt 415 und für Sachsen 2.355. Trotz des geringen Effekts bei der Gesamtzahl der Arbeitslosen liegt die gerundete Arbeitslo- senquote für den Januar auf Bundesebene da- 6 mit um 0,1 Prozentpunkte höher (8,0% statt Zum Saisonbereinigungsverfahren vgl. „Wichtige Statistische Hinweise“ in Teil V des Berichts. 12
  • 13.
    Monatsbericht Februar 2011 Bundesagentur für Arbeit Abbildung 6 3.2 Entwicklung in West- und Ostdeutsch- land Arbeitslose In Westdeutschland hat die registrierte Ar- in Tausend beitslosigkeit im Februar um 33.000 oder Deutschland 1 Prozent auf 2.242.000 abgenommen. Saison- 2005 bis 2011 bereinigt verringerte sie sich um 39.000, nach -17.000 im Januar und -10.000 im Dezember. Im 6.000 Vergleich zum Vorjahr ist die Arbeitslosigkeit in Deutschland 5.000 Westdeutschland um 240.000 oder 10 Prozent gesunken. Rückgänge gab es in allen westdeut- 4.000 schen Ländern, am stärksten in Baden- Westdeutschland Württemberg und Bayern (-18 bzw. -15 Pro- 3.000 zent). Ostdeutschland 2.000 In Ostdeutschland blieb die Arbeitslosigkeit ge- 1.000 genüber dem Vormonat praktisch unverändert bei 1.076.000. Saisonbereinigt errechnet sich 0 2005 2006 2007 2008 2009 2010 2011 eine Abnahme von 13.000, nach -1.000 im Ja- Saisonbereinigte Werte Ursprungswerte nuar und +5.000 im Dezember. Die Arbeitslo- Quelle: Statistik der Bundesagentur für Arbeit senzahl lag um 86.000 oder 7 Prozent unter Im Vergleich zum Vorjahr waren im Februar dem Vorjahreswert. Es gab in allen ostdeut- 326.000 oder 9 Prozent weniger Arbeitslose schen Ländern Rückgänge, am stärksten in registriert, nach -268.000 oder -7 Prozent im Thüringen und Sachsen-Anhalt (-13 bzw. Januar. Die Unterbeschäftigung (ohne Kurzar- -11 Prozent). beit) ist im Vorjahresvergleich um 529.000 oder 11 Prozent gesunken, nach -425.000 oder 3.3 Entwicklung nach Rechtskreisen und -9 Prozent im Januar (vgl. 3.6). 8 Langzeitarbeitslosigkeit Maßgeblich für die positive Entwicklung von Von den 3.317.000 Arbeitslosen im Februar Arbeitslosigkeit und Unterbeschäftigung ist der wurden 1.109.000 oder 33 Prozent im Rechts- Konjunkturaufschwung, der zu einem deutlichen kreis SGB III von einer Agentur für Arbeit und Zuwachs der sozialversicherungspflichtigen 2.209.000 oder 67 Prozent im Rechtskreis Beschäftigung geführt (vgl. 1.1) und damit die SGB II von einem Jobcenter betreut. Die Ar- Chancen, durch Aufnahme einer Beschäftigung beitslosenzahl ist gegenüber dem Vormonat im die Arbeitslosigkeit zu beenden, erhöht hat (vgl. Rechtskreis SGB III um 38.000 oder 3 Prozent 3.4). Entlastend wirkt außerdem ein seit mehre- gesunken und im Rechtskreis SGB II um 5.000 ren Jahren rückläufiges Arbeitskräfteangebot, leicht gestiegen (siehe Abbildung 7: Arbeitslose das nach Einschätzungen des Instituts für Ar- nach Rechtskreisen). Bereinigt um saisonale beitsmarkt- und Berufsforschung 2011 jahres- Einflüsse hat die Arbeitslosigkeit im Rechtskreis durchschnittlich voraussichtlich um 115.000 SGB III um 42.000 abgenommen, nach -29.000 7 weiter abnehmen wird. 8 Ausführlicheres Datenmaterial dazu findet sich u.a. im monatlichen Analytikreport der Statistik der BA, Arbeitslosigkeit nach Rechtskreisen im Vergleich; 7 http://statistik.arbeitsagentur.de/Navigation/Statistik/Statistische- Vgl. IAB-Kurzbericht 18/2010. Analysen/Analytikreports/Zentral/Monatliche-Analytikreports/Analyse-Arbeitslosigkeit- http://doku.iab.de/kurzber/2010/kb1810.pdf Rechtskreise-Vergleich-nav.html 13
  • 14.
    Monatsbericht Februar 2011 Bundesagentur für Arbeit im Januar. Im Rechtskreis SGB II ist die saison- (+4.000) ein Rückgang im Rechtskreis SGB II bereinigte Arbeitslosenzahl um 10.000 gesun- (-51.000) gegenüber. Der Anteil der Langzeitar- ken, nach +11.000 im Januar. Im Vergleich zum beitslosen verringerte sich im Vorjahresvergleich Vorjahr hat sich die Arbeitslosigkeit in beiden im Rechtskreis SGB II um 2 Prozentpunkte auf Rechtskreisen verringert, und zwar im Rechts- 39 Prozent und stieg im Rechtskreis SGB III um kreis SGB III um 252.000 oder 19 Prozent und 3 Prozentpunkte auf 14 Prozent. im Rechtskreis SGB II um 75.000 oder 3 Pro- Abbildung 8 zent. Abbildung 7 Langzeitarbeitslosigkeit1) Angaben in Tausend Deutschland Arbeitslose nach Rechtskreisen Februar 2011 in Tausend Anteil an allen Veränderung zum Deutschland Februar Arbeitslosen Vorjahresmonat 2005 bis 2011 2011 in % absolut in % Langzeitarbeitslose 903 30,0 -47 -5,0 6.000 davon arbeitslos seit: 12 bis 24 Monate 469 15,6 -26 -5,2 5.000 24 Monate und mehr 435 14,4 -22 -4,8 Insgesamt Rechtskreis SGB III 4.000 Langzeitarbeitslose 156 14,1 4 2,4 davon arbeitslos seit: 3.000 SGB II 12 bis 24 Monate 105 9,4 4 4,4 24 Monate und mehr 51 4,6 -1 -1,3 2.000 Rechtskreis SGB II SGB III Langzeitarbeitslose 747 39,3 -51 -6,4 1.000 davon arbeitslos seit: 12 bis 24 Monate 364 19,1 -30 -7,6 0 24 Monate und mehr 383 20,1 -21 -5,2 1) 2005 2006 2007 2008 2009 2010 2011 Ermittelt auf Basis von Daten aus dem BA-IT-Fachverfahren; Vorjahresvergleiche w erden auf Basis fiktiver Gebietsstände gerechnet. Saisonbereinigte Werte Ursprungswerte Quelle: Statistik der Bundesagentur für Arbeit Quelle: Statistik der Bundesagentur für Arbeit Bei Langzeitarbeitslosen im Rechtskreis SGB III Die Langzeitarbeitslosigkeit (ohne Daten der handelt es sich zum größeren Teil um Nicht- Jobcenter in zugelassener kommunaler Träger- Leistungsempfänger, die entweder nie einen schaft) hat im Vorjahresvergleich abgenommen. Anspruch auf Arbeitslosengeld hatten (z.B. Be- Die Zahl der Arbeitslosen, die länger als rufsrückkehrer oder Berufseinsteiger) oder die 12 Monate arbeitslos waren, ist gegenüber dem nach dem Auslaufen des Leistungsbezuges Vorjahr um 47.000 oder 5 Prozent auf 903.000 wegen mangelnder Bedürftigkeit kein Arbeitslo- gesunken. Ihr Anteil an allen Arbeitslosen erhöh- sengeld II erhalten. Außerdem sind hier ältere te sich um 1 Prozentpunkt auf 30 Prozent (siehe 9 Arbeitslosengeld-Empfänger enthalten, die Leis- Abbildung 8: Langzeitarbeitslosigkeit). Dabei tungsansprüche von mehr als 12 Monaten ha- stand einem geringfügigen Anstieg der Zahl der ben. Langzeitarbeitslosen im Rechtskreis SGB III 9 3.4 Arbeitslosigkeit – Zu- und Abgänge Im Januar 2011 haben sich die Gebietszuständigkeiten von einigen zugelassenen kommunalen Trägern in Sachsen und Sachsen-Anhalt Arbeitslosigkeit ist kein fester Block, vielmehr verändert; Vorjahresvergleiche werden mit den gleichen, fiktiven Ge- bietsständen in der Vergangenheit berechnet. gibt es unabhängig von der wirtschaftlichen La- ge viel Bewegung. So meldeten sich im Februar 14
  • 15.
    Monatsbericht Februar 2011 Bundesagentur für Arbeit 703.000 Menschen bei einer Arbeitsagentur den Gewerbe, der Arbeitnehmerüberlassung oder einem Jobcenter arbeitslos, während und dem Handel, die in der Krise in großem gleichzeitig 732.000 Personen ihre Arbeitslosig- Umfang Personal abgebaut hatten. 10 keit beendeten. Im Vergleich zum Vorjahres- monat haben die Zugänge um 8 Prozent abge- Zugänge und Abgänge haben sich in den beiden nommen, während die Abgänge praktisch un- Rechtskreisen im Vorjahresvergleich unter- verändert blieben (siehe Abbildung 9: Zugang in schiedlich entwickelt. Im Rechtskreis SGB III und Abgang aus Arbeitslosigkeit). Dabei gab es verringerten sich im Februar die Zugänge und weniger Zugänge aus Beschäftigung und mehr die Abgänge um 21 bzw. 5 Prozent, während im Beschäftigungsaufnahmen am 1. Arbeitsmarkt Rechtskreis SGB II die Zugänge und die Abgän- (einschließlich Selbständigkeit; gegenüber Vor- ge um 6 bzw. 4 Prozent gestiegen sind. jahr: -11 Prozent bzw. +17 Prozent). In der glei- tenden Jahressumme von März 2010 bis Febru- Abbildung 9 ar 2011 – die saisonale und zufällige Schwan- kungen ausgleicht – meldeten sich 9,09 Mio Menschen arbeitslos, und 9,37 Mio Arbeitslose Zugang in und Abgang aus Arbeitslosigkeit Angaben in Tausend meldeten sich wieder ab. Im Vergleich zum ent- Deutschland sprechenden Vorjahreszeitraum hat die Zahl der Februar 2011 Zugänge um 2 Prozent abgenommen, während Veränderung zum die Zahl der Abgänge um 3 Prozent gestiegen Februar Vorjahresmonat 2011 absolut in % ist. Zugang 703 -60 -7,9 Die Zugänge von abhängig Beschäftigten aus Zugangsrate1) 21,0 -0,1 x Abgang 732 0 0,0 dem 1. Arbeitsmarkt können nach dem Wirt- Abgangsrate1) 21,8 1,6 x schaftszweig differenziert und daraus wichtige dar. in den 1. Arbeitsmarkt 2) 6,7 1,4 x Informationen zur Branchenentwicklung im Kon- Rechtskreis SGB III3) junkturverlauf gewonnen werden (ohne Daten Zugang 308 -82 -21,1 der Jobcenter in kommunaler Trägerschaft). Im Zugangsrate 1) 26,9 -2,2 x Februar gab es 216.000 Zugänge von abhängig Abgang 322 -16 -4,6 Abgangsrate1) 28,1 2,9 x Beschäftigten aus dem 1. Arbeitsmarkt, das dar. in den 1. Arbeitsmarkt 2) 13,8 3,3 x waren 31.000 oder 12 Prozent weniger als vor Rechtskreis SGB II3) einem Jahr. Der Rückgang fand in allen Bran- Zugang 395 22 5,9 chen statt, nur aus der Arbeitnehmerüberlas- Zugangsrate1) 17,9 1,5 x sung und aus dem Gesundheits- und Sozialwe- Abgang 410 15 3,9 sen gab es mehr Arbeitslosmeldungen. In der Abgangsrate1) 18,6 1,3 x dar. in den 1. Arbeitsmarkt 2) 3,1 0,7 x gleitenden Jahressumme von März 2010 bis 1) Zugang bzw . Abgang bezogen auf den Bestand des Vormonats Februar 2011 gab es 2,84 Mio Zugänge aus 2) einschließlich Selbständigkeit 3) ohne Rechtskreisw echsler dem 1. Arbeitsmarkt, 305.000 oder 10 Prozent Quelle: Statistik der Bundesagentur für Arbeit weniger als im gleichen Zeitraum des Vorjahres. Der Rückgang beruht zum weitaus größten Teil auf weniger Meldungen aus dem Verarbeiten- 10 In den Bewegungsdaten sind ein kleiner Teil der Rechtskreiswechsler enthalten. Deshalb ist die Fortschreibung im Stock-Flow-Modell nicht exakt erfüllt. 15
  • 16.
    Monatsbericht Februar 2011 Bundesagentur für Arbeit Ergänzend zu den absoluten Zahlen können 3.5 Arbeitslosenquoten Abgangsraten etwas über die Abgangschancen 11 Die Arbeitslosenquote auf Basis aller zivilen aus Arbeitslosigkeit aussagen. Bezogen auf Erwerbspersonen belief sich im Februar auf den Arbeitslosenbestand beendeten im Februar 7,9 Prozent. Im Vergleich zum Vorjahr nahm sie mehr Menschen ihre Arbeitslosigkeit; die Ab- um 0,8 Prozentpunkte ab. Die saisonbereinigte gangsrate hat sich im Vorjahresvergleich um Arbeitslosenquote hat sich gegenüber dem 1,6 Prozentpunkte auf 21,8 Prozent erhöht, da- Vormonat um 0,1 Prozentpunkte auf 7,3 Prozent runter die Abgangsrate in den 1. Arbeitsmarkt verringert. In Ostdeutschland war die Quote mit (einschließlich Selbständigkeit) um 12,7 Prozent deutlich größer als im Westen mit 1,4 Prozentpunkte auf 6,7 Prozent. In der glei- 6,7 Prozent. Im Vergleich zum Vorjahr hat sich tenden Jahressumme von März 2010 bis Febru- die Quote in Westdeutschland um ar 2011 ist die Abgangsrate um 0,7 Prozentpunkte und in Ostdeutschland um 2,1 Prozentpunkte auf 24,2 Prozent bzw. um 1,0 Prozentpunkte verringert. 1,2 Prozentpunkte auf 7,6 Prozent gestiegen. 12 Die anteilige SGB III-Arbeitslosenquote belief Im Rechtskreis SGB III hat sich die Wahrschein- sich im Februar auf 2,6 Prozent und die anteilige lichkeit, die Arbeitslosigkeit zu beenden, um SGB II-Arbeitslosenquote auf 5,2 Prozent. Die 2,9 Prozentpunkte auf 28,1 Prozent und im SGB III-Quote verringerte sich gegenüber dem Rechtskreis SGB II um 1,3 Prozentpunkte auf Vorjahr um 0,6 Prozentpunkte, die SGB II-Quote 18,6 Prozent erhöht. Die Chance, durch Auf- um 0,2 Prozentpunkte. nahme einer Beschäftigung am 1. Arbeitsmarkt (einschließlich Selbständigkeit) die Arbeitslosig- keit im folgenden Monat zu beenden, nahm im 3.6 Unterbeschäftigung Rechtskreis SGB III um 3,3 Prozentpunkte auf In der Unterbeschäftigungsrechnung nach dem 13,8 Prozent und im Rechtskreis SGB II um Konzept der BA sind neben den Arbeitslosen die 0,7 Prozentpunkte auf 3,1 Prozent zu. Personen enthalten, die an entlastenden Maß- nahmen der Arbeitsmarktpolitik teilnehmen oder Insgesamt ist der Umschlag im Rechtskreis zeitweise arbeitsunfähig erkrankt sind und des- SGB III deutlich größer als im Rechtskreis halb nicht als arbeitslos gezählt werden. Damit SGB II. So waren im gleitenden Jahresdurch- wird ein umfassenderes Bild vom Defizit an re- schnitt von März 2010 bis Februar 2011 die gulärer Beschäftigung in einer Volkswirtschaft Zugangs- und Abgangsraten im Rechtskreis gegeben. Realwirtschaftlich (insbesondere kon- SGB III mit 32,4 bzw. 32,2 Prozent deutlich grö- junkturell) bedingte Einflüsse können besser ßer als im Rechtskreis SGB II mit 19,1 bzw. erkannt werden, weil der Einsatz entlastender 20,3 Prozent. Insbesondere die Abgangsrate in Arbeitsmarktpolitik zwar die Arbeitslosigkeit, Beschäftigung am 1. Arbeitsmarkt (einschließ- nicht aber die Unterbeschäftigung verändert (zur lich Selbständigkeit) ist mit 15,5 Prozent im Unterbeschäftigungs- und Entlastungsrechnung Rechtskreis SGB III erheblich größer als im vergleiche die Methodischen Hinweise in Kapi- Rechtskreis SGB II mit 3,8 Prozent. tel V). 11 12 Abgangs- und Zugangsraten beziehen den Abgang bzw. den Zugang Die Arbeitslosenquote kann zerlegt werden in anteilige Quoten für die des laufenden Monats auf den Bestand des Vormonats und ermögli- Rechtskreise SGB III und SGB II. Dabei werden die Arbeitslosen aus chen damit Aussagen zur relativen Bedeutung von Abgängen bzw. Zu- dem Rechtskreis SGB III und SGB II jeweils auf alle zivilen Erwerbs- gängen u.a. im Zeitvergleich bei abnehmenden oder zunehmenden personen bezogen. Die Summe der beiden anteiligen Einzelquoten er- Beständen. gibt die Gesamtquote (rundungsbedingte Abweichungen sind möglich). 16
  • 17.
    Monatsbericht Februar 2011 Bundesagentur für Arbeit Im Februar belief sich die Unterbeschäftigung Förderung Behinderter: -94.000) und bei der (ohne Kurzarbeit) auf 4.287.000. Gegenüber Förderung der Selbständigkeit (-11.000). Die dem Vormonat hat sie um 47.000 abgenommen. berufliche Weiterbildung hat im Vorjahresver- Das Saisonbereinigungsverfahren errechnet ein gleich praktisch stagniert (einschließlich der Minus von 82.000, nach -33.000 im Januar und Förderung Behinderter gegenüber Vorjahr: 14 -28.000 im Dezember. Dass der Rückgang der -300). Unterbeschäftigung in den letzten Monaten stär- ker ausfiel als bei der Arbeitslosigkeit, hängt In diesen Zahlen ist die Entlastung durch Kurz- damit zusammen, dass entlastende Arbeits- arbeit nicht enthalten, weil hochgerechnete An- marktpolitik und hier insbesondere Arbeitsgele- gaben dazu nur bis Dezember vorliegen. In die- genheiten zurückgeführt wurden. Im Vergleich sem Monat belief sich die Entlastung durch zum Vorjahr hat sich die Unterbeschäftigung Kurzarbeit nach vorläufigen Angaben auf (ohne Kurzarbeit) um 529.000 oder 11 Prozent 119.000 Kurzarbeiter im Beschäftigtenäquiva- verringert, nach -425.000 oder -9 Prozent im lent. Einschließlich des Beschäftigtenäquivalents 13 Januar. Kurzarbeit betrug die Unterbeschäftigung in diesem Monat 4.213.000. Im Vergleich zum Die Entlastung durch arbeitsmarktpolitische Dezember 2009 war das ein Rückgang von Instrumente (ohne Kurzarbeit) war im Vorjahres- 529.000 oder 11 Prozent. vergleich rückläufig: Abnahmen gab es bei Ar- beitsgelegenheiten, Arbeitsbeschaffungsmaß- 3.7 Erwerbslosigkeit nach ILO und internati- nahmen und dem Beschäftigungszuschuss (ein- onaler Vergleich schließlich 443 Personen in der Beschäfti- gungsphase Bürgerarbeit; insgesamt: -106.000), Die nach dem ILO-Erwerbskonzept vom Statisti- bei Maßnahmen zur Aktivierung und beruflichen schen Bundesamt ermittelte Erwerbslosigkeit Eingliederung (einschließlich von Eignungsfest- belief sich in Deutschland für den Januar auf stellungs- und Trainingsmaßnahmen sowie der 2,87 Mio und die Erwerbslosenquote auf 15 6,7 Prozent. Die registrierte Arbeitslosigkeit nach dem Sozialgesetzbuch (SGB III) betrug im 13 In der Entlastungs- und Unterbeschäftigungsrechnung werden von den gleichen Monat 3,35 Mio und die Arbeitslosen- vorruhestandsähnlichen Regelungen die Anwendung des § 53a Abs. 2 SGB II auf Arbeitslosengeld II-Empfänger und die Inanspruchnahme quote 8,0 Prozent. Saisonbereinigt lag die Er- des § 428 SGB III durch Arbeitslosengeldempfänger berücksichtigt. Im werbslosenquote bei 6,5 Prozent und die Ar- Februar werden in der Unterbeschäftigung 89.000 Personen im Son- derstatus des § 53a Abs. 2 SGB II ausgewiesen, 32.000 mehr als vor beitslosenquote bei 7,4 Prozent. Die Unter- einem Jahr, und nur noch 200 Arbeitslosengeldempfänger im Sonder- schiede zwischen den beiden Quoten folgen aus status des § 428 SGB III, 2.100 weniger als vor einem Jahr. Die Ent- verschiedenen Erhebungsmethoden (Stichpro- lastung durch vorruhestandsähnliche Regelungen hat also nach dieser Rechnung im Saldo um 30.000 zugenommen. Mit der Statistik der ge- benbefragung der Bevölkerung versus Meldung meldeten erwerbsfähigen Personen steht seit November 2010 eine bei einer Arbeitsagentur oder einem Träger der neue Datenquelle zur Verfügung, die es ermöglicht, auch die Inan- spruchnahme des § 428 SGB III durch Arbeitslosengeld II-Bezieher Grundsicherung) und unterschiedlichen Konkre- und die Inanspruchnahme des § 252 Abs. 8 SGB VI durch Nichtleis- tisierungen von Begriffsmerkmalen der Arbeits- tungsempfänger auszuweisen (ohne Daten der Jobcenter in kommu- naler Trägerschaft). Danach gab es im Februar rechtskreisübergrei- losigkeit (z. B. liegt nach dem SGB Arbeitslosig- fend noch 173.000 gemeldete Personen, die die vorruhestandsähnli- chen Regelungen der §§ 428 SGB III und 252 Abs. 8 SGB VI in An- spruch nahmen, 72.000 weniger als vor einem Jahr. Auf Basis der 14 neuen Statistik der gemeldete Personen hat damit in der Summe die Dem Anstieg von Personen im Sonderstatus des § 53a SGB II muss im Inanspruchnahme aller vorruhestandsähnlichen Regelungen, also der Zusammenhang dem Rückgang der Inanspruchnahme des § 428 SGB §§ 428 SGB III, 252 Abs. 8 SGB VI und 53a Abs. 2 SGB II, im Vorjah- II im Rechtskreis SGB II gesehen werden; vgl. Fußnote 16. resvergleich nicht zugenommen, sondern um 40.000 auf 261.000 ab- 15 Ausführliche Informationen finden sich auf der Internetseite des Statisti- genommen. Entsprechend würde der Rückgang der Unterbeschäfti- schen Bundesamtes unter gung stärker ausfallen. Es ist beabsichtigt, die neue Datenquelle künf- http://www.destatis.de/jetspeed/portal/cms/Sites/destatis/Internet/DE/Presse/abisz/ tig für die Unterbeschäftigungsrechnung zu nutzen. ILO-Arbeitsmarktstatistik,templateId=renderPrint.psml. 17
  • 18.
    Monatsbericht Februar 2011 Bundesagentur für Arbeit keit auch dann vor, wenn eine Beschäftigung Abbildung 10 von weniger als 15 Wochenstunden ausgeübt wird, während nach dem ILO-Konzept schon Saisonbereinigte Erwerbslosenquoten eine Wochenstunde Arbeit Erwerbslosigkeit in Prozent beendet; im Einzelnen vergleiche „Wichtige sta- Deutschland, Europäische Union und Eurozone tistische Hinweise“ in Teil V des Berichts). 2005 bis 2010 Für internationale Vergleiche liegen von Euro- 12,0 stat, dem Statistischen Amt der Europäischen Deutschland Gemeinschaften, Angaben überwiegend bis EZ 16 16 Dezember vor. Nach diesen Daten belief sich 9,0 die saisonbereinigte Erwerbslosenquote im De- 17 zember in der Eurozone (EZ 16) auf 10,0 Prozent und in der Europäischen Union 6,0 EU 27 18 (EU 27) auf 9,6 Prozent (vgl. Abbildungen 10, 11). Von den Mitgliedstaaten der EU verzeichne- ten die Niederlande (4,3 Prozent) und Luxem- 3,0 burg (4,9 Prozent) die niedrigsten und Spanien (20,2 Prozent) sowie Lettland und Litauen (je- weils 18,3 Prozent) die höchsten Quoten. 0,0 2005 2006 2007 2008 2009 2010 Deutschland hat mit 6,6 Prozent eine unter- Quelle : Eurostat, Statistisches Bundesamt durchschnittliche Quote. In den USA lag die Erwerbslosenquote zuletzt bei 9,4 Prozent und Abbildung 11 in Japan bei 4,9 Prozent. Saisonbereinigte Erwerbslosenquoten in der EU Im Vergleich zum Vorjahresmonat hat die sai- in Prozent sonbereinigte Erwerbslosenquote in der Euro- Europäische Union zone und in der EU um jeweils 0,1 Prozent- Dezember 2010 punkte zugenommen. Dabei gab es in den meis- Niederlande 4,3 Luxemburg 4,9 ten Mitgliedstaaten einen Anstieg, den stärksten Österreich 5,0 Malta 6,2 in Griechenland (+2,7 Prozentpunkte). Den Deutschland 6,6 Rumänien 7,3 größten Rückgang verzeichnete Lettland Zypern 7,3 Tschechien 7,7 (-1,6 Prozentpunkte). In Deutschland betrug das Slowenien 7,8 Großbritannien 7,8 Minus 0,8 Prozentpunkte. In den USA und Ja- Schweden 7,8 Finnland 8,0 pan nahm die Erwerbslosenquote um jeweils um Belgien 8,1 Dänemark 8,2 0,5 bzw. um 0,3 Prozentpunkte ab. Italien 8,6 EU 27 9,6 Frankreich 9,7 Polen 10,0 16 EZ 16 10,0 Quelle: Erhebung über Arbeitskräfte, Eurostat Datenbank (Datenstand: Bulgarien 10,1 22.02.2011) und Statistisches Bundesamt. Wenn bei einzelnen Staaten Portugal 10,9 Werte für den genannten Berichtsmonat nicht verfügbar sind, werden Ungarn 11,7 Griechenland 12,9 die zuletzt gemeldeten Werte für diesen Monat genutzt. Irland 13,8 17 Slowakei 14,5 Zur Eurozone (EZ) gehörten bis Dezember 16 Länder (EZ16): Belgien, Estland 16,1 Deutschland, Finnland, Frankreich, Griechenland, Irland, Italien, Lu- Lettland 18,3 xemburg, Malta, die Niederlande, Österreich, Portugal, Slowenien, die Litauen 18,3 Spanien 20,2 Slowakei, Spanien und Zypern. 18 Quelle : Eurostat, Statistisches Bundesamt Zur Europäischen Union (EU) gehörten bis Dezember 27 Länder (EU 27): die Mitglieder der Eurozone und sowie Bulgarien, Dänemark, Est- land, Großbritannien, Lettland, Litauen, Polen, Rumänien, Schweden, Tschechien und Ungarn. 18
  • 19.
    Monatsbericht Februar 2011 Bundesagentur für Arbeit II. Soziale Sicherung bei Arbeitslosigkeit Im Februar erhielten 5.732.000 erwerbsfähige Menschen Lohnersatzleistungen nach dem SGB III oder Leistungen zur Sicherung des Lebensunterhalts nach dem SGB II. Die Zahl der Leistungsempfänger ist damit im Vorjahresvergleich um 504.000 zurückgegangen. Integrierte Auswertungen zu Leistungsbezug und Arbeitslosigkeit liegen für den Oktober vor. Danach waren 47 Prozent der Leistungsempfänger ar- beitslos gemeldet. Von allen Arbeitslosen erhielten 88 Prozent Leistungen aus der Arbeitslosenversiche- rung oder der Grundsicherung für Arbeitsuchende. 20 1. Überblick ten (so genannte Aufstocker). Außer den Leis- Nach einer vorläufigen Hochrechnung bekamen tungsempfängern gab es im Oktober noch im Februar 5.732.000 erwerbsfähige Menschen 367.000 Arbeitslose, die im Berichtsmonat keine Lohnersatzleistungen nach dem SGB III oder Geldleistungen aus der Arbeitslosenversiche- Leistungen zur Sicherung des Lebensunterhalts rung oder der Grundsicherung bezogen. Von nach dem SGB II, 504.000 oder 8 Prozent weni- allen Arbeitslosen erhielten 88 Prozent Leistun- ger als vor einem Jahr (siehe Abbildung 13: gen (siehe Abbildung 12: Arbeitslosigkeit und Leistungsempfänger nach Rechtskreisen). Leistungsbezug). Abbildung 12 Integrierte Auswertungen zu Leistungsbezug und Arbeitslosigkeit können erst nach einer War- Arbeitslosigkeit und Leistungsbezug tezeit vorgenommen werden und liegen aktuell Angaben in Tausend 19 für den Oktober 2010 vor. Danach waren von Deutschland 5.495.000 Leistungsempfängern 2.579.000 oder Oktober 2010 47 Prozent in der Arbeitslosenversicherung oder Veränderung zum Oktober September Vorjahresmonat der Grundsicherung für Arbeitsuchende arbeits- 2010 2010 absolut in % los gemeldet. 2.916.000 Personen oder 53 Pro- zent bekamen Leistungen, ohne arbeitslos zu Arbeitslose 2.945 3.031 -283 -8,8 davon: sein. Die Gründe dafür können sein: vorüberge- arbeitslose hende Arbeitsunfähigkeit, die Teilnahme an Leistungsempfänger = 2.579 2.653 -259 -9,1 Maßnahmen der Arbeitsförderung, die Inan- Arbeitslosengeld 718 750 -148 -17,1 spruchnahme der vorruhestandsähnlichen Re- + Arbeitslosengeld II1) 1.928 1.974 -135 -6,5 gelung (des § 428 SGB III bzw. §53a SGB II), - Aufstocker2) 67 71 -24 -26,0 die Ausübung einer Erwerbstätigkeit von mehr arbeitslose Nicht-Leistungsempfänger 367 378 -24 -6,2 als 15 Wochenstunden oder eine zulässige Ein- nachrichtlich: schränkung der Verfügbarkeit insbesondere alle Leistungsempfänger = 5.495 5.580 -351 -6,0 wegen § 10 SGB II (z. B. Kindererziehung und Arbeitslosengeld 833 866 -235 -22,0 Schulbesuch). Unter den Leistungsempfängern + Arbeitslosengeld II1) 4.750 4.805 -146 -3,0 waren 88.000 Personen, die ergänzend zum - Aufstocker2) 88 91 -30 -25,4 1) erw erbsfähige Hilfebedürftige (eHb) Arbeitslosengeld auch Arbeitslosengeld II erhiel- 2) Personen mit gleichzeitigem Bezug von Arbeitslosengeld und Arbeitslosengeld II Quelle: Statistik der Bundesagentur für Arbeit 19 Eckwerte zu den Arbeitslosengeld- und Arbeitslosengeld II-Empfängern werden am aktuellen Rand hochgeschätzt, Strukturdaten liegen für Ar- beitslosengeld-Empfänger nach zwei und für die Grundsicherungssta- tistik nach drei bzw. vier Monaten vor. Siehe auch Kapitel V. Wichtige 20 statistische Hinweise. Aufstocker werden dem Rechtskreis SGB II zugeordnet. Bei Summen- bildung werden Doppelzählungen herausgerechnet. 19
  • 20.
    Monatsbericht Februar 2011 Bundesagentur für Arbeit 2. Arbeitslosenversicherung Abbildung 13 Arbeitslosengeld-Empfänger werden als ein- zelne Personen mit Ansprüchen an die Arbeits- Leistungsempfänger nach Rechtskreisen losenversicherung erfasst. Personen, die mit in Tausend Deutschland Arbeitslosengeld-Empfängern zusammenleben, 2005 bis 2011 also z.B. Partner oder Kinder, und keinen eige- nen Anspruch haben, werden nicht erhoben. 6.000 Dies ist beim Vergleich mit Auswertungen aus der Grundsicherung für Arbeitsuchende zu be- 5.000 achten, in der alle Personen einer Bedarfsge- Arbeitslosengeld II (erwerbsfähige Hilfebedürftige) meinschaft als Hilfebedürftige berücksichtigt 4.000 werden. 3.000 2.1 Bezieher von Arbeitslosengeld 2.000 Arbeitslosengeld Nach einer vorläufigen Hochrechnung erhielten im Februar 1.073.000 Personen Arbeitslosen- 1.000 geld nach dem SGB III (ohne Arbeitslosengeld 0 für Weiterbildung). Von Januar auf Februar gab 2005 2006 2007 2008 2009 2010 2011 es einen saisonbedingten Anstieg und zwar um Saisonbereinigte Werte Ursprungswerte 7.000. Saisonbereinigt errechnet sich für Febru- Quelle: Statistik der Bundesagentur für Arbeit ar ein Rückgang von -35.000. Gegenüber dem Vorjahr gab es im Februar 294.000 oder 22 Pro- 2.2 Zugang und Abgang von Arbeitslosen- zent weniger Arbeitslosengeld-Empfänger nach geld-Empfängern -263.000 oder -20 Prozent im Januar. Im gleitenden Jahreszeitraum von Januar 2010 Von den 1.073.000 Arbeitslosengeld-Empfän- bis Dezember 2010 – aktuellere Daten liegen gern im Februar waren 949.000 oder 88 Prozent hier nicht vor – bezogen 2.778.000 Personen arbeitslos gemeldet. 124.000 Arbeitslosengeld- neu Arbeitslosengeld, 430.000 oder 13 Prozent Empfänger wurden nicht als arbeitslos geführt, weniger als im gleichen Zeitraum des Vorjahres. z.B. weil sie die vorruhestandsähnliche Rege- Die Abgänge aus dem Leistungsbezug haben lung des § 428 SGB III in Anspruch nahmen, ar- sich im gleichen Zeitraum um 28.000 oder beitsunfähig erkrankt waren, sich in einer Trai- 1 Prozent auf 3.021.000 erhöht. Bezieht man die ningsmaßnahme befanden oder an Maßnahmen Abgänge auf den jeweiligen Bestand des Vor- zur Aktivierung und beruflichen Eingliederung monats, erlaubt dies eine Betrachtung der Ab- teilnahmen. gangschancen bei sinkenden oder steigenden Beständen. Die so berechnete monatsdurch- schnittliche Abgangsrate blieb gegenüber dem Vorjahresmonat unverändert bei 23,2 Prozent. Dabei gelang es im gleitenden Jahreszeitraum Januar bis Dezember 2010 1.721.000 oder 57 Prozent der abgehenden Arbeitslosengeld- Empfänger, ihren Leistungsbezug durch Ar- beitsaufnahme zu beenden. Dies entspricht einem Anstieg um 3 Prozentpunkte gegenüber dem Vorjahreszeitraum. Die Abgangsrate in 20
  • 21.
    Monatsbericht Februar 2011 Bundesagentur für Arbeit Arbeit stieg im gleichen Zeitraum um 0,8 Pro- 3. Grundsicherung für Arbeitsuchende 21 zentpunkte auf 13,2 Prozent. Auch die Zahl der Hilfebedürftige Personen in der Grundsicherung Leistungsbezieher, die ihren Anspruch aus- umfassen neben erwerbsfähigen auch nicht schöpften, nahm im Vorjahresvergleich um erwerbsfähige Hilfebedürftige, die zusammen in 3.000 bzw. 0,4 Prozent auf 655.000 zu. Die Ab- Bedarfsgemeinschaften leben. In einer Bedarfs- gangsrate durch Ausschöpfung des Anspruchs gemeinschaft wohnt mindestens eine erwerbs- blieb unverändert bei 5,0 Prozent. fähige hilfebedürftige Person. Erwerbsfähig ist, 2.3 Höhe des Arbeitslosengeldes wer mindestens drei Stunden täglich unter den üblichen Bedingungen des Arbeitsmarktes ar- Für die Höhe des Arbeitslosengeldes ist das vor beiten kann. Hilfebedürftig ist, wer seinen Le- Eintritt der Arbeitslosigkeit erzielte Bruttoarbeits- bensunterhalt und den Lebensunterhalt der Per- entgelt maßgeblich, das um die pauschalierten sonen in der Bedarfsgemeinschaft nicht aus Abgaben zur Sozialversicherung reduziert wird. eigenen Mitteln, vor allem durch Aufnahme von Daneben sind die Steuerklasse, Kinder und Arbeit, sichern kann. Nebeneinkommen von Bedeutung. 3.1 Erwerbsfähige Hilfebedürftige Im Dezember – jüngere Daten liegen nicht vor – erhielten von den 886.000 Arbeitslosengeld- Die hochgerechnete Zahl der Arbeitslosen- Empfängern 279.000 oder 31 Prozent den er- geld II-Empfänger nach dem SGB II ist im Feb- höhten Satz von 67 Prozent des pauschalierten ruar gegenüber dem Vormonat saisonbedingt Netto-Arbeitsentgelts für Arbeitslose mit mindes- um 19.000 auf 4.763.000 gestiegen, im Ver- tens einem Kind. Rund 607.000 oder 69 Prozent gleich zu +62.000 im Vorjahresmonat. Saisonbe- der Arbeitslosengeld-Empfänger erhielten den reinigt errechnet sich eine Abnahme um 34.000, Leistungssatz von 60 Prozent für Bezieher ohne nach -25.000 im Januar und -5.000 im Dezem- Kinder. ber. Im Vergleich zum Vorjahr ist die Zahl der erwerbsfähigen Hilfebedürftigen im Februar um Die durchschnittliche monatliche Anspruchshöhe 241.000 oder 5 Prozent gesunken, nach betrug bundesweit 809 Euro (ohne Beiträge zur -198.000 oder -4 Prozent im Januar und Renten- und Krankenversicherung). Nach Ge- -174.000 oder -4 Prozent im Dezember. schlecht und Familienstatus differenziert, reicht die Spanne von durchschnittlich 640 Euro für verheiratete Frauen mit Kind bis zu durchschnitt- lich 1.142 Euro für verheiratete Männer mit Kind. 21 Vgl. monatlicher Analytikreport der Statistik, Analyse der Grundsiche- rung für Arbeitsuchende, http://statistik.arbeitsagentur.de/Navigation/Statistik/Statistische- Analysen/Analytikreports/Zentral/Monatliche-Analytikreports/Analyse- Grundsicherung-Arbeitsuchende-nav.html. Statistik der Grundsicherung für Arbeitsuchende nach SGB II, Über- sichtstabellen zur Grundsicherung für Arbeitsuchende nach dem SGB II - Bund und Länder, sowie Report für Kreise und kreisfreie Städte, http://statistik.arbeitsagentur.de/Navigation/Statistik/Statistik-nach- Themen/Grundsicherung-fuer-Arbeitsuchende-SGBII/Ueberblick/Ueberblick- Nav.html 21
  • 22.
    Monatsbericht Februar 2011 Bundesagentur für Arbeit 24 Informationen zum Arbeitslosenstatus und zu hestandsähnliche Regelungen in Anspruch weiteren Strukturmerkmalen von Arbeitslosen- nahmen. geld II-Empfängern stehen erst zeitverzögert zur Abbildung 14 22 Verfügung. Nach der jüngsten Auswertung für den Oktober 2010 waren 41 Prozent der Ar- beitslosengeld II-Empfänger arbeitslos. Das Struktur der erwerbsfähigen Hilfebedürftigen (eHb) in Prozent waren 2 Prozentpunkte weniger als noch vor Deutschland einem Jahr. Oktober 2010 4.750.000 erwerbsfähige Hilfebedürftige 2,82 Mio erwerbsfähige Hilfebedürftige erhielten 7% unbekannt/Sonstige im Oktober 2010 Leistungen aus der Grundsi- 6% in vorruhestandsähnlichen Regelungen cherung, ohne arbeitslos zu sein. Dies sind vor 6% in Arbeitsunfähigkeit 7% in Erziehung, Haushalt, Pflege allem drei Gruppen (siehe Abbildung 14: Struk- in Schule, Studium, 7% ungeförderter Ausbildung tur der erwerbsfähigen Hilfebedürftigen): Hilfe- 13% in ungeförderter Erwerbstätigkeit bedürftige, die an arbeitsmarktpolitischen Maß- nahmen teilnehmen; Erwerbstätige deren Ein- in arbeitsmarktpolitischen 14% Maßnahmen kommen nicht ausreicht den Lebensunterhalt ihrer Bedarfsgemeinschaft zu sichern; sowie erwerbsfähige Hilfebedürftige, für die eine Arbeit 23 arbeitslose derzeit nicht zumutbar ist. So nahm im Okto- 41% erwerbsfähige Hilfebedürftige ber 2010 fast ein Viertel der nicht-arbeitslosen erwerbsfähigen Hilfebedürftigen an Maßnahmen der aktiven Arbeitsmarktpolitik teil (684.000 Hil- Quelle: Statistik der Bundesagentur für Arbeit febedürftige), ein gutes Fünftel ging in einem Umfang von mehr als 15 Wochenstunden einer 25 3.2 Erwerbstätige Leistungsbezieher ungeförderten Erwerbstätigkeit nach (626.000 Im Oktober 2010 bezogen mit 1,40 Mio gut Hilfebedürftige). Zudem besuchten 321.000 29 Prozent der erwerbsfähigen Leistungsbezie- erwerbsfähige Hilfebedürftige eine Schule, stu- her in der Grundsicherung Einkommen aus Er- dierten oder waren in einer ungeförderten Aus- werbstätigkeit, 28.000 bzw. 2 Prozent mehr als bildung, 330.000 betreuten kleine Kinder oder vor einem Jahr. 1,28 Mio der erwerbstätigen pflegten Angehörige und 259.000 waren kurz- Leistungsbezieher übten eine abhängige Be- oder längerfristig arbeitsunfähig gemeldet. schäftigung aus, während 126.000 ausschließ- Schließlich zählten 277.000 erwerbsfähige Hil- lich oder zusätzlich einer selbständigen Tätigkeit febedürftige nicht als arbeitslos, weil sie vorru- nachgingen. Im Vorjahresvergleich stieg die 22 Zahl der abhängigen Beschäftigten um 21.000 Es ist zu beachten, dass eine nennenswerte Zahl der Arbeitslosen im Rechtskreis SGB II keine Leistungen aus der Grundsicherung bezieht bzw. 2 Prozent. Die Zahl der selbständig er- und deshalb die Zahl der Arbeitslosen im Rechtskreis SGB II größer werbstätigen ALG II-Bezieher lag um 9.000 bzw. ist als die Zahl der arbeitslosen erwerbsfähigen Hilfebedürftigen (um 4 Prozent). Grund dafür sind zeitverzögert erfasste Rechtskreiswech- 8 Prozent über dem Vorjahreswert. sel und kurzzeitige Leistungsunterbrechungen. Siehe hierzu auch Ka- pitel IV. und ausführlich den Methodenbericht „Zur Messung der Ar- beitslosigkeit in der Grundsicherung für Arbeitsuchende nach dem 24 SGB II“, § 428 SGB III/§ 65 SGB II/§252 Abs. 8 SGB VI http://statistik.arbeitsagentur.de/Navigation/Statistik/Grundlagen/Methodenberichte/ 25 Methodenberichte-Nav.html. Siehe hierzu Statistik der Bundesagentur für Arbeit, Arbeitsmarkt in 23 Zahlen, Erwerbstätige Arbeitslosengeld II-Bezieher, Kriterien hierfür sind nach § 10 SGB II insbesondere die Erziehung http://statistik.arbeitsagentur.de/Navigation/Statistik/Statistik-nach- von Kindern unter drei Jahren, die Pflege von Angehörigen sowie der Themen/Grundsicherung-fuer-Arbeitsuchende-SGBII/Bedarfe-Leistungen- Besuch einer Schule. Einkommen/Bedarfe-Leistungen-Einkommen-Nav.html 22
  • 23.
    Monatsbericht Februar 2011 Bundesagentur für Arbeit Das erzielte Einkommen und die Arbeitszeit der schaft. In einem Drittel der Bedarfsgemeinschaf- erwerbstätigen erwerbsfähigen Hilfebedürftigen ten lebten 2,00 Mio minderjährige Kinder. Mit variieren erheblich. Daten zum Umfang und Art 392.000 war ein Fünftel unter 3 Jahre und mit der Beschäftigung liegen erst mit einer Wartezeit 876.000 rund 44 Prozent unter 7 Jahre alt. vor. Im Juli 2010 war mit 710.000 der 1,29 Mio Abbildung 15 abgängig erwerbstätigen Hilfebedürftigen mehr als die Hälfte ausschließlich geringfügig entlohnt Bedarfsgemeinschaften und hilfebedürftige Personen1) beschäftigt. Mit 351.000 war ein gutes Viertel in Angaben in Tausend sozialversicherungspflichtiger Vollzeit beschäf- Deutschland tigt, darunter 38.000 Auszubildende, und Februar 2011 18 Prozent (231.000 Personen) waren sozial- Veränderung zum Februar Januar Vorjahresmonat versicherungspflichtig in Teilzeit beschäftigt. Im 2011 2011 absolut in % Vergleich zum Juli 2010 stieg die Zahl der in Bedarfsgemeinschaften 3.515 3.500 -129 -3,5 Vollzeit beschäftigten Arbeitslosengeld II- hilfebedürftige Personen 6.533 6.513 -322 -4,7 Bezieher um 11.000 bzw. 3 Prozent. Im gleichen davon: Zeitraum stieg die Zahl der sozialversicherungs- erwerbsfähige Hilfebedürftige 4.763 4.744 -241 -4,8 nicht pflichtig in Teilzeit beschäftigten Leistungsbe- erwerbsfähige Hilfebedürftige 1.769 1.769 -80 -4,3 zieher um 18.000 bzw. 8 Prozent und die Zahl SGB II-Quote2) 10,1 10,0 -0,5 x der ausschließlich geringfügig entlohnt Beschäf- eHb-Quote3) 8,8 8,8 -0,5 x 1) vorläufige hochgerechnete Werte tigten um 31.000 bzw. 5 Prozent. 2) hilfebedürftige Personen bezogen auf die Bevölkerung bis unter 65 Jahre 3) erw erbsfähige Hilfebedürftige (eHb) bezogen auf die Bevölkerung von 15 bis unter 65 Jahre 3.3 Bedarfsgemeinschaften und hilfebedürf- Quelle: Statistik der Bundesagentur für Arbeit tige Personen Im Februar lebten die 4,76 Mio erwerbsfähigen 3.4 Zugang und Abgang von erwerbsfähigen Hilfebedürftigen gemeinsam mit 1,77 Mio nicht Hilfebedürftigen erwerbsfähigen Hilfebedürftigen in 3,51 Mio Be- darfsgemeinschaften. Nicht erwerbsfähige Hilfe- Im gleitenden Jahreszeitraum November 2009 bedürftige sind vor allem Kinder unter 15 Jah- bis Oktober 2010 gab es hochgerechnet ren, ihr Anteil an dieser Gruppe belief sich zu- 2,16 Mio Zugänge und 2,37 Mio Abgänge von letzt auf 96 Prozent. Im Vergleich zum Vorjah- erwerbsfähigen Hilfebedürftigen. Die Zahl der resmonat hat sich die Zahl der Hilfebedürftigen Zugänge in Hilfebedürftigkeit sank im Vergleich insgesamt um 322.000 bzw. 5 Prozent auf zum Vorjahreszeitraum um 5 Prozent während 6,53 Mio reduziert. Die Zahl der Bedarfsgemein- die Zahl der Abgänge um 3 Prozent anstieg. schaften hat um 129.000 bzw. 4 Prozent abge- Dividiert man die monatlichen Ab- bzw. Zugänge nommen (siehe Abbildung 15: Bedarfsgemein- durch den Bestand im Vormonat erhält man schaften und hilfebedürftige Personen). monatliche Ab- bzw. Zugangsraten. Dies erlaubt Aussagen – etwa über die Abgangschancen – Im Durchschnitt lebten in einer Bedarfsgemein- bei wachsenden oder sinkenden Beständen. schaft knapp 1,9 Personen. Von den Bedarfsge- Gemessen am jeweiligen Vormonatsbestand meinschaften im Oktober 2010 waren 52 Pro- kamen im Zeitraum von November 2009 bis zent Single-Bedarfsgemeinschaften, 18 Prozent Oktober 2010 monatsdurchschnittlich 3,6 Pro- Alleinerziehende, 12 Prozent Paare ohne Kinder zent erwerbsfähige Hilfebedürftige neu in Hilfe- und 15 Prozent Paare mit Kindern. Allerdings bedürftigkeit (Zugangsrate). Im gleichen Zeit- lebten fast drei Viertel der hilfebedürftigen Per- raum gelang es pro Monat durchschnittlich sonen in einer Mehrpersonen-Bedarfsgemein- 4,0 Prozent des Bestands hilfebedürftiger Per- 23
  • 24.
    Monatsbericht Februar 2011 Bundesagentur für Arbeit 27 sonen ihre Hilfebedürftigkeit wenigstens zeitwei- 3.6 Höhe der Geldleistungen se zu beenden (Abgangsrate). Im Vergleich zum Im Oktober 2010 erhielt eine durchschnittliche Vorjahreszeitraum sank die Zugangsrate um Bedarfsgemeinschaft mit 1,9 Personen 842 Euro 0,3 Prozentpunkte. Die Abgangsrate stieg dage- an Geldleistungen aus der Grundsicherung. In gen gegenüber dem Vorjahr um 0,1 Prozent- diesem Betrag sind alle Leistungen der Grundsi- punkte. 28 cherung zum Lebensunterhalt enthalten. Rechnet man die Sozialversicherungsbeiträge Von den erwerbsfähigen Hilfebedürftigen, die im bzw. -zuschüsse und die einmaligen Leistungen gleitenden Jahreszeitraum ihre Hilfebedürftigkeit heraus, erhielt eine Bedarfsgemeinschaft im beendeten, bekamen 27 Prozent innerhalb von Durchschnitt 671 Euro ausgezahlt. Die Gesamt- drei Monaten wieder Leistungen aus der Grund- geldleistungen variieren deutlich nach Größe sicherung. Von den in Hilfebedürftigkeit zuge- und Typ der Bedarfsgemeinschaft und reichen gangenen Personen hatten 31 Prozent innerhalb von durchschnittlich 719 Euro für eine Bedarfs- der vergangenen drei Monate und die Hälfte gemeinschaft mit einer Person bis zu 1.394 Euro während der vergangenen zwölf Monate bereits für eine Bedarfsgemeinschaft mit fünf und mehr einmal Leistungen nach dem SGB II bezogen. Personen. Das waren 1,9 Prozentpunkte weniger als noch im Vorjahreszeitraum. Zudem bezogen Aber auch bei gleicher Größe und Typ der Be- 13 Prozent der Zugehenden im Verlauf der ver- darfsgemeinschaft zeigen sich Unterschiede. gangenen drei Monate mindestens einmal Ar- Zum einen variiert das Mietniveau, außerdem beitslosengeld nach dem SGB III, 2,3 Prozent- erhalten nicht alle Bedarfsgemeinschaften den punkte weniger als im Vorjahreszeitraum. 7 Pro- befristeten Zuschlag nach vorherigem Arbeitslo- zent gingen als Aufstocker von Arbeitslosengeld sengeldbezug oder Mehrbedarfe z.B. bei zu. Das waren 0,9 Prozentpunkte weniger als im Schwangerschaft oder Behinderung. Ein weite- gleichen Zeitraum des Vorjahrs. rer wichtiger Grund ist, dass eigenes Einkom- men den Bedarf in unterschiedlich großem Um- 26 fang verringert. So war im Oktober in 57 Prozent 3.5 Hilfequoten der Bedarfsgemeinschaften eigenes Einkommen Im Februar waren 10,1 Prozent der in Deutsch- anrechenbar, darunter in 35 Prozent aller Be- land lebenden Bevölkerung unter 65 Jahren darfsgemeinschaften Kindergeld, in knapp hilfebedürftig. Die SGB II-Quote lag damit um 30 Prozent Einkommen aus Erwerbstätigkeit, in 0,5 Prozentpunkte unter dem Vorjahresniveau. 8 Prozent Unterhalt und in 7 Prozent andere Sozialleistungen (u.a. Arbeitslosengeld). Die Quote für die erwerbsfähigen Hilfebedürfti- gen (bezogen auf die 15- bis unter 65-Jährigen) ging ebenfalls um 0,5 Prozentpunkte auf 8,8 Prozent zurück. Die Quote für die nicht er- werbsfähigen Kinder unter 15 Jahren (bezogen 27 Vgl. hierzu Statistik der Bundesagentur für Arbeit, Statistik der Grund- auf die unter 15-jährige Wohnbevölkerung in sicherung für Arbeitsuchende nach SGB II, Geldleistungen für Be- darfsgemeinschaften, Daten nach einer Wartezeit von 3 Monaten, Deutschland) liegt bis Oktober vor. Sie lag mit http://statistik.arbeitsagentur.de/Navigation/Statistik/Statistik-nach- 15,5 Prozent 0,4 Prozentpunkte unter dem Ni- Themen/Grundsicherung-fuer-Arbeitsuchende-SGBII/Bedarfe-Leistungen- Einkommen/Bedarfe-Leistungen-Einkommen-Nav.html veau des Vorjahres. 28 Leistungen zur Sicherung des Lebensunterhaltes setzen sich zusam- men aus den Regelleistungen Arbeitslosengeld II und Sozialgeld, Leis- tungen für Mehrbedarfe, Einmalleistungen, Beiträge zur gesetzlichen 26 Kranken-, Pflege- und Rentenversicherung, Leistungen für Unterkunft Vgl. zur Ermittlung der Hilfequoten: http://statistik.arbeitsagentur.de/Navigation/Statistik/Grundlagen/Berechnung-der- und Heizung sowie ggf. einem Zuschlag für ehemalige Arbeitslo- Hilfequoten/Berechnung-der-Hilfequoten-Nav.html. sengeld-Empfänger. 24
  • 25.
    Monatsbericht Februar 2011 Bundesagentur für Arbeit III. Ausbildungsmarkt Im Gegensatz zum Arbeitsmarkt ist der Ausbildungsmarkt nicht auf einen umgehenden Ausgleich von Angebot und Nachfrage gerichtet. Vielmehr orientieren sich Jugendliche und Ausbildungsbetriebe am regulären Beginn der Ausbildung im August und September. Kumulierte Stellen und Bewerbermeldungen zu Beginn des Berufsberatungsjahres (Oktober bis Februar) sind daher kaum aussagekräftig und werden nicht veröffentlicht. Eine erste Einschätzung der Lage auf dem Ausbildungsmarkt im Berufsberatungsjahr 2010/2011 erfolgt im Monatsbericht März 2011. 25
  • 26.
    Monatsbericht Februar 2011 Bundesagentur für Arbeit IV. Einsatz der arbeitsmarktpolitischen Instrumente Arbeitsmarktpolitische Maßnahmen verfolgen das Ziel, Arbeitslose nachhaltig in den Arbeits- und Ausbil- dungsmarkt zu integrieren. Um eine dauerhafte Beschäftigung zu sichern, sollen Beschäftigungschancen erweitert und Beschäftigungsfähigkeit erhalten werden. Die Investition in Beschäftigungsfähigkeit legt den Grundstein zur Entfaltung präventiver Wirkung gegen Arbeitslosigkeit, gleichzeitig kann dadurch ein Bei- trag zur Deckung des Fachkräftebedarfs geleistet werden. Wegen der Besonderheiten der jeweils zu betreuenden Personenkreise werden in den beiden Rechtskreisen die arbeitsmarktpolitischen Instrumen- te mit verschiedenen Schwerpunkten eingesetzt. Kunden im Rechtskreis SGB III verfügen, aufgrund ihrer im Durchschnitt kürzeren Dauer der Arbeitslosigkeit, in der Regel über aktuellere Erfahrungen im Berufs- leben. Für sie kommen daher vermehrt arbeitsmarktpolitische Instrumente in Frage, die auf eine Verbes- serung bereits vorhandener Qualifikationen oder eine Beschäftigung auf dem ersten Arbeitsmarkt abzie- len. Bei Arbeitslosen im Rechtskreis SGB II liegt eine Beschäftigung in der Regel schon länger zurück oder wurde zum Teil noch nie ausgeübt, daher werden in diesem Rechtskreis neben Instrumenten zur Verbesserung der Integrationschancen auf dem ersten Arbeitsmarkt auch Beschäftigung schaffende Maßnahmen eingesetzt. Zur Verbesserung der Integrationschancen kommt dem wirkungsvollen Einsatz arbeitsmarktpolitischer Maßnahmen – gerade vor dem Hintergrund knapper Haushaltsmittel – eine besondere Bedeutung zu. So hat der Haushaltsausschuss des Deutschen Bundestages im April 2010 die Erwartungen formuliert, die Eingliederungsquote im SGB II um fünf Prozentpunkte zu steigern. An Verbesserungen wird entlang des gesamten Förderprozesses gearbeitet. Mit dem sogenannten Fördercheck haben die Integrationsfach- kräfte ein Werkzeug erhalten, das sie bei der Auswahl einer erfolgsversprechenden Maßnahme unter- stützt. Im Fokus der Arbeit steht es ebenso, die Zusammenarbeit mit den Maßnahmeträgern sowie die Eingliederungsbemühungen nach absolvierter Maßnahme weiter zu optimieren. 1. Umfang der eingesetzten arbeits- marktpolitischen Instrumente 29 1.1 Teilnahme an Maßnahmen zur Aktivie- 30 rung und beruflichen Eingliederung Im Februar befanden sich 1,3 Mio Personen in einer von Bund oder Bundesagentur für Ar- Maßnahmen zur Aktivierung und beruflichen beit geförderten arbeitsmarktpolitischen Maß- Eingliederung, die sowohl im Rechtskreis nahme. Dies waren 18 Prozent weniger als im SGB III als auch im Rechtskreis SGB II einge- gleichen Monat des Vorjahrs. Im Februar 2011 setzt werden, können bei einem Träger oder kamen 2,5 Arbeitslose auf jede geförderte aber auch von einem Arbeitgeber durchgeführt Person, gegenüber einer Förderintensität von werden. Mit diesen Maßnahmen wurden im 2,3 im Februar 2010. Damit fiel die Förderung Februar 183.000 Personen unterstützt. Im durch Maßnahmen der aktiven Arbeitsmarktpo- Berichtsmonat sind 108.000 Personen in eine litik niedriger aus als im Vorjahresmonat. solche Maßnahme eingetreten. Seit Januar haben somit 192.000 Personen eine entspre- 29 chende Maßnahme begonnen. Das waren Die Daten sind vorläufige, z.T. nicht hochgerechnete Daten am aktuellen Rand. Ein Vergleich mit dem Vorjahr ist daher nur einge- 30 Prozent weniger als im Vorjahreszeitraum. schränkt möglich. 30 Die Zahl der Teilnehmer an Maßnahmen der aktiven Arbeitsmarktpo- 1.2 Förderung der beruflichen Weiterbil- litik darf nicht mit der Entlastungswirkung der aktiven Arbeitsmarkt- politik verwechselt werden, die in Kapitel I. ausführlich beschrieben dung wird. Nicht allen bestandswirksamen Maßnahmen der aktiven Ar- beitsmarktpolitik sind entlastende Wirkungen zuzuordnen (vgl. dazu Im Februar nahmen mit 206.000 Personen Kapitel V. „Wichtige statistische Hinweise“ Nr. 5). ebenso viele an einer Weiterbildungsmaßnah- 26
  • 27.
    Monatsbericht Februar 2011 Bundesagentur für Arbeit me (inkl. Reha) teil wie im Vorjahresmonat. Im 1.3 Eingliederungszuschüsse aktuellen Monat haben 28.000 Personen eine Mit Hilfe von Eingliederungszuschüssen wurde berufliche Weiterbildung begonnen – seit Jah- im Februar die Beschäftigung von 97.000 Ar- resbeginn waren es 53.000. Das waren beitnehmern mit Vermittlungshemmnissen 27 Prozent weniger als im Vorjahreszeitraum. gefördert, davon in 13.000 Fällen erstmalig. Im Vergleich zum Vorjahresmonat war dies ein 1.2.1 Qualifizierung über das Programm Rückgang im Bestand um 17 Prozent. Seit WeGebAU Jahresbeginn wurden 26.000 Personen neu Die Bundesagentur für Arbeit fördert die Wei- gefördert – 21 Prozent weniger als im Vorjah- terbildung Beschäftigter insbesondere mit dem reszeitraum. Programm „Weiterbildung Geringqualifizierter 31 und beschäftigter älterer Arbeitnehmer in Un- 1.4 Förderung der Selbständigkeit ternehmen“. Im Oktober 2010 – jüngere end- Im Februar wurde die selbständige Existenz gültige Werte liegen noch nicht vor – wurden von 140.000 Personen über die Instrumente insgesamt 11.000 Förderungen neu bewilligt, seit Jahresbeginn 2010 waren es 69.000. Da- der Selbständigenförderung (Gründungszu- runter konnten rund 1.400 ältere Arbeitnehmer schuss, Einstiegsgeld) unterstützt. Dies waren ab 45 Jahren in Betrieben mit weniger als 250 7 Prozent weniger als ein Jahr zuvor. Im Be- Beschäftigten neu in die Förderung einbezo- richtsmonat wurden 9.000 Existenzgründer gen werden. Seit Jahresbeginn 2010 wurden erstmals gefördert. Seit Jahresbeginn waren so 8.600 Ältere neu gefördert. Daneben erhiel- es 24.000. Das waren 23 Prozent weniger als ten im Oktober Arbeitgeber für 1.400 Arbeit- im Vorjahreszeitraum. nehmer den Arbeitsentgeltzuschuss (AEZ) bewilligt, seit Jahresbeginn 2010 waren dies 2. Förderung im Bereich SGB III 12.000. Die Bundesagentur für Arbeit hat den gesetzli- Abbildung 16 chen Auftrag, zu einem möglichst hohen Be- schäftigungsstand in Deutschland beizutragen Beschäftigung schaffende Maßnahmen1) und die Beschäftigungsstruktur ständig zu in Tausend verbessern. Das Entstehen von Arbeitslosig- Deutschland keit soll vermieden und die Dauer der Arbeits- 2005 bis 2011 losigkeit verkürzt werden. Zur Verwirklichung dieser Ziele steht den Agenturen für Arbeit eine Vielzahl von arbeitsmarktpolitischen In- 300 strumenten zur Verfügung. Sie erlauben es, Arbeitsgelegenheiten nach 16 Abs. 3 SGB II sowohl auf unterschiedliche Arbeitsmarktge- gebenheiten als auch auf die individuellen 200 Voraussetzungen und Bedürfnisse der Arbeit suchenden Menschen zu reagieren. Dabei wird der bereits in den Vorjahren eingeschlagene 100 Weg des effizienten und effektiven Einsatzes ABM SGB III der finanziellen Mittel weiter beschritten. Ge- ABM SGB II messen an dem Einsatz von Ressourcen soll 0 2005 2006 2007 2008 2009 2010 2011 31 Ohne Einmalleistungen nach § 16c SGB II (Sachmittel für Selbstän- 1) Die letzten drei Monate hochgerechnete vorläufige Werte. dige). Quelle: Statistik der Bundesagentur für Arbeit 27
  • 28.
    Monatsbericht Februar 2011 Bundesagentur für Arbeit ein Maximum an arbeitsmarktlicher Wirkung Abbildung 17 erreicht werden. Der Einsatz von beschäfti- gungsbegleitenden Leistungen und Maßnah- Förderung der Selbständigkeit im SGB III1) men zur Verbesserung von Integrationschan- in Tausend cen steht dabei eindeutig im Vordergrund. Deutschland 2005 bis 2011 2.1 Aktuelle Entwicklungen des Förderge- schehens im SGB III 300 Förderung der Im Bereich des SGB III wurden im Februar Selbständigkeit insgesamt 711.000 Personen mit Mitteln der aktiven Ar- beitsmarktpolitik gefördert. Die Zahl der Geför- 200 derten ist damit im Vergleich zum Vorjahres- Existenz- gründungs- monat um 17 Prozent gesunken. Den größten zuschuss Anteil am Fördergeschehen im SGB III machte Gründungs- 100 zuschuss im Berichtsmonat die Förderung der Berufs- ausbildung aus (43 Prozent) – gefolgt von beschäftigungsbegleitenden Leistungen 0 (30 Prozent). 2005 2006 2007 2008 2009 2010 2011 1) Die letzten drei Monate hochgerechnete vorläufige Werte. Im Februar kamen im Bereich des SGB III Quelle: Statistik der Bundesagentur für Arbeit 1,6 Arbeitslose auf eine Person in Förderung. Damit lag die Förderintensität auf dem Niveau des Vorjahresmonats. 3. Förderung im Bereich SGB II 32 Die Jobcenter sind verantwortlich für die 2.2 Förderung der Aufnahme einer selb- Einrichtung und Durchführung von arbeits- ständigen Tätigkeit durch Gründungszu- marktpolitischen Maßnahmen für erwerbsfähi- schuss ge Hilfebedürftige. Für diesen Personenkreis Mit dem Gründungszuschuss wurden im können die klassischen arbeitsmarktpolitischen FebruarFebruar 131.000 Personen gefördert, Instrumente des SGB III – mit Ausnahme der 6 Prozent weniger als im gleichen Monat des Instrumente zur Selbständigenförderung und Vorjahrs. 8.000 neue Existenzgründer erhielten der Arbeitsbeschaffungsmaßnahmen – einge- diesen Monat Unterstützung im Rahmen des setzt werden. Hinzu kommen das Einstiegs- SGB III – seit Jahresbeginn waren es 21.000 geld, Arbeitsgelegenheiten, die Freie Förde- Personen. Dies waren 21 Prozent weniger als rung sowie der Beschäftigungszuschuss, so- im Vorjahreszeitraum. weit sie für die individuelle Eingliederung in das Erwerbsleben erforderlich sind. Daneben stehen für diese Personen sozialintegrative Leistungen der Kommunen zur Verfügung (z.B. Kinderbetreuung). 32 Jobcenter sind überwiegend gemeinsame Einrichtungen von Agentur und Kommune. In 23 Kreisen nimmt die Agentur die Ar- beitsförderung in getrennter Trägerverantwortung vor. 69 Kommu- nen führen die Arbeitsmarktpolitik in eigener Trägerverantwortung aus (zugelassene kommunale Träger). 28
  • 29.
    Monatsbericht Februar 2011 Bundesagentur für Arbeit 3.1 Aktuelle Entwicklungen des Förderge- den rund 2.000 Personen neu gefördert – seit schehens im SGB II Jahresbeginn konnten so 4.600 Personen mit Hilfe des Einstiegsgelds eine Erwerbstätigkeit Im Februar wurden 607.000 Personen mit aufnehmen. arbeitsmarktpolitischen Instrumenten im SGB II 33 gefördert. Im Vergleich zum Vorjahresmonat Die Zahl der bei der Aufnahme einer abhängi- war dies ein Rückgang um fast 20 Prozent. gen Beschäftigung Geförderten stieg im Feb- Der Bereich der Beschäftigung schaffenden ruar um gut 3 Prozent gegenüber dem Vor- Maßnahmen, der weit überwiegend aus Ar- jahresbestand, während bei der Variante zur beitsgelegenheiten besteht, machte mit Förderung der Selbständigkeit ein Rückgang 209.000 Geförderten im Berichtsmonat ein um 20 Prozent zu verzeichnen war. Seit Jah- gutes Drittel aller im Bereich des SGB II Ge- resbeginn wurden mit Hilfe des Einstiegsgelds förderten aus – zwei Drittel der Förderung im der Variante Beschäftigung 2.700 Personen SGB II richtet sich auf arbeitsmarktnähere neu gefördert – 7 Prozent weniger als im glei- Instrumente. chen Zeitraum des Vorjahrs. Mit knapp 2.000 wurden in der Variante Selbständigkeit 26,3 Prozent der zu aktivierenden Personen (in 39 Prozent weniger Personen neu gefördert der Abgrenzung Arbeitslose und Maßnahmet- als im Vorjahreszeitraum. eilnehmer in ausgewählten Maßnahmen im Rechtskreis SGB II) wurden im Oktober 2010 3.3 Arbeitsgelegenheiten mit Hilfe einer Maßnahme der aktiven Arbeits- marktpolitik gefördert. Im Vorjahresmonat be- Arbeitsgelegenheiten (AGH) sind für arbeits- 34 trug diese Aktivierungsquote noch 25,9 Pro- marktferne Leistungsempfänger oft ein erster zent. Schritt in Richtung Arbeitsmarkt. Sie dienen 3.2 Einstiegsgeld vorrangig der Herstellung oder dem Erhalt der Beschäftigungsfähigkeit und sind weiterhin ein Das Einstiegsgeld kommt ausschließlich im Schwerpunkt der Förderung im SGB II. Im SGB II-Bereich zum Einsatz und wird als Zu- Februar befanden sich 208.000 Personen in schuss zum Arbeitslosengeld II gezahlt. Im Arbeitsgelegenheiten, 29 Prozent weniger als Februar wurden 17.000 Personen durch das noch vor einem Jahr. 39.000 Personen haben Einstiegsgeld unterstützt – davon rund 8.000 eine Arbeitsgelegenheit neu angetreten – seit bei der Aufnahme einer sozialversicherungs- Jahresbeginn waren es 91.000 Personen. Das pflichtigen Beschäftigung und 9.000 bei einer waren 30 Prozent weniger als im Vorjahres- Existenzgründung. Im Vergleich zum Vorjah- zeitraum. Von den im Februar in Arbeitsgele- resmonat ging die Zahl der Geförderten damit genheiten geförderten Personen befanden sich um 11 Prozent zurück. Im Berichtsmonat wur- 87 Prozent in der Mehraufwands- und 13 Prozent in der Entgeltvariante. Im Vergleich 33 Aufgrund der Trägergebietsreform in Sachsen und Sachsen-Anhalt zum Vorjahresmonat wurden in Arbeitsgele- zum 1. Januar 2011 ergeben sich Untererfassungen bei einzelnen Jobcentern in kommunaler Trägerschaft. genheiten der Mehraufwandsvariante rund 34 Gemeint ist die SGB II-bezogene arbeitsmarktorientierte Aktivie- 27 Prozent weniger Personen gefördert. rungsquote (AQ1 = Maßnahmeteilnehmer im Rechtskreis SGB II / [Maßnahmeteilnehmer im Rechtskreis SGB II + Arbeitslose im Rechtskreis SGB II]). Vgl. auch „SGB II-Kennzahlen für interregiona- 3.4 Bürgerarbeit le Vergleiche“: http://statistik.arbeitsagentur.de/Navigation/Statistik/Statistische- Aus Anlass der im Koalitionsvertrag getroffe- Analysen/SGB-II-Kennzahlen/SGBII-Kennzahlen-Nav.html. Ein Bericht zur Methodik der Aktivierungsquote kann unter nen Festlegung, neue Lösungsansätze zur http://statistik.arbeitsagentur.de/Navigation/Statistik/Grundlagen/Met „Steigerung der Effizienz der Arbeitsmarktin- hodenberichte/Methodenberichte-Nav.html heruntergeladen werden. strumente“ zu erproben, hat das Bundesminis- 29
  • 30.
    Monatsbericht Februar 2011 Bundesagentur für Arbeit terium für Arbeit und Soziales das Modellpro- die eine Erwerbstätigkeit auf dem allgemeinen jekt „Bürgerarbeit“ ins Leben gerufen. Zur Fi- Arbeitsmarkt voraussichtlich innerhalb der nanzierung des Modellprojekts stehen insge- nächsten 24 Monate ohne diese Förderung samt 1,3 Mrd. Euro bis zum Ende der Projekt- nicht möglich ist. Die Höhe des Beschäfti- laufzeit am 31. Dezember 2014 zur Verfügung. gungszuschusses kann bis zu 75 Prozent des berücksichtigungsfähigen Arbeitsentgelts be- Ziel ist es, möglichst viele arbeitslose erwerbs- tragen. Im Februar wurden 22.000 Personen fähige Hilfebedürftige durch qualitativ gute und durch einen Beschäftigungszuschuss geför- konsequente Aktivierung in den Arbeitsmarkt dert, 48 Prozent weniger als im Vorjahresmo- zu integrieren und nur diejenigen arbeitslosen nat. Im Berichtsmonat haben 150 Personen ein Hilfebedürftigen in die Bürgerarbeit zu vermit- mit dem Beschäftigungszuschuss gefördertes teln, bei denen eine Integration in den allge- Beschäftigungsverhältnis angetreten. Seit Jah- meinen Arbeitsmarkt nicht möglich ist. resbeginn wurden somit rund 500 Personen neu mit Hilfe eines Beschäftigungszuschusses Die Bürgerarbeit gliedert sich in zwei Phasen: gefördert, 79 Prozent weniger als im gleichen In die Aktivierungsphase und in die Beschäfti- Vorjahreszeitraum. gungsphase (die „eigentliche“ Bürgerarbeit). Schwerpunkt in der mindestens sechsmonati- 4. Förderung der Berufsausbildung35 gen Aktivierungsphase ist die vorrangige Integ- Im Februar wurden 357.000 Personen im ration der Teilnehmer in den allgemeinen Ar- Rahmen der Berufsberatung und Förderung beitsmarkt. Die Beschäftigungsphase umfasst der Berufsausbildung mit Instrumenten der das bis zu dreijährige Beschäftigungsverhältnis aktiven Arbeitsmarktpolitik mit Mitteln des bei einem Arbeitgeber, das durch ein intensi- SGB II und SGB III gefördert (ohne Berufsaus- ves Coaching begleitet werden soll. Dabei bildungsbeihilfe wegen einer beruflichen Aus- handelt es sich um sozialversicherungspflichti- bildung). Dies waren 10 Prozent weniger als ge Arbeitsverhältnisse für zusätzliche und im vor einem Jahr. Neu eingetreten in eine Förde- öffentlichen Interesse liegende Arbeiten. Diese rung der Berufsausbildung sind in diesem Mo- können mit einem Zuschuss von bis zu 1.080 nat 13.000 Personen – seit Jahresbeginn wa- Euro gefördert werden. ren es damit 26.000. Das waren 574 Prozent weniger Eintritte als im entsprechenden Vor- Knapp die Hälfte der Jobcenter beteiligt sich jahreszeitraum. an der Durchführung des Modellprojektes Bür- gerarbeit. Angestrebt ist, insgesamt 160.000 4.1 Berufsvorbereitende Bildungsmaßnah- erwerbsfähige Hilfebedürftige in die Aktivie- men rungsphase aufzunehmen. Im Interessenbe- kundungsverfahren waren 33.000 Bürgerar- Im Rahmen berufsvorbereitender Bildungs- beitsplätze geplant, auf die ab dem 15. Januar maßnahmen werden insbesondere noch nicht 2011 bereits aktivierte erwerbsfähige Hilfebe- dürftige vermittelt werden können. Im Februar 35 Eine Hochrechnung der Zahl der Maßnahmeteilnehmer in der 2011 befanden sich 440 Geförderte in der Förderung der Berufsausbildung ist nur teilweise möglich. Daher ist beim Vorjahresvergleich zu berücksichtigen, dass der aktuelle Rand Beschäftigungshase. untererfasst ist. Folgende Maßnahmen werden angeboten: Vertiefte und erweiterte Berufsorientierung, Berufsausbildung Benachteiligter, Ausbildungsbonus, Berufseinstiegsbegleitung und sonstige Förde- 3.5 Beschäftigungszuschuss rung der Berufsausbildung (jeweils nicht hochgerechnet) sowie Be- rufsvorbereitende Bildungsmaßnahmen, Einstiegsqualifizierung nach Der Beschäftigungszuschuss richtet sich an § 235b SGB III und besondere Maßnahmen zur Qualifizierung be- Langzeitarbeitslose im Rechtskreis SGB II, für hinderter Menschen (jeweils hochgerechnet). 30
  • 31.
    Monatsbericht Februar 2011 Bundesagentur für Arbeit ausbildungsreife Jugendliche auf die Aufnah- 4.3 Einstiegsqualifizierung me einer Ausbildung vorbereitet und sollen Arbeitgeber, die junge Menschen im Rahmen möglichst nachhaltig in den Ausbildungsmarkt einer betrieblichen Einstiegsqualifizierung ein- integriert werden. Zudem besteht die Möglich- stellen, erhalten Zuschüsse zur Praktikums- keit, im Rahmen der Maßnahme den Haupt- vergütung zuzüglich eines pauschalierten An- schulabschluss nachzuholen. Mit 78.000 Per- teils am Gesamtsozialversicherungsbeitrag sonen nahmen im Berichtsmonat etwa ebenso des zu Qualifizierenden. In Maßnahmen der viele an berufsvorbereitenden Bildungsmaß- Einstiegsqualifizierung befanden sich im Janu- nahmen teil wie im Jahr zuvor. Im Februar sind ar 26.000 junge Menschen. 2.500 Jugendliche 5.500 junge Menschen in eine berufsvorberei- haben in diesem Monat eine solche Maßnah- tende Bildungsmaßnahme eingetreten. Seit me begonnen. Seit Jahresbeginn sind mit Jahresbeginn haben somit 10.400 Menschen 4.500 Jugendlichen 24 Prozent weniger einge- eine berufsvorbereitende Bildungsmaßnahme treten als im Vorjahreszeitraum. begonnen – etwa ebenso viele wie im Vor- jahrszeitraum. 4.4 Ausbildungsbonus Arbeitgeber erhalten den Ausbildungsbonus für 4.2 Berufsausbildung Benachteiligter die zusätzliche Ausbildung von Jugendlichen, Mit Hilfe verschiedener Instrumente (z.B. Be- die sich bereits im Vorjahr oder früher erfolglos rufsausbildung in außerbetrieblichen Einrich- um einen Ausbildungsplatz bemüht haben, tungen und ausbildungsbegleitenden Hilfen) oder für die Ausbildung von Jugendlichen, die ermöglicht die Förderung der Berufsausbildung aufgrund einer Insolvenz ihren Ausbildungs- Benachteiligter Jugendlichen und jungen Er- platz verloren haben. 33.000 Auszubildende wachsenen mit geringen Chancen am Arbeits- wurden im Januar mit Hilfe eines Ausbildungs- und Ausbildungsmarkt den Einstieg in den bonus unterstützt. Das waren 21 Prozent mehr Ausbildungsmarkt. Im Februar befanden sich als im Vorjahresmonat. Neu in dieses Förder- 117.000 Personen in einer solchen Maßnah- programm zugegangen sind im Berichtsmonat me, – 9 Prozent weniger als im Vorjahresmo- 41 Jugendliche. Seit der Einführung des Aus- nat. Im Berichtsmonat haben nach aktuellen, bildungsbonus in der zweiten Jahreshälfte noch untererfassten Werten 2.800 Jugendliche 2008 waren es 48.000 Bewilligungen. eine Berufsausbildung Benachteiligter begon- nen. 31
  • 32.
    Monatsbericht Februar 2011 Bundesagentur für Arbeit V. Wichtige statistische Hinweise zur Interpretation 1. Allgemeine statistische Hinweise Erhebungsstichtag Der Erhebungsstichtag der Statistiken der Bundesagentur für Arbeit (BA) liegt seit 2005 in der Monatsmitte, davor wurden statistische Erhebungen jeweils am Monatsende durchgeführt. Somit kann in der Regel schon am Ende des Berichtsmonats über den Arbeitsmarkt berichtet werden, zudem passen die Monatsdurchschnittswerte der ILO-Erwerbsstatistik dadurch besser zu den Monatsmittezahlen der BA-Statistiken. Der Vergleich mit den Jahren vor 2005 ist wegen der unterschiedlichen Lage der Stichtage etwas verzerrt. Bei der Interpretation von Zu- und Abgängen des jeweiligen Berichtsmonats ist zu beachten, dass der Erfassungs- zeitraum stets die Hälften zweier Monate umfasst, also z. B. die Arbeitslosmeldungen von Mitte Januar bis Mitte Februar. Saisonbereinigung Um die von monatlichen Schwankungen unabhängige Entwicklung abzubilden, werden die Zeitreihen zur Arbeitslosigkeit, zum Leistungsbezug, zur Beschäftigung und zu den offenen Stellen saisonbereinigt. Die nachfolgenden Ausführungen beziehen sich auf die Saisonbereinigung der Arbeitslosenzahlen. Die Aussagen sind jedoch auch auf andere Zeitreihen übertragbar. Die Zahl der Arbeitslosen eines Monats lässt sich als Summe aus drei Komponenten auffassen: Trend, saisonale Komponente und außergewöhnliche Effekte („irreguläre Komponente“). Diese Komponenten existieren nicht real, sondern sind zweckmäßige gedank- liche Konstrukte. Es wird also nicht jeder einzelne Arbeitslose in genau eine dieser drei Kategorien eingeteilt, stattdessen bilden diese drei Komponenten bestimmte inhaltliche Vorstellungen über die Struktur der Zeitreihe ab: Der Trend soll dabei eine im Zeitverlauf möglichst „glatte“ Beschreibung der Arbeitslosenzeitreihe sein, die eine von monatlichen Sondereinflüssen oder jahreszeitlichen Schwankungen unabhängige Tendenz in der Entwicklung beschreibt. Der Trend ist damit hauptsächlich von der konjunkturellen Entwicklung abhängig, allerdings können auch Änderungen in der aktiven Arbeitsmarktpolitik oder Gesetzesänderungen zu Trendänderungen führen (z.B. ergab die Einführung des SGB II und die damit verbundene Auswei- tung der Arbeitslosendefinition auf erwerbsfähige Hilfebedürftige Anfang 2005 einen Niveausprung, der keine konjunkturellen Ursa- chen hatte). Die saisonale Komponente eines bestimmten Kalendermonats soll die in diesem Monat üblichen Abweichungen der Arbeitslosigkeit vom Trend beschreiben. In den Wintermonaten ist die Arbeitslosigkeit z.B. regelmäßig höher als der Trend, in den Sommermonaten ist es umgekehrt. Diese regelmäßigen, im Jahreszyklus wiederkehrenden Effekte in jedem Kalendermonat („Saisonmuster“) werden im Wesentlichen vom Wetter, aber auch von institutionellen Terminen (z.B. Schuljahresende, Quartalsende, Urlaubszeit, Feiertage) bestimmt. Wichtig ist dabei, dass die saisonale Komponente der Arbeitslosigkeit nur die üblichen Effekte eines Kalendermonats beschreibt und beschreiben soll. Ist ein Wintermonat z. B. ganz außergewöhnlich kalt und steigt die Arbeitslosigkeit in diesem Mo- nat daher besonders stark an, wird nur der sonst übliche Anstieg in diesem Kalendermonat als saisonale Komponente betrachtet. Die irreguläre Komponente besteht als Restgröße per Definition aus den Abweichungen von Trend und Saisonkomponente. Diese können durch außergewöhnliche Ereignisse in einem bestimmten Monat hervorgerufen sein (z.B. Streiks), durch ungewöhnliche Wettereinflüsse (z.B. ein besonders milder Wintermonat oder ein besonders kalter April) oder durch Gesetzesänderungen (z.B. die Einführung des Saison-Kurzarbeitergeldes). Eines der wichtigsten Ziele der Arbeitsmarktanalyse ist die Schätzung der konjunkturell bedingten Arbeitslosigkeit (und ihrer Verän- derung) am aktuellen Rand. Dazu muss der Trend geschätzt und dann der konjunkturelle Anteil am Trend bestimmt werden. Um aber den Trend überhaupt schätzen zu können, müssen zunächst die saisonalen Effekte, deren Schwankungen viel größer sind als die kurzfristigen Trendänderungen, berechnet und die Arbeitslosenzeitreihe um diese Effekte bereinigt werden (d.h. die saisonale Komponente muss von der Arbeitslosenzahl subtrahiert werden). Dieses Vorgehen nennt man Saisonbereinigung. Ergebnis der Saisonbereinigung ist somit nicht der (glatte) Trend, sondern das Aggregat aus Trend und irregulärer Komponente (das wegen der irregulären Komponente insbesondere nicht vollständig „glatt“ ist). 32
  • 33.
    Monatsbericht Februar 2011 Bundesagentur für Arbeit Weil die Saisonkomponenten die regelmäßigen Ausschläge eines Kalendermonats sind, stellen sie langfristige Durchschnittswerte dar, die deswegen auch für den aktuellen Rand ziemlich genau bestimmt werden können. Die Schätzung des Trends am aktuellen Rand ist ungleich schwieriger und mit rein statistischen Mitteln nicht zu leisten. Die Saisonbereinigung ist also im Wesentlichen eine mathematisch-statistische Aufgabe, während die Einschätzung des Trends (und insbesondere der konjunkturell bedingten Arbeits- losigkeit und ihrer Veränderung) am aktuellen Rand von volkswirtschaftlichen Analysten (Arbeitsmarktanalyse und Arbeitmarkt- berichterstattung der BA) aufgrund ergänzender statistischer Größen und Modelle, inhaltlicher Erwägungen und genauer Kenntnis der Vorgänge am Arbeitsmarkt zu erfolgen hat; die saisonbereinigten Zahlen sind dafür die notwendige Basis. Vormonatsvergleiche der saisonbereinigten Zeitreihe sind nicht ohne weiteres geeignet, um Trendänderungen zu bestimmen. Da die saisonbereinigte Zeitreihe das Aggregat aus Trend und irregulärer Komponente darstellt, sind Vormonatsveränderungen das Aggregat aus Trendänderungen und Veränderungen der irregulären Komponente. Insbesondere entgegengesetzte irreguläre Kom- ponenten in aufeinanderfolgenden Monaten können erhebliche Auswirkungen haben. Sinnvoller ist es daher, den Verlauf der sai- sonbereinigten Reihe über mehrere der jeweils letzten Monate zu betrachten. Saisonale Einflüsse bleiben im Zeitverlauf nicht konstant, sondern können sich langfristig ändern. Daher stellt die Bestimmung der Saisonkomponenten zwangsläufig nur eine (allerdings in der Regel ziemlich präzise) Schätzung dar. Grundsätzlich lernt das Verfah- ren der Saisonbereinigung mit jeder neuen Zahl am aktuellen Rand; die Schätzung der Saisonkomponenten wird mit jedem neuen Monat verbessert. Daher wird auch die saisonbereinigte Zeitreihe in jedem Monat vollständig neu berechnet; bereits veröffentlichte Werte aus den vorangegangenen Monaten können sich dann verändern (so genannte Revisionen). Üblicherweise fallen Revisionen sehr gering aus; größere Revisionen treten dann auf, wenn es abrupte Änderungen im Saisonmus- ter gibt, die vom Verfahren erst im Laufe der Zeit erkannt werden können. Aktuelles Beispiel für eine solche Änderung ist die plötzli- che Dämpfung der Winterarbeitslosigkeit durch das im Winter 2006/2007 eingeführte Saison-Kurzarbeitergeld. Die saisonbereinig- ten Arbeitslosenzahlen der Wintermonate wurden seitdem rückwirkend nach oben korrigiert, weil das Verfahren erkannt hat, dass der Saisoneinfluss jetzt geringer ist als in der Vergangenheit. 33
  • 34.
    Monatsbericht Februar 2011 Bundesagentur für Arbeit 2. Statistische Hinweise zum Arbeitsmarkt 2a Beschäftigungsstatistik Der Bestand an sozialversicherungspflichtigen und geringfügig entlohnt Beschäftigten wird auf Basis der Meldungen von Arbeitge- bern zur Sozialversicherung ermittelt. Aufgrund der Abgabefristen und des Meldeflusses sind stabile statistische Ergebnisse erst nach sechs Monaten Wartezeit zu erwarten. Um zeitnähere Ergebnisse zu erhalten, wird monatlich der Bestand an sozialversiche- rungspflichtig Beschäftigten mit zwei und drei Monaten Wartezeit ermittelt und auf einen 6-Monatswert hochgerechnet. Der Fehler dieser Hochrechnung liegt bei der sozialversicherungspflichtigen Beschäftigung deutlich unter einem Prozent, bei der geringfügig entlohnten Beschäftigung bei über 2 Prozent. Dabei ist zu beachten, dass die mit den hochgerechneten Beständen errechneten Veränderungsraten mit höheren Unsicherheiten verbunden sind als die Bestände selbst. In der Arbeitsmarktberichterstattung der BA steht die Erwerbstätigkeit und die Beschäftigung nach dem Inlandskonzept im Vorder- grund, insbesondere wegen der engeren Anbindung an Konjunktur und Arbeitskräftenachfrage als beim alternativen Inländerkon- zept. Nach dem Inlandskonzept gehören Einpendler, die in Deutschland arbeiten, ihren Wohnsitz aber im Ausland haben, zu den Erwerbstätigen bzw. Beschäftigten, während Auspendler nicht mitgezählt werden. Beim Inländerkonzept ist es entsprechend umge- kehrt. Somit erklären Höhe und Veränderung des Saldos zwischen Ein- und Auspendlern den Unterschied in Niveau und Verände- rung der Erwerbstätigkeit bzw. Beschäftigung nach Inlands- und Inländerkonzept Die nationale Klassifikation der Wirtschaftszweige (WZ) wurde in Folge der Revision der "Statistischen Systematik der Wirtschafts- zweige in der Europäischen Gemeinschaft" (NACE) ab dem Berichtsjahr 2008 von der WZ 2003 auf WZ 2008 umgestellt. Die An- gaben über die sozialversicherungspflichtig und geringfügig entlohnten Beschäftigten und die Betriebe werden für die Stichtage ab Januar 2008 nach der WZ 2008 veröffentlicht. Für Vergleiche (Vorjahr/Vorquartal/Vormonat) stehen für das Jahr 2007 grundsätzlich jedoch beide Klassifikationen zur Verfügung. Die Hochrechnung der sozialversicherungspflichtig Beschäftigten für den aktuellen Rand wurde zum Berichtsmonat Januar 2009 auf WZ 2008-Wirtschaftsabschnitte umgestellt, da dann eine hinreichend lange Zeit- reihe zur Ermittlung der Hochrechnungsfaktoren vorlag. 2b Arbeitslosenstatistik Definition der Arbeitslosigkeit Die Definition der Arbeitslosigkeit findet sich im § 16 SGB III. Danach sind Arbeitslose Personen, die wie beim Anspruch auf Arbeits- losengeld 1. vorübergehend nicht in einem Beschäftigungsverhältnis stehen, 2. eine versicherungspflichtige Beschäftigung suchen und dabei den Vermittlungsbemühungen der Agentur für Arbeit zur Verfü- gung stehen und 3. sich bei einer Agentur für Arbeit arbeitslos gemeldet haben. Außerdem gelten nach § 16 Abs. 2 SGB III Teilnehmer an Maßnahmen der aktiven Arbeitsmarktpolitik als nicht arbeitslos. In den §§ 116 ff SGB III wird der Arbeitslosenbegriff im Zusammenhang mit der Regelung des Anspruch auf Arbeitslosengeld weiter präzisiert. Für Hilfebedürftige nach dem SGB II findet nach § 53a Abs. 1 SGB II die Definition der Arbeitslosigkeit nach dem SGB II sinngemäß Anwendung. Im SGB II gibt es folgende typische Fallkonstellationen, in denen erwerbsfähige Hilfebedürftige nicht als arbeitslos geführt werden: a. Beschäftigte Personen, die mindestens 15 Stunden in der Woche arbeiten, aber wegen zu geringem Einkommen bedürftig nach dem SGB II sind und deshalb Arbeitslosengeld II erhalten, werden nicht als arbeitslos gezählt, weil das Kriterium der Be- schäftigungslosigkeit nicht erfüllt ist. b. Erwerbsfähige hilfebedürftige Personen, denen Arbeit nach § 10 SGB II nicht zumutbar ist, werden wegen mangelnder Verfüg- barkeit nicht als arbeitslos gezählt. Darunter fallen insbesondere Hilfebedürftige, die Kinder erziehen, Angehörige pflegen oder zur Schule gehen. c. Erwerbsfähige Hilfebedürftige, die nach Vollendung des 58. Lebensjahres mindestens für die Dauer von zwölf Monaten Leis- tungen der Grundsicherung für Arbeitsuchende bezogen haben, gelten nach § 53a Abs. 2 SGB II dann nicht als arbeitslos, wenn ihnen in diesem Zeitraum keine sozialversicherungspflichtige Beschäftigung angeboten werden konnte. 34
  • 35.
    Monatsbericht Februar 2011 Bundesagentur für Arbeit Konzept der Unterbeschäftigung In der Unterbeschäftigungsrechnung werden zusätzlich zu den registrierten Arbeitslosen auch die Personen erfasst, die nicht als arbeitslos im Sinne des SGB gelten, weil sie Teilnehmer an einer Maßnahme der Arbeitsmarktpolitik oder einen arbeitsmarktbeding- ten Sonderstatus besitzen. Es wird unterstellt, dass ohne den Einsatz dieser Maßnahmen die Arbeitslosigkeit entsprechend höher ausfallen würde. Mit dem Konzept der Unterbeschäftigung wird zweierlei geleistet: (1) Es wird ein möglichst umfassendes Bild vom Defizit an regulärer Beschäftigung in einer Volkswirtschaft gegeben. (2) Realwirtschaftliche (insbesondere konjunkturell) bedingte Einflüsse auf den Arbeitsmarkt können besser erkannt werden, weil der Einsatz entlastender Arbeitsmarktpolitik zwar die Arbeitslo- sigkeit, nicht aber die Unterbeschäftigung verändert. Es werden folgende Begriffe unterschieden Arbeitslosigkeit = Zahl der Personen, die die Arbeitslosenkriterien des § 16 Abs. 1 SGB III (Beschäftigungslosigkeit, Verfügbarkeit, Arbeitssuche) und des § 16 Abs. 2 SGB III (keine Teilnahme an einer arbeitsmarktpolitischen Maßnahme) erfüllen und deshalb als arbeitslos zählen. Arbeitslosigkeit im weiteren Sinne (i.w.S.) = Zahl der Arbeitslosen nach § 16 SGB III plus Zahl der Personen, die die Arbeitslo- senkriterien des § 16 Abs. 1 SGB III erfüllen (Beschäftigungslosigkeit, Verfügbarkeit und Arbeitssuche) und allein wegen des § 16 Abs. 2 SGB III (Teilnahme an einer arbeitsmarktpolitischen Maßnahme) oder wegen des § 53a Abs. 2 SGB II (erwerbsfähige Hil- febedürftig nach Vollendung des 58. Lebensjahres, denen innerhalb eines Jahres keine sozialversicherungspflichtige Beschäfti- gung angeboten werden konnte) nicht arbeitslos sind. Unterbeschäftigung im engeren Sinne (i.e.S.) = Zahl der Arbeitslosen i.w.S. plus Zahl der Personen, die an bestimmten entlas- tend wirkenden arbeitsmarktpolitischen Maßnahmen teilnehmen oder zeitweise arbeitsunfähig sind und deshalb die Kriterien des § 16 Abs. 1 SGB III (Beschäftigungslosigkeit, Verfügbarkeit und Arbeitssuche) nicht erfüllen. Personen in der Unterbeschäftigung im engeren Sinne haben ihr Beschäftigungsproblem (noch) nicht gelöst; ohne diese Maßnahmen wären sie arbeitslos. Unterbeschäftigung = Unterbeschäftigung i.e.S. plus Zahl der Personen in weiteren entlastenden arbeitsmarktpolitischen Maß- nahmen, die fern vom Arbeitslosenstatus sind und ihr Beschäftigungsproblem individuell schon weitgehend gelöst haben (z.B. Personen in geförderter Selbständigkeit und Altersteilzeit); sie stehen für Personen, die ohne diese arbeitsmarktpolitischen Maß- nahmen arbeitslos wären. Zur Entlastung durch Arbeitsmarktpolitik vgl. die Statistischen Hinweise zur Arbeitsmarktpolitik. Vgl. ausführlich dazu den Methodenbericht „Umfassende Arbeitsmarktstatistik: Arbeitslosigkeit und Unterbeschäftigung“ (siehe http://statistik.arbeitsagentur.de/Navigation/Statistik/Grundlagen/Methodenberichte/Methodenberichte-Nav.html) Bezugsgrößen für die Berechnung der Arbeitslosenquoten Die Bezugsgrößen für die Berechnung der Arbeitslosenquoten werden einmal jährlich aktualisiert, und zwar bis auf die Kreis- ebene. Dies geschieht üblicherweise ab Berichtsmonat Mai; Rückrechnungen werden nicht vorgenommen. Die Bezugsgrößen sind zweckgebundene Berechnungsgrößen. Dabei wird auf verschiedene Statistiken (Beschäftigungsstatistik, Arbeitslosen- und Förder- statistik, Personalstandsstatistik und Mikrozensus) zugegriffen, deren Ergebnisse erst mit einer gewissen Wartezeit zur Verfügung stehen. Deshalb beruht die Bezugsbasis z. B. für 2009 überwiegend auf Daten aus dem Jahr 2008. Für eine einheitliche Berech- nung der Bezugsgrößen bis auf Kreisebene muss der Aktualitätsverlust in Kauf genommen werden. Seit dem Berichtsmonat Januar 2009 erfolgt die Berichterstattung über Personengruppen (Geschlecht, Alter, Staatsangehörigkeit) auf der Basis aller zivilen Erwerbspersonen. Damit erfolgt eine Anpassung an die Gesamtbetrachtung, nachdem bisher für die Personengruppen auf Basis der abhängigen zivilen Erwerbspersonen berichtet wurde. Ausführliche Informationen zur Erweiterung der Berichterstattung über Arbeitslosenquoten sind einem im Internet veröffentlichten Methodenbericht zu entnehmen (siehe unter http://statistik.arbeitsagentur.de/Navigation/Statistik/Grundlagen/Methodenberichte/Methodenberichte-Nav.html). 35
  • 36.
    Monatsbericht Februar 2011 Bundesagentur für Arbeit Erhebungsmethode Die Arbeitslosenstatistik wird aus den Geschäftsdaten der Arbeitsagenturen und der Träger der Grundsicherung für Arbeitsuchende gewonnen. Sie ist eine Sekundärstatistik in Form einer Vollerhebung. Basis sind die Daten der Personen, die sich bei den Arbeits- agenturen und den Trägern der Grundsicherung für Arbeitsuchende gemeldet haben. Mit der Einführung des Sozialgesetzbuches II haben sich die Grundlagen der Arbeitsmarktstatistik in Deutschland verändert. Bis Ende 2004 basierten die Statistiken allein auf den Geschäftsdaten der Agenturen für Arbeit. Nach der Zusammenlegung von Ar- beitslosen- und Sozialhilfe sind die Agenturen nur noch für einen Teil der Arbeitslosen zuständig. Als Träger der neuen Grundsiche- rung für Arbeitsuchende nach dem SGB II traten mit den Arbeitsgemeinschaften von Arbeitsagenturen und Kommunen (ARGE) und den zugelassenen kommunalen Trägern (zkT) weitere Akteure auf den Arbeitsmarkt. Zur Sicherung der Vergleichbarkeit und Quali- tät der Statistik wurde die Bundesagentur für Arbeit gem. § 53 i.V.m. § 51 b SGB II beauftragt, die bisherige Arbeitsmarktstatistik unter Einbeziehung der Grundsicherung für Arbeitsuchende weiter zu führen. Dabei wurde die Definition der Arbeitslosigkeit aus dem SGB III beibehalten. Mit den zugelassenen kommunalen Trägern wurden Datenlieferungen und Datenstandards vereinbart, um deren Daten in die Datenstruktur der BA Statistik einbinden zu können. Die statistischen Daten zur Arbeitslosigkeit speisen sich seit Januar 2005 aus dem IT-Fachverfahren der Bundesagentur für Arbeit, aus Datenlieferungen zugelassener kommunaler Träger und – sofern keine verwertbaren bzw. plausiblen Daten geliefert wurden – aus ergänzenden Schätzungen der Bundesagentur für Arbeit. Die Datengrundlagen im Einzelnen: (1) Das operative Fachverfahren der BA: Grundlage für die Erstellung der Arbeitslosenstatistiken ist seit Juli 2006 flächendeckend VerBIS (Vermittlungs-, Beratungs- und Informations-System der BA), welches das bisherige operative Verfahren coArb (computerunterstützte Arbeitsvermittlung) in Arbeitsagenturen und Arbeitsgemeinschaften ablöste. In VERBIS werden alle vermittlungsrelevanten Informationen über arbeitsu- chende und arbeitslose Personen im Rahmen der Geschäftsprozesse erfasst und laufend aktualisiert. (2) Der Datenstandard XSozial-BA-SGB II: Zugelassene kommunale Träger übermitteln einzelfallbezogene Daten aus ihren Geschäftsverfahren nach § 51 b SGB II an die Statistik der Bundesagentur für Arbeit. Die Datenübermittlung erfolgt über eine XML-Schnittstelle nach dem Daten- austauschstandard XSozial-BA-SGB II, der zwischen BA und kommunalen Spitzenverbänden abgestimmt ist. Datenlücken in der Vergangenheit wurden mit Schätzwerten auf Basis eines linearen Regressionsmodells gefüllt. Für kurzfristige Datenausfälle wird seit Februar 2006 ein Fortschreibungsmodell verwendet, das neben den letzten valide gemeldeten Werten auch die durchschnittli- che Entwicklung von Kreisen mit ähnlicher Arbeitsmarktstruktur nutzt. (3) Zusammenführung der Daten: Die Daten werden bei der Statistik der BA in Nürnberg in zentralen statistischen IT-Verfahren aufbereitet. Als Basis entstehen Konten mit verlaufsorientierten Statistik-Informationen je Person, aus denen statistische Kennzahlen ermittelt werden. Änderungen der Arbeitslosenstatistik durch konzeptionellen Neuaufbau Die Arbeitslosenstatistik wurde zum Berichtsmonat Mai bzw. November 2009 konzeptionell überarbeitet, um die neuen Informati- onsmöglichkeiten des Fachverfahrens VerBIS optimal nutzen zu können. Die Daten wurden rückwirkend ab Juli 2006 neu aufberei- tet; dabei ist es teilweise zu Datenrevisionen gekommen, die sich aber alles in allem in engen Grenzen halten. Die wichtigsten Revisionen sind: 1. Der Bestand an Arbeitsuchenden hat sich leicht um durchschnittlich 1 Prozent erhöht. 2. Der Bestand an Arbeitslosen blieb praktisch unverändert, leichte Abnahmen gab es bei Zu- und Abgängen. 3. Die Dauer der Arbeitslosigkeit reduzierte sich geringfügig, insbesondere aufgrund von Verschiebungen innerhalb der einzel- nen Dauerklassen. 4. Bei der Schulbildung verschoben sich die Anteile von Abitur-/Hochschulreife zur Fachhochschulreife. 5. Die Struktur der Zu- und Abgänge Arbeitsloser lässt sich einschließlich zugelassener kommunaler Träger ab Januar 2007 differenziert darstellen. 6. Für Arbeitslose aus dem BA-IT-System wurden Auswertungen nach dem Wirtschaftszweig möglich. 36
  • 37.
    Monatsbericht Februar 2011 Bundesagentur für Arbeit Neue Auswertungsmöglichkeiten, die sukzessive erschlossen werden, sind: 1. Künftig wird die neue Gesamtgröße „gemeldete erwerbsfähige Personen“ ausgewiesen, die sich aus drei Kategorien zusam- mensetzt: - Arbeitslose Arbeitsuchende („Arbeitslose“) - Nichtarbeitslose Arbeitsuchende - Nicharbeitsuchende erwerbsfähige Personen 2. Für nichtarbeitslose erwerbsfähige Personen lassen sich künftig insbesondere im Rechtskreis SGB II, Sondertatbestände zuordnen, die Arbeitslosigkeit ausschließen, z.B. Schulbesuch, Ausbildung oder Erziehung eines minderjährigen Kindes. 37
  • 38.
    Monatsbericht Februar 2011 Bundesagentur für Arbeit ILO-Erwerbsstatistik und SGB-Arbeitsmarktstatistik Die ILO-Erwerbsstatistik des Statistischen Bundesamtes setzt die von der Internationalen Arbeitsorganisation (ILO) formulierten, international anerkannten und angewandten Kriterien für die Differenzierung von Personen nach dem Erwerbsstatus um. Die Quelle der Erwerbslosendaten ist die Arbeitskräfteerhebung, die in Deutschland in den Mikrozensus integriert ist. Bei der Arbeitskräfteer- hebung handelt es sich um eine Stichprobenerhebung (monatliche Befragung von 35.000 Personen), entsprechend sind die Hoch- rechnungsergebnisse mit einem Stichprobenzufallsfehler behaftet, der bei der Interpretation der Ergebnisse zu berücksichtigen ist. Die Originalergebnisse aus der Arbeitskräfteerhebung können erst ab Januar 2007 veröffentlicht werden. Da gegenwärtig für eine Saisonbereinigung noch keine ausreichend lange Zeitreihe vorliegt, werden die saisonbereinigten Ergebnisse übergangsweise unter Nutzung der Daten der Bundesagentur für Arbeit über die monatliche saisonbereinigte Zahl der registrierten Arbeitslosen geschätzt. Die Statistik nach dem ILO-Erwerbsstatuskonzept und die Arbeitsmarktstatistik nach dem Sozialgesetzbuch (SGB- Arbeitsmarktstatistik) haben eine auf den ersten Blick ähnliche Beschreibung von Erwerbslosigkeit bzw. Arbeitslosigkeit. In beiden Statistiken gelten jene Personen als arbeitslos oder erwerbslos, die ohne Arbeitsplatz sind, dem Arbeitsmarkt zur Verfügung stehen und Arbeit suchen. Dass trotzdem die Erwerbslosigkeit des ILO-Erwerbsstatuskonzepts deutlich niedriger ausfällt als die Arbeitslo- sigkeit der SGB-Arbeitsmarktstatistik folgt daraus, dass die Begriffsmerkmale unterschiedlich konkretisiert und mit verschiedenen Methoden erhoben werden (vgl. Schaubild). Ausführliche Informationen des Statistischen Bundesamtes zur ILO-Erwerbsstatistik sind unter http://www.destatis.de/jetspeed/portal/cms/Sites/destatis/Internet/DE/Navigation/Statistiken/Arbeitsmarkt/Arbeitsmarkt.psml zu finden. Unterschiede von ILO-Erwerbsstatistik und SGB-Arbeitsmarktstatistik im Überblick ILO SGB - Bevölkerungsbefragung - Meldung und Angaben bei einer Agentur für Arbeit, einer Arbeitsgemeinschaft oder einer optierenden Kommune - Totalerhebung Erhebung - Stichprobe - Stichtagswert - Monatsdurchschnitt - Angaben werden von einem Vermittler geprüft - Plausibilitätsprüfung und beurteilt - Gespräch mit Vermittler kann länger zurücklie- - zeitnahe Befragung durch Interviewer/in gen - eine Beschäftigung von mindestens einer Wochenstunde - eine Beschäftigung von mindestens 15 Wo- gesucht wird und chenstunden gesucht wird und - der Arbeitsuchende in den letzten vier Wochen spezifische - der Vermittler zu dem Ergebnis kommt, dass Aktive Suche, wenn Suchschritte unternommen hat der Arbeitsuchende alle Möglichkeiten nutzt oder nutzen will, Beschäftigungslosigkeit zu beenden - der Arbeitsuchende in den nächsten zwei Wochen eine - der Arbeitsuchende arbeitsbereit und arbeits- Verfügbarkeit, wenn neue Tätigkeit aufnehmen kann fähig ist, insbesondere Vermittlungsvorschlä- gen zeit- und ortsnah Folge leisten kann - keine Beschäftigung ausgeübt wird (bzw. weniger als eine - eine Beschäftigung von weniger als 15 Wo- Beschäftigungslosigkeit Wochenstunde) chenstunden ausgeübt wird 38
  • 39.
    Monatsbericht Februar 2011 Bundesagentur für Arbeit 3. Statistische Hinweise zur Statistik der Grundsicherung für Arbeitsuchende Die Grundsicherungsstatistik und ihre Angaben zu hilfebedürftigen Personen und ihren Leistungen nach dem SGB II beruhen auf Daten aus dem IT-Fachverfahren A2LL und aus Datenlieferungen kommunaler Träger über den Datenlieferaustauschstandard XSozial. Die Daten zur Grundsicherung werden nach einer Wartezeit von drei Monaten festgeschrieben. Diese Wartezeit ist vor allem deshalb notwendig, weil so nachträgliche Bewilligungen, aber auch rückwirkende Aufhebungen von Leistungen noch berück- sichtigt werden können. Damit für die Entwicklung zeitnahe Informationen zur Verfügung stehen, werden die Eckwerte für Bedarfs- gemeinschaften sowie erwerbsfähige und nicht erwerbsfähige Hilfebedürftige auf einen erwarteten 3-Monatswert hochgerechnet. Im IT-Fachverfahren A2LL werden alle für die Gewährung von Leistungen aus der Grundsicherung für Arbeitsuchende relevanten Sachverhalte festgehalten. Daten, die für den Integrationsprozess wichtig sind, werden in dem operativen Vermittlungs-, Beratungs- und Informationssystem der BA VerBIS erfasst, darunter insbesondere der Kundenstatus „Arbeitslosigkeit“ oder künftig auswertbar auch die Gründe für Nichtaktivierung nach § 10 SGB II. Bewerber werden in VerBIS je nach Zuständigkeit entweder dem Rechts- kreis SGB II oder dem Rechtskreis SGB III zugeordnet. VerBIS ist zusammen mit Datenlieferung von kommunalen Trägern über XSozial die Grundlage für die Arbeitslosenstatistik. Dabei erfolgt die statistische Aufbereitung von VerBIS- und XSozial-Daten je- weils zum Zähltag ohne Wartezeit. Die Zahl der Arbeitslosen im Rechtskreis SGB II wird in der Arbeitslosenstatistik ermittelt. Die Arbeitslosen werden dort den bei- den Rechtskreise SGB II und SGB III zugeordnet, die Summe ergibt die gesamte rechtskreisübergreifende Arbeitslosigkeit. Informa- tionen zum Arbeitslosenstatus von Hilfebedürftigen in der Grundsicherung werden über die kombinierte Auswertung von Grund- sicherungs- und Arbeitslosenstatistik ermittelt. Die Informationen aus beiden Systemen werden zusammengespielt, so dass für jeden erwerbsfähigen Hilfebedürftigen (eHb) der Bewerberstatus und weitere vermittlungsrelevante Sachverhalte festgestellt und in der Grundsicherungsstatistik ausgewiesen werden können. Allerdings ist diese Integration zurzeit nur auf Basis von A2LL und VerBIS und nicht für XSozial möglich; die Ergebnisse aus A2LL und VerBIS werden deshalb proportional hochgerechnet. Vergleicht man die beiden Auswertungen, ergeben sich unterschiedliche Werte zu Arbeitslosen im Rechtskreis SGB II und arbeitslose erwerbsfähigen Hilfebedürftigen. Die Gründe dafür sind zeitverzögerte Erfassung von Rechtskreiswechslern und kurzzeitige Leistungsunterbrechungen im Rechtskreis SGB II. Aus diesem Grund sind die beiden Begriffe „Arbeitslose im Rechtskreis SGB II“ und „arbeitslose erwerbsfähige Hilfebedürftige“ nicht synonym zu verwenden. Auswertungen zu Arbeitslosen im Rechtskreis SGB II dokumentieren, wie viele Arbeitslose im Rechtskreis SGB II betreut werden – unabhängig vom Leistungsstatus. Auswertungen zu erwerbsfähigen Hilfebedürftigen dokumentieren, wie viele dieser Personen arbeitslos sind. Ausführliche Erläuterungen finden sich in dem Methodenbericht „Messung der Arbeitslosigkeit in der Grundsicherung für Arbeitsuchende im SGB II“. Neue Begriffe aus dem Sozialgesetzbuch II Erwerbsfähige Hilfebedürftige (eHb) sind Personen im Alter zwischen 15 und unter 65 Jahren, die erwerbsfähig und hilfebedürftig sind sowie ihren gewöhnlichen Aufenthalt in der Bundesrepublik Deutschland haben. Erwerbsfähig ist, wer mindestens drei Stunden täglich unter den üblichen Bedingungen des Arbeitsmarktes arbeiten kann. Hilfebedürftig ist, wer seinen Lebensunterhalt und den Lebensunterhalt der in der Bedarfsgemeinschaft lebenden Personen nicht aus eigenen Mitteln und vor allem nicht durch Aufnahme einer zumutbaren Arbeit sichern kann. Erwerbsfähige Hilfebedürftige umfassen Erwerbstätige, deren Einkommen nicht zur Deckung des Lebensunterhalts ausreicht, Arbeitslose und Personen, die aufgrund berechtigter Einschränkungen (z. B. Kinderbetreuung, Pflege eines Angehörigen, Schulbesuch) derzeit nicht dem Arbeitsmarkt zur Verfügung stehen. Eine Bedarfsgemeinschaft hat mindestens eine erwerbsfähige hilfebedürftige Person. Sie kann aus mehreren Mitgliedern beste- hen und erwerbsfähige sowie nichterwerbsfähige Hilfebedürftige wie z. B. Ehegatten bzw. Lebenspartner und minderjährige Kinder umfassen. Dabei ist zu beachten: Der Begriff der Bedarfsgemeinschaft ist enger gefasst als derjenige der Haushaltsgemeinschaft, zu der alle Personen gehören, die auf Dauer mit einer Bedarfsgemeinschaft in einem Haushalt leben. So zählen z. B. ein volljähri- ges Kind, Großeltern und Enkelkinder sowie sonstige Verwandte und Verschwägerte nicht zur Bedarfsgemeinschaft. Von jedem Mitglied der Bedarfsgemeinschaft wird erwartet, dass es sein Einkommen und Vermögen zur Deckung des Gesamtbedarfs aller Angehörigen der Bedarfsgemeinschaft einsetzt. Die Leistungen zur Sicherung des Lebensunterhalts setzen sich zusammen aus Arbeitslosengeld II und Sozialgeld. Die Höhe der jeweiligen Leistung richtet sich nach dem Gesamtbedarf abzüglich der jeweils anrechenbaren Einkommen und Vermögen. Arbeitslosengeld II erhalten alle erwerbsfähigen Hilfebedürftigen. Es umfasst die Regelleistung, Leistungen für Mehrbedarfe, Einmalleistungen, Beiträge zur gesetzlichen Kranken-, Pflege- und Rentenversicherung sowie Leistungen für Unterkunft und Hei- 39
  • 40.
    Monatsbericht Februar 2011 Bundesagentur für Arbeit zung. Ehemalige Arbeitslosengeldempfänger erhalten während der ersten 24 Monate nach Erlöschen des Arbeitslosengeldan- spruchs einen Zuschlag. Die nicht erwerbsfähigen Mitglieder in der Bedarfsgemeinschaft, vor allem Kinder unter 15 Jahren, erhalten Sozialgeld, das sich aus den gleichen Komponenten wie das Arbeitslosengeld II zusammensetzt. Die Leistungen zur Eingliederung in Arbeit umfassen die meisten Leistungen der Arbeitsförderung aus dem SGB III, wie z. B. berufliche Weiterbildung, Maßnahmen zur Aktivierung und beruflichen Eingliederung und Eingliederungszuschüsse (aber nicht: Gründungszuschuss und Arbeitsbeschaffungsmaßnahmen). Für erwerbsfähige Hilfebedürftige, die keine Arbeit finden, können Arbeitsgelegenheiten geschaffen werden. 40
  • 41.
    Monatsbericht Februar 2011 Bundesagentur für Arbeit 4. Hinweise zum Verständnis der Statistiken über den Ausbildungsstellenmarkt 1. Allgemeines Die Statistiken der BA sind die einzigen monatlich verfügbaren Informationen über Angebot und Nachfrage am Ausbildungsmarkt, und zwar für beide Seiten des Marktes. Die Daten liegen in tiefer berufsfachlicher und regionaler Gliederung vor. Sowohl die Agen- turen für Arbeit (AA) als auch die Träger der Grundsicherung haben Ausbildungsvermittlung nach § 35 SGB III durchzuführen. Träger der Grundsicherung können diese Aufgabe durch die Arbeitsagenturen wahrnehmen lassen (§ 16 Abs. 4 SGB II). Die Aus- bildungsmarktstatistik basiert auf Prozessdaten aus den operativen IT-Verfahren der BA und aus Datenlieferungen zugelassener kommunaler Trägern (zkT) über den Datenstandard XSozial-BA-SGB II. Die Erfahrungen aus der Vergangenheit zeigen, dass der Einschaltungsgrad (gemeldete Ausbildungsstellen und gemeldete Bewer- ber) gemessen an Gesamtangebot und Gesamtnachfrage sehr hoch ist. Ein nicht quantifizierbarer Teil der Inanspruchnahme durch Arbeitgeber und Jugendliche – insbesondere der freiwilligen Inanspruchnahme nach dem SGB III – richtet sich nach den jeweiligen Verhältnissen auf dem Ausbildungsmarkt. Bei wachsendem Nachfrageüberhang nutzen Ausbildungsbetriebe die Ausbildungsver- mittlung seltener und später, die Jugendlichen jedoch häufiger und früher. Bei einem Angebotsüberhang verhält es sich umgekehrt. Daher sind direkte Rückschlüsse auf die absoluten Zahlen von Gesamtangebot und Gesamtnachfrage nicht möglich. Der absolute Umfang der "Lücke", der während des laufenden Berichtsjahres errechnet werden kann, sagt als solcher nichts über die Größe eines evtl. Defizits an Ausbildungsstellen aus. Denn im Gegensatz zum Arbeitsmarkt ist der Ausbildungsmarkt nicht auf einen umgehenden Ausgleich von Angebot und Nachfrage gerichtet. Vielmehr orientieren sich Jugendliche und Ausbildungsbetrie- be am regulären Beginn der Ausbildung im August und September. Deshalb ist die "Lücke" im Frühjahr zwangsläufig noch sehr groß und nimmt erst zum Ende des Vermittlungsjahres deutlich ab. Verstärkt wird dies durch das erwähnte marktabhängige Melde- verhalten von Betrieben und Jugendlichen. Die "Lücke" im Laufe des Berichtsjahres mit der Zahl der am Ende des Berichtsjahres voraussichtlich fehlenden Ausbildungsplätzen gleichzusetzen, ist also nicht sachgerecht. Aus der unterjährigen Entwicklung der rechnerischen Differenz zwischen gemeldeten noch unversorgten Bewerbern und gemelde- ten und unbesetzten Ausbildungsstellen ("Lücke") lässt sich derzeit nicht unbedingt schließen, ob der Ausbildungsmarkt insgesamt enger oder entspannter wird. Ursache dafür sind die seit Juli 2006 durch das Fachverfahren VerBIS veränderten Geschäftsprozes- se in den Arbeitsagenturen und ARGEn und die damit verbundene Neudefinitionen der Bewerber und der unversorgten Bewerber. Erst wenn Daten über mehrere Jahre vorliegen ist eine Schätzung des Umfangs der "Lücke" zum Berichtsjahresende wieder mög- lich. Derzeit können keine Prognosen erstellt werden. Die Vermittlungsbemühungen für unversorgte Bewerber werden auch nach Ende des Berichtsjahres fortgesetzt. Viele neue Ausbil- dungsangebote ergeben sich erst nach dem 30. September, sei es durch gezielte Sonderprogramme oder durch wieder freigewor- dene Ausbildungsplätze infolge nicht angetretener oder frühzeitig abgebrochener Ausbildungsverhältnisse. Viele Bewerber, die zunächst eine betriebliche Ausbildung anstreben (sei es ausschließlich oder vorrangig oder als eine von ver- schiedenen Möglichkeiten), schlagen letztlich andere Wege (Alternativen) ein. Selbst in Zeiten für Bewerber günstiger Ausbildungs- platzsituationen ist dies der Fall. Mangelt es an passenden Ausbildungsplätzen, weicht verständlicherweise ein wachsender Teil der Bewerber auf Ersatzlösungen aus. Eindeutige Zuordnungen und qualifizierte Differenzierungen nach den Ursachen für den alterna- tiven Verbleib sind mit statistischen Mitteln nicht möglich. Trotz schwieriger Situation auf dem Ausbildungsmarkt kann ein Teil der Ausbildungsstellen nicht besetzt werden, weil Angebot und Nachfrage in berufsfachlicher, regionaler und qualifikationsspezifischer Sicht divergieren. Auch infrastrukturelle Schwierigkeiten, insbesondere ungünstige Verkehrsbedingungen, spielen eine Rolle. Hinzu kommen Vorbehalte seitens der Jugendlichen gegenüber Ausbildungsbetrieben oder Branchen, aber auch Einstellungsverzichte von Arbeitgebern mangels aus ihrer Sicht geeigneter Bewer- ber. Zum Teil treten Jugendliche die ihnen zugesagte Lehrstellte aber auch nicht an oder sagen sie nicht rechtzeitig ab. Einige Betriebe finden dann nicht rechtzeitig einen passenden Nachfolger. Ausführliche Erläuterungen zu den Statistiken über die Ausbildungsvermittlung finden sich in den aktuellen Monatsheften der Statis- tik der Bundesagentur über den Ausbildungsmarkt. 41
  • 42.
    Monatsbericht Februar 2011 Bundesagentur für Arbeit 2. Veröffentlichung von Gesamtergebnisse über Bewerber für Berufsausbildungsstellen Ab dem Berichtsjahr 2008/2009 werden in der Statistik über Bewerber für Berufsausbildungsstellen Gesamtergebnisse publiziert, die durch Aufaddierung der Ergebnisse aus den Daten des BA-Verfahrens und den über den Datenstandard XSozial-BA-SGB II gemeldeten Daten der zugelassenen kommunalen Träger gewonnen werden. Ergänzend werden auch die Ergebnisse aus den BA- Verfahren für Arbeitsgemeinschaften und für Arbeitsagentur in getrennter Trägerschaft veröffentlicht, um längere Zeitreihenverglei- che zu ermöglichen. Eine alleinige Auswertung der Ergebnisse aus XSozial-BA-SGB II ist aufgrund der kleinen Fallzahlen auf regi- onaler Ebene für den Ausbildungsstellenmarkt nicht aussagekräftig. Es sind zwischen dem BA-Verfahren und XSozial Überschneidungen möglich, die in ganz normalen und völlig richtigen Prozessen entstehen können, z.B. dann, wenn ein Bewerber von einer Agentur für Arbeit und zeitgleich oder zuvor oder danach von einem zugelassenen kommunalen Träger betreut wird. Im Verhältnis zur Gesamtzahl der Bewerber ist die Zahl der Überschneidungsfälle gering. Die Angaben zu den Ausbildungsstellen enthalten keine Daten von zugelassenen kommunalen Trägern. Nach Einschätzung der Statistik der BA dürften bei den zugelassenen kommunalen Träger nur wenig ungeförderte Ausbildungsstellen nach dem Berufsbil- dungsgesetz (BBiG) gemeldet sein, die nicht gleichzeitig bei den Arbeitsgemeinschaften und Arbeitsagenturen erfasst sind. Deshalb wird der Bewerberzahl einschließlich zugelassener kommunaler Träger die Zahl der Ausbildungsstellen ohne zugelassene kommu- nale Träger gegenübergestellt. Die Statistik der BA beabsichtigt, über die bei den zugelassenen kommunalen Trägern gemeldeten Ausbildungsstellen ergänzende Informationen zur Verfügung zu stellen. 5. Statistische Hinweise zur Arbeitsmarktpolitik Entlastung durch Arbeitsmarktpolitik und Unterbeschäftigung Die aktive Arbeitsförderung soll dazu beitragen, die Entstehung von Arbeitslosigkeit zu vermeiden, die Dauer der Arbeitslosig- keit zu verkürzen oder die Beschäftigungsfähigkeit zu erhöhen. Die Entlastungswirkung ist ein zeitlich befristeter Effekt von arbeitsmarktpolitischen Instrumenten, der für die Unterbeschäftigungsrechnung relevant ist. Maßgeblich ist die gesamtwirt- schaftlich entlastende Wirkung während der Förderung; die Quantifizierung der Entlastung erfolgt durch die Teilnehmerzahl (ggf. im Vollzeitäquivalent). Die Frage, ob die Instrumente auch nachhaltig die Arbeitslosigkeit individuell beenden und gesamt- wirtschaftlich reduzieren, wird im Rahmen wissenschaftlicher Evaluationsforschung untersucht. Die Entlastungswirkung ist aus analytischen Gründen von Bedeutung, nämlich besonders dann, wenn ihre Veränderung einen Beitrag zur Erklärung von (gegenläufigen) Veränderungen der Arbeitslosigkeit leistet. Darüber hinaus führt die Berücksichtigung des Entlastungsvolumens zu einer besseren Erfassung des Umfangs der Unterbeschäftigung. Berechnungen der Entlastung werden von Forschungsinstituten und vom Sachverständigenrat durchgeführt. Die Zuordnung einzelner arbeitsmarktpolitischer Maßahmen ist z. T. unterschiedlich. Folgende arbeitsmarktpolitische Instrumente werden aktuell in die Entlastungsrechnung der BA einbezogen: - Vollzeitäquivalent der Kurzarbeit: Zahl der Kurzarbeiter mal durchschnittlichem Arbeitszeitausfall, - Maßnahmen des zweiten Arbeitsmarktes: Arbeitsgelegenheiten, ABM, Beschäftigungszuschuss - berufliche Weiterbildung (einschl. Reha), Eignungsfeststellungs- und Trainingsmaßnahmen (einschl. Reha; Restabwick- lung), Maßnahmen zur Aktivierung und beruflichen Eingliederung - Vorruhestandsähnliche Regelungen: Inanspruchnahme des § 428 SGB III im Rechtskreis SGB III (Restabwicklung), Personen in geförderter Altersteilzeit, Regelung des § 53 a Abs. 2 SGB II - Förderung der Selbständigkeit: Gründungszuschuss, Einstiegsgeld Variante Selbständigkeit und Existenzgründungszu- schuss (Ich-AG; Restabwicklung). Außerdem werden Personen, die arbeitsunfähig sind und Arbeitslosengeld auf Basis des § 126 SGB III beziehen, zur Unterbe- schäftigung gezählt. Folgende Instrumente werden in der Entlastungsrechnung nicht berücksichtigt, was nichts gegen ihre Wirksamkeit hinsichtlich der Eingliederung von Arbeitslosen in reguläre Beschäftigung sagt: 42
  • 43.
    Monatsbericht Februar 2011 Bundesagentur für Arbeit - Maßnahmen der beruflichen Erstqualifizierung spielen sich größtenteils im Vorfeld des Arbeitsmarktes ab; sie betreffen überwiegend Personen, die vorher nicht arbeitslos gemeldet waren. Dies gilt insbesondere für berufsvorbereitende Bil- dungsmaßnahmen, die Berufsausbildung Benachteiligter, die berufliche Ersteingliederung Behinderter, BAB wegen ei- ner beruflichen Ausbildung sowie für große Teile des Sofortprogramms zum Abbau der Jugendarbeitslosigkeit. Ob sich diese Jugendlichen ohne eine derartige Maßnahme (kurzfristig) arbeitslos gemeldet hätten, muss offen bleiben. - Daneben gibt es finanzielle Hilfen zur direkten Eingliederung Arbeitsloser in reguläre abhängige Beschäftigung. Insbe- sondere bei Eingliederungszuschüssen und Beschäftigungshilfen für Langzeitarbeitslose (2003 ausgelaufen) werden großenteils Schwervermittelbare gefördert, die andernfalls kaum eine Chance hätten. Die finanzielle Förderung ist also häufig Ausgleich für eine (vermutete) Minderleistung. Deshalb dürfte auf diese Weise keine zusätzliche Beschäftigung entstehen, d. h. ohne diese Hilfen wären vermutlich Arbeitnehmer ohne Vermittlungshemmnis eingestellt worden (Sub- stitutionseffekt). Vielleicht wäre es in dem einen oder anderen Fall aber auch ohne diese Zuschüsse zur Einstellung för- derungsfähiger Arbeitsloser gekommen (Mitnahmeeffekt) oder (leistungsschwache) Beschäftigte wären freigesetzt wor- den (Drehtüreffekt). - Schließlich bestehen zahlreiche Maßnahmen zur Förderung regulärer Beschäftigung ausschließlich oder großenteils in einmaligen Hilfen, so dass sich Bestands- und damit Entlastungsgrößen nicht angeben lassen. Dies gilt, abgesehen von den (normalen) Arbeitsvermittlungen, insbesondere für Leistungen aus dem Vermittlungsbudget im § 45 SGB III. In die „Entlastung durch arbeitsmarktpolitische Maßnahmen“ der Bundesagentur nicht einbezogen sind schließlich Bezieher von vorgezogenem Altersruhegeld (vgl. § 237 SGB VI) oder Erwerbsunfähigkeitsrenten (vgl. § 43 SGB VI), auch wenn diese Früh- verrentungen arbeitsmarktbedingt sind; hierzu liegen keine monatsaktuellen Daten vor. Statistische Erfassung arbeitsmarktpolitischer Maßnahmen Die statistische Erfassung der Inanspruchnahme arbeitsmarktpolitischer Leistungen wird erst nach drei Monaten endgültig abgeschlossen. Damit wird die Qualität der Daten deutlich verbessert, weil Nacherfassungen und Datenkorrekturen bis zu drei Monaten nach dem Berichtsmonat noch berücksichtigt werden können. Um trotzdem monatlich aktuell berichten zu können, werden die Ergebnisse des Berichtsmonats hochgerechnet, und zwar nach dem Verhältnis von vorläufigen zu endgültigen Werten in den zurückliegenden Monaten. Die aktuellen Ergebnisse sind deshalb für drei Monate als vorläufig anzusehen. Methodische und fachliche Hinweise zum statistischen Verfahren der umfassenden Verbleibsermittlung von Teilnehmern an Maßnahmen der aktiven Arbeitsförderung Die hier dargestellten Eingliederungsquoten zeigen auf, inwieweit die Teilnehmer einer Fördermaßnahme in einem bestimmten Zeitintervall (6 Monate) nach Austritt aus der Maßnahme eine sozialversicherungspflichtige Beschäftigung aufgenommen ha- ben. Die Eingliederungsquoten stellen Ergebnisse dar, die u.a. Aufschluss über die Beschäftigungschancen nach Abschluss einer Maßnahme aufzeigen, die aber nicht unmittelbar im Sinne einer Ursache-Wirkungs-Analyse zu interpretieren sind. Die Eingliederungsquote (EQ) (definiert als sozialversicherungspflichtig Beschäftigte / Austritte insgesamt minus "nicht recherchierbar da ohne Versicherungsnummer" * 100) gibt an, wie viele Maßnahmeteilnehmer sich stichtagsbezogen 6 Monate nach Austritt aus der Maßnahme in einer sozialversicherungspflichtigen Beschäftigung befinden. Personen, die zum Stichtag nicht mehr oder noch nicht sozialversicherungspflichtig beschäftigt sind, werden nicht berücksichtigt. Zu den berücksichtigten sozialversicherungspflichtigen Beschäftigungsverhältnissen gehören auch geförderte Beschäftigungsverhältnisse, wie z.B. Arbeitsbeschaffungsmaßnahmen (ABM) sowie Arbeitsgelegenheiten (AGH) der Entgeltvariante. Die hier dargestellten Ergebnisse werden ausgehend vom aktuellsten Austritt nach Ablauf des 6-monatigen Untersuchungsin- tervalls und einer 1-monatigen Wartezeit ermittelt. Die Eingliederungsquoten werden in Form einer gleitenden 12- Monatsbetrachtung, die die Austrittsdaten mit den Verbleibsinformationen der vergangenen 12 Monate enthält, gebildet. Diese Form der Ermittlung ermöglicht eine saisonunabhängige Betrachtung der EQ. Bei den Ergebnissen handelt es sich um vorläufi- ge Ergebnisse zum jeweiligen Datenstand, da insbesondere die für die Beschäftigungsrecherche erforderlichen Jahresmeldun- gen zur Sozialversicherung noch nicht vollständig für alle betrachteten Monate vorliegen. Die im Rahmen der umfassenden Verbleibsanalyse entwickelte kombinierte Auswertung von Förderstatistik und Beschäftigungsstatistik läuft monatlich automati- siert im geregelten statistischen Datenaufbereitungsverfahren. Dabei werden alle Maßnahmeaustritte der vergangenen 24 Monate mit aktuellem Datenstand hinsichtlich ihres Status bezüglich sozialversicherungspflichtiger Beschäftigung untersucht. 43
  • 44.
    Monatsbericht Februar 2011 Bundesagentur für Arbeit Die Förderstatistiken, die die Grundlage zur Berechnung der EQ bilden, enthalten nur Daten aus BA-IT-Systemen, ohne Infor- mationen der nach § 6a SGB II zugelassenen kommunalen Träger. Sowohl die Leistungen der aktiven Arbeitsförderung nach dem SGB III als auch die Leistungen zur Eingliederung in Arbeit nach dem SGB II werden erbracht, um die Integration in den Arbeitsmarkt zu unterstützen und Arbeitslosigkeit zu beenden bzw. zu verkürzen. Die Eingliederungsquote gibt Hinweise auf den Erfolg der arbeitsmarktpolitischen Instrumente. Die Eingliederung in den Arbeitsmarkt bzw. der Abgang aus Arbeitslosigkeit können in der Regel nicht ursächlich einem einzel- nen Instrument der aktiven Arbeitsförderung zugerechnet werden. Für die Integration in den Arbeitsmarkt ist vielmehr ein Bün- del von Faktoren wichtig: die Ausgangsqualifikation des Teilnehmers, die Stabilität seiner Gesundheit und Lebenssituation, die Dauer der Arbeitslosigkeit und Hilfebedürftigkeit, die Motivation des Teilnehmers, aber auch die Kombination von (mitunter mehreren) Fördermaßnahmen und Vermittlungsdienstleistungen. Die Eingliederungsquoten einzelner Fördermaßnahme sollten deshalb nicht monokausal interpretiert werden. Die Arbeitsmarktsituation als Rahmenbedingung: Die Chancen zur Eingliederung von Maßnahmeteilnehmern nach Austritt aus einer Fördermaßnahme hängen wesentlich von den allgemeinen Arbeitsmarktbedingungen, d.h. dem Angebot an offenen Stellen ab. Je besser die Arbeitsmarktsituation, desto größer sind die Chancen zur Eingliederung von Maßnahmeteilnehmern in sozialversicherungspflichtige Beschäftigung. Die Eingliederungsquoten weisen auch eine Saisonkomponente auf, die aber mit der Methode des gleitenden Durchschnitts nivel- liert wird. Hinweise zum Vergleich der Rechtskreise: Beim Vergleich der Rechtskreise ist zu beachten, dass die Teilnehmer an Fördermaßnahmen im Rechtskreis SGB II im Durch- schnitt größere Eingliederungsprobleme haben als die Teilnehmer aus dem Rechtskreis SGB III. Im SGB II sind oft mehrere aufeinander aufbauende Hilfen erforderlich, um den Betroffenen (wieder) näher an den 1. Arbeitsmarkt heranzuführen. Es ist deshalb zu erwarten, dass die EQs im SGB II niedriger ausfallen als im SGB III. Einzelne Teilerfolge in Form von Integrations- fortschritten können mit den hier dargestellten Eingliederungsquoten nicht erfasst werden. Hinweise zum Vergleich der Instrumente: Bei der Bewertung der Eingliederungsquoten für einzelne Instrumente der aktiven Arbeitsförderung ist zu beachten, dass sich diese im Hinblick auf ihre Zielsetzung und die inhaltliche Ausgestaltung deutlich voneinander unterscheiden. Maßnahmen zur Verbesserung der Chancen auf dem 1. Arbeitsmarkt sind inhaltlich heterogen. FbW führen den Teilnehmer an den Arbeitsmarkt heran, eröffnen ihm Perspektiven auf neue Einsatzbereiche. Es ist also damit zu rechnen, dass im Anschluss an diese Maßnahmen zunächst Sucharbeitslosigkeit eintritt. Dies ist bei der Beauftragung Dritter mit der Vermittlung, die unmit- telbar auf die Eingliederung in den Arbeitsmarkt zielt, nicht der Fall. Beschäftigung schaffende Maßnahmen, von denen im Rechtskreis SGB II ein großer Anteil auf Arbeitsgelegenheiten (AGH) entfällt, sind ein erster Schritt, um die Maßnahmeteilnehmer an den Arbeitsmarkt heranzuführen. AGH werden oft bei Hilfebe- dürftigen mit multiplen Problemlagen eingesetzt, sie dienen vorrangig der Herstellung bzw. Erhaltung der Beschäftigungsfähig- keit und der sozialen Stabilisierung. Eine schnelle Eingliederung in den ersten Arbeitsmarkt ist bei den Teilnehmern von AGH in der Regel nicht wahrscheinlich. Teilnehmer in Beschäftigungsbegleitenden Maßnahmen befinden sich bereits in einem Beschäftigungsverhältnis bzw. in selb- ständiger Erwerbstätigkeit, sie sind somit bereits in den Arbeitsmarkt integriert. Die Nachbeschäftigungsfrist nach Eingliede- rungszuschüssen beträgt max. 12 Monate, der Stichtag zur Ermittlung von Eingliederungsquote fällt somit in die Nachbeschäfti- gungszeit. Mit Einstiegsgeld bei selbständiger Erwerbstätigkeit im SGB II bzw. dem Gründungszuschuss im SGB III wird die Aufnahme einer selbständigen Erwerbstätigkeit gefördert. Der erfolgreiche Fortbestand der selbständigen Erwerbstätigkeit kann mit der Eingliederungsquote nicht gemessen werden. Aus diesen unterschiedlichen "Startpositionen" der Teilnehmer heraus ergeben sich zwangsläufig unter-schiedliche Ergebnisse im Hinblick auf eine Beschäftigung im Anschluss an die Förderung. Unterschiede in den Eingliederungsquoten verschiedener Instrumente sind nicht mit unterschiedlichem Erfolg der Instrumente gleichzusetzen. 44
  • 45.
    Monatsbericht Februar 2011 Bundesagentur für Arbeit VI. Arbeitsmarkt Gesamtübersicht Wichtige Größen des Arbeitsmarktes im Überblick Angaben in Millionen Deutschland 2001 bis 2011 58 56 Bevölkerung 15 bis 57 Bevölkerung 15 bis unter 65 Jahre unter 65 Jahre 56 55 52 54 53 2001 2003 2005 2007 2009 2011 48 44 42 Erwerbstätige Erwerbstätige 41 40 40 39 38 36 37 2001 2003 2005 2007 2009 2011 32 30 Sozialversicherungspf lichtig Sozialversicherungspf lichtig 29 Beschäf tigte Beschäf tigte 28 28 27 24 26 25 2001 2003 2005 2007 2009 2011 20 16 Einf ührung des SGB II 12 Leistungsempf änger 7 8 Leistungsempf änger 6 Unterbeschäf tigung 5 Unterbeschäf tigung 4 4 Arbeitslose 3 Arbeitslose 0 2 2001 2003 2005 2007 2009 2011 2001 2003 2005 2007 2009 2011 Quelle: Statistik der Bundesagentur für Arbeit 45
  • 46.
    Tabellenanhang zum Monatsbericht Februar 2011 VII. Tabellenanhang Tabelle Eckwerte des Arbeitsmarktes 1.1 Deutschland 1.2 Westdeutschland 1.3 Ostdeutschland Erwerbstätigkeit 2.1 Ursprungswerte - Deutschland 2.2 Saisonbereinigte Werte - Deutschland Sozialversicherungspflichtig Beschäftigte 3.1 Deutschland nach Ländern 3.2 Wirtschaftsabschnitte - Deutschland Kurzarbeit 4.1 Bestand an Kurzarbeitern - Deutschland, West-, Ostdeutschland 4.2 Anzeigen über Kurzarbeit und Anzahl betroffener Personen - Deutschland Arbeitslosigkeit und Unterbeschäftigung 5.1 Bestand an Arbeitslosen und Arbeitslosenquoten - Deutschland 5.2 Bestand an Arbeitslosen und Arbeitslosenquoten - Westdeutschland 5.3 Bestand an Arbeitslosen und Arbeitslosenquoten - Ostdeutschland 5.4 Arbeitslose nach Rechtkreisen - Eckwerte - Deutschland 5.5 Arbeitslose nach Rechtkreisen - Eckwerte - Westdeutschland 5.6 Arbeitslose nach Rechtkreisen - Eckwerte - Ostdeutschland 5.7 Zugang in Arbeitslosigkeit - Deutschland, West-, Ostdeutschland 5.8 Zugang in Arbeitslosigkeit aus Erwerbstätigkeit am 1. Arbeitsmarkt nach Wirtschaftszweigen - Deutschland, West-, Ostdeutschland 5.9 Abgang aus Arbeitslosigkeit - Deutschland, West-, Ostdeutschland 5.10 Unterbeschäftigung - Deutschland 5.11 Unterbeschäftigung - Westdeutschland 5.12 Unterbeschäftigung - Ostdeutschland 5.13 Unterbeschäftigung - Zeitreihe - Deutschland 5.14 Unterbeschäftigung - Zeitreihe - Westdeutschland 5.15 Unterbeschäftigung - Zeitreihe - Ostdeutschland Leistungsempfänger 6.1 Bestand an Leistungsempfängern von Arbeitslosengeld - Deutschland, West-, Ostdeutschland 6.2 Eckwerte zu Leistungsempfängern von Arbeitslosengeld - Deutschland 6.3 Bedarfsgemeinschaften und Personen in Bedarfsgemeinschaften - Deutschland 6.4 Grundsicherung für Arbeitsuchende nach dem SGB II - Deutschland 6.5 Grundsicherung für Arbeitsuchende nach dem SGB II - Westdeutschland 6.6 Grundsicherung für Arbeitsuchende nach dem SGB II - Ostdeutschland Stellenangebot 7.1 Bestand gemeldete Arbeitsstellen - Deutschland 7.2 Bestand gemeldete Arbeitsstellen - Westdeutschland 7.3 Bestand gemeldete Arbeitsstellen - Ostdeutschland 7.4 Der Bundesagentur (BA) bekanntes Stellenangebot - Deutschland Arbeitsmarktpolitik 8.1 Ausgewählte arbeitsmarktpolitische Instrumente für Personen im Rechtskreis SGB III und II - Deutschland 8.2 Ausgewählte arbeitsmarktpolitische Instrumente für Personen im Rechtskreis SGB III - Deutschland 8.3 Ausgewählte arbeitsmarktpolitische Instrumente für Personen im Rechtskreis SGB II - Deutschland 46
  • 47.
    Tabellenanhang zum Monatsbericht Februar 2011 1.1 ECKWERTE DES ARBEITSMARKTES Deutschland Februar 2011 Die Statistik der BA bildet Arbeitslosigkeit vollständig ab. Die Arbeitslosenstatistik basiert auf Informationen aus den IT-Verfahren der BA, aus als plausibel bewerteten Datenlieferungen zugelassener kommunaler Träger und - sofern keine plausiblen Daten geliefert wurden - auf ergänzenden Schätzungen der Statistik der BA. Die Daten zu arbeitsmarktpolitischen Maßnahmen enthalten die gemeldeten Daten zugelassener kommunaler Träger. Die Daten zu Leistungen nach dem SGB II beruhen auf Auswertungen aus dem IT-Fachverfahren A2LL, auf Meldungen kommunaler Träger und - wenn diese nicht vorliegen - auf Schätzungen der BA, 2011 2010 Veränderung gegenüber Vorjahresmonat (Arbeitslosenquote Vorjahreswerte) Merkmale Februar Januar Dezember November Februar Januar Dezember absolut in % in % in % Erwerbstätigkeit 1) … 40.279.000 40.918.000 41.090.000 … … 1,2 1,1 Erwerbstätige (Monatsdurchschnitt; Inland) Soz.-Verspfl. Beschäftigte (Bestand, hochgerechnet) … … 28.046.200 28.275.100 … … … 2,0 Arbeitslosigkeit registriert nach § 16 SGB III - Bestand 3.317.099 3.349.788 3.015.715 2.931.170 -326.282 -9,0 -7,4 -7,9 dar.: 55,4% Männer 1.838.493 1.855.463 1.619.453 1.541.374 -238.432 -11,5 -9,2 -9,8 44,6% Frauen 1.478.606 1.494.325 1.396.262 1.389.796 -87.850 -5,6 -5,0 -5,6 9,5% 15 bis unter 25 Jahre 315.113 305.301 265.942 262.404 -67.855 -17,7 -15,5 -17,4 1,5% dar.: 15 bis unter 20 Jahre 48.996 47.763 44.893 45.324 -10.613 -17,8 -16,7 -18,7 30,5% 50 bis unter 65 Jahre 1.010.606 1.022.600 921.891 890.634 12.198 1,2 2,9 2,2 17,6% dar.: 55 bis unter 65 Jahre 585.357 591.026 536.443 519.405 30.670 5,5 7,4 7,3 15,2% Ausländer 503.869 509.927 474.363 468.200 -37.830 -7,0 -6,2 -6,5 84,7% Deutsche 2.809.094 2.835.616 2.537.379 2.458.872 -286.161 -9,2 -7,5 -8,2 5,7% schwerbehinderte Menschen*) 188.114 189.431 176.595 173.563 10.176 5,7 6,6 6,1 Arbeitslosenquoten bezogen auf - alle zivilen Erwerbspersonen insgesamt 7,9 8,0 7,2 7,0 8,7 - 8,6 7,8 Männer 8,2 8,3 7,2 6,9 9,3 - 9,1 8,0 Frauen 7,5 7,6 7,1 7,0 8,0 - 8,0 7,5 15 bis unter 25 Jahre 6,6 6,4 5,6 5,5 7,9 - 7,5 6,7 15 bis unter 20 Jahre 3,4 3,4 3,2 3,2 4,0 - 3,8 3,7 50 bis unter 65 Jahre 9,0 9,1 8,2 8,0 9,3 - 9,2 8,4 55 bis unter 65 Jahre 9,6 9,7 8,8 8,5 9,5 - 9,5 8,6 Ausländer 15,8 15,9 14,8 14,6 17,1 - 17,2 16,1 Deutsche 7,2 7,3 6,5 6,3 8,0 - 7,9 7,1 - abhängige zivile Erwerbspersonen insgesamt 8,8 8,9 8,0 7,8 9,7 - 9,6 8,7 2) Unterbeschäftigung Arbeitslosigkeit im weiteren Sinne 3.588.984 3.607.384 3.289.527 3.219.457 -388.386 -9,8 -8,2 -8,7 Unterbeschäftigung im engeren Sinne 4.059.243 4.103.442 3.856.543 3.823.307 -513.055 -11,2 -9,2 -9,2 Unterbeschäftigung ohne Kurzarbeit 4.287.280 4.334.766 4.094.022 4.065.244 -529.181 -11,0 -8,9 -8,9 Unterbeschäftigungsquote (ohne Kurzarbeit) 10,1 10,2 9,6 9,5 x x x x 3) Leistungsempfänger - Arbeitslosengeld 1.072.747 1.065.450 885.760 826.317 -293.902 -21,5 -19,8 -21,5 - erwerbsfähige Hilfebedürftige (Alg II) 4.763.138 4.744.019 4.733.223 4.705.843 -241.315 -4,8 -4,0 -3,5 - nicht erwerbsfähige Hilfebedürftige (Sozialgeld) 1.769.467 1.768.540 1.773.225 1.771.945 -80.345 -4,3 -3,7 -3,0 Gemeldete Arbeitsstellen 4) - Zugang im Monat 199.968 135.775 160.854 171.788 55.834 38,7 27,7 35,2 dar.: sozialversicherungspflichtig 183.547 123.764 146.632 155.470 54.029 41,7 32,6 38,5 - Zugang seit Jahresbeginn 335.743 135.775 2.017.216 1.856.362 85.301 34,1 27,7 24,7 dar.: sozialversicherungspflichtig 307.311 123.764 1.826.862 1.680.230 84.484 37,9 32,6 25,7 5) 417.224 374.671 379.808 394.149 119.503 40,1 38,1 35,1 - Bestand dar.: sozialversicherungspflichtig 384.367 343.913 348.331 360.642 117.397 44,0 42,0 38,0 sofort zu besetzen 355.289 327.776 330.306 353.751 114.995 47,9 44,8 39,5 Teilnehmer an ausgewählten Maßnahmen 3) aktiver Arbeitsmarktpolitik - Bestand insgesamt 1.318.426 1.337.047 1.474.535 1.546.500 -298.531 -18,5 -16,6 -14,5 dar.: Qualifizierung 207.739 212.107 224.598 226.911 -12.692 -5,8 -4,2 -8,8 Berufsberatung u. Förderung d. Berufsausbildung 356.729 355.016 384.417 382.225 -41.204 -10,4 -9,7 -5,1 Beschäftigungsbegleitende Leistungen 313.175 320.154 335.940 351.428 -47.761 -13,2 -11,7 -9,5 Beschäftigung schaffende Maßnahmen 209.597 230.034 287.879 324.648 -86.228 -29,1 -23,3 -13,1 Saisonbereinigte Entwicklung Feb 11 Jan 11 Dez 10 Nov 10 Okt 10 Sep 10 Aug 10 Jul 10 Veränderung gegenüber Vormonat 1) … 23.000 35.000 31.000 31.000 36.000 38.000 34.000 Erwerbstätige (Inland) Sozialversicherungspflichtig Beschäftigte … … 52.000 67.000 24.000 29.000 51.000 40.000 Arbeitslose -52.000 -18.000 -5.000 -11.000 -4.000 -38.000 -17.000 -19.000 Unterbeschäftigung (ohne Kurzarbeit) -82.000 -33.000 -28.000 -20.000 -21.000 -50.000 -30.000 -38.000 4) 15.000 13.000 11.000 11.000 11.000 5.000 6.000 12.000 gemeldete Arbeitsstellen - sozialversicherungspflichtige Stellen 12.000 14.000 11.000 10.000 11.000 7.000 6.000 12.000 Arbeitslosenquote bezogen auf alle zivilen EP 7,3 7,4 7,5 7,5 7,5 7,5 7,6 7,6 1) … 6,5 6,6 6,6 6,6 6,6 6,7 6,7 ILO Erwerbslosenquote Datenstand: Februar 2011 © Statistik der Bundesagentur für Arbeit Quelle: Statistik der Bundesagentur für Arbeit , saisonbereinigte Werte: Institut für Arbeitsmarkt- und Berufsforschung 1) Quelle: Statistisches Bundesamt 2) Detaillierte Daten zur Unterbeschäftigung siehe Tabellen 5.10; weitergehende Informationen im Methodenbericht „Umfassende Arbeitsmarktstatistik“ im Internet unter http://statistik.arbeitsagentur.de/Navigation/Statistik/Grundlagen/Methodenberichte/Methodenberichte-Nav.html 3) Endgültige Werte stehen erst nach einer Wartezeit fest. Am aktuellen Rand können die Daten aufgrund von Erfahrungswerten überwiegend hochgerechnet werden. 4) Weitergehende Informationen im Methodenbericht „Umstellung der Statistik der gemeldeten Arbeitsstellen“ im Internet unter http://statistik.arbeitsagentur.de/Navigation/Statistik/Grundlagen/Methodenberichte/Methodenberichte-Nav.html 5) Den Arbeitsagenturen waren im 4. Quartal 2010 laut Umfrage bei Betrieben 39% des gesamten Stellenangebotes am 1. Arbeitsmarkt gemeldet. *)Ab Januar 2010 werden die bei den Agenturen für Arbeit und ARGEn erfassten Personen, denen eine Gleichstellung zugesichert wurde, nicht mehr zu den Schwerbehinderten 47 gezählt. Vorjahresvergleiche sind somit nur eingeschränkt möglich.
  • 48.
    Tabellenanhang zum Monatsbericht Februar 2011 1.2 ECKWERTE DES ARBEITSMARKTES Westdeutschland Februar 2011 Die Statistik der BA bildet Arbeitslosigkeit vollständig ab. Die Arbeitslosenstatistik basiert auf Informationen aus den IT-Verfahren der BA, aus als plausibel bewerteten Datenlieferungen zugelassener kommunaler Träger und - sofern keine plausiblen Daten geliefert wurden - auf ergänzenden Schätzungen der Statistik der BA. Die Daten zu arbeitsmarktpolitischen Maßnahmen enthalten die gemeldeten Daten zugelassener kommunaler Träger. Die Daten zu Leistungen nach dem SGB II beruhen auf Auswertungen aus dem IT-Fachverfahren A2LL, auf Meldungen kommunaler Träger und - wenn diese nicht vorliegen - auf Schätzungen der BA, 2011 2010 Veränderung gegenüber Vorjahresmonat (Arbeitslosenquote Vorjahreswerte) Merkmale Februar Januar Dezember November Februar Januar Dezember absolut in % in % in % Erwerbstätigkeit Erwerbstätige (Monatsdurchschnitt; Inland)1) . . . . . . . . Soz.-Verspfl. Beschäftigte (Bestand, hochgerechnet) … … 22.727.300 22.886.200 … … … 2,1 Arbeitslosigkeit registriert nach § 16 SGB III - Bestand 2.241.537 2.274.261 2.067.916 2.029.525 -240.236 -9,7 -7,9 -8,0 dar.: 54,9% Männer 1.231.494 1.248.870 1.102.961 1.062.888 -177.452 -12,6 -10,2 -10,4 45,1% Frauen 1.010.043 1.025.391 964.955 966.637 -62.784 -5,9 -4,9 -5,1 9,6% 15 bis unter 25 Jahre 215.209 208.020 180.834 178.595 -48.869 -18,5 -16,0 -17,7 1,6% dar.: 15 bis unter 20 Jahre 36.704 35.845 33.546 33.778 -7.366 -16,7 -15,3 -17,1 29,4% 50 bis unter 65 Jahre 660.124 672.048 612.960 600.330 10.796 1,7 3,9 3,9 17,2% dar.: 55 bis unter 65 Jahre 384.450 390.269 357.987 351.175 24.057 6,7 9,2 9,8 19,1% Ausländer 428.981 434.730 404.573 400.362 -36.639 -7,9 -6,9 -7,2 80,7% Deutsche 1.809.278 1.836.152 1.660.142 1.625.850 -202.531 -10,1 -8,1 -8,2 6,2% schwerbehinderte Menschen*) 138.436 140.134 130.902 129.195 8.611 6,6 8,1 7,8 Arbeitslosenquoten bezogen auf - alle zivilen Erwerbspersonen insgesamt 6,7 6,8 6,1 6,0 7,4 - 7,4 6,7 Männer 6,9 7,0 6,2 5,9 7,9 - 7,8 6,9 Frauen 6,4 6,5 6,1 6,1 6,8 - 6,9 6,5 15 bis unter 25 Jahre 5,6 5,4 4,7 4,7 6,8 - 6,4 5,7 15 bis unter 20 Jahre 3,1 3,0 2,8 2,8 3,5 - 3,4 3,2 50 bis unter 65 Jahre 7,5 7,7 7,0 6,8 7,7 - 7,7 7,0 55 bis unter 65 Jahre 8,0 8,1 7,5 7,3 7,9 - 7,8 7,1 Ausländer 14,8 15,0 14,0 13,8 16,2 - 16,3 15,2 Deutsche 5,9 6,0 5,4 5,3 6,6 - 6,5 5,9 - abhängige zivile Erwerbspersonen insgesamt 7,5 7,6 6,9 6,7 8,3 - 8,3 7,5 Unterbeschäftigung 2) Arbeitslosigkeit im weiteren Sinne 2.438.149 2.459.582 2.266.242 2.239.630 -296.333 -10,8 -9,0 -9,2 Unterbeschäftigung im engeren Sinne 2.740.960 2.771.414 2.615.040 2.595.163 -356.687 -11,5 -9,3 -9,2 Unterbeschäftigung ohne Kurzarbeit 2.920.646 2.953.707 2.802.344 2.785.936 -368.625 -11,2 -9,0 -8,7 Unterbeschäftigungsquote (ohne Kurzarbeit) 8,6 8,7 8,2 8,2 x x x x Leistungsempfänger3) - Arbeitslosengeld 768.276 765.435 654.021 616.819 -230.428 -23,1 -21,6 -22,8 - erwerbsfähige Hilfebedürftige (Alg II) 3.185.023 3.175.531 3.167.366 3.147.362 -145.113 -4,4 -3,4 -2,8 - nicht erwerbsfähige Hilfebedürftige (Sozialgeld) 1.273.203 1.273.000 1.275.071 1.274.441 -58.335 -4,4 -3,7 -3,0 Gemeldete Arbeitsstellen 4) - Zugang im Monat 162.649 109.594 132.831 138.438 45.973 39,4 28,9 38,2 dar.: sozialversicherungspflichtig 149.057 99.825 121.251 125.099 44.677 42,8 33,9 41,8 - Zugang seit Jahresbeginn 272.243 109.594 1.631.396 1.498.565 70.512 35,0 28,9 25,7 dar.: sozialversicherungspflichtig 248.882 99.825 1.475.779 1.354.528 69.941 39,1 33,9 26,8 - Bestand 5) 347.969 314.393 320.020 330.927 102.125 41,5 40,0 36,9 dar.: sozialversicherungspflichtig 320.104 288.383 293.394 302.648 100.806 46,0 44,1 39,8 sofort zu besetzen 304.971 281.231 283.635 302.276 99.876 48,7 46,4 40,8 Teilnehmer an ausgewählten Maßnahmen aktiver Arbeitsmarktpolitik3) - Bestand insgesamt 924.194 927.129 1.015.765 1.046.738 -186.249 -16,8 -15,2 -13,4 dar.: Qualifizierung 145.247 147.609 156.994 158.315 -3.475 -2,3 -1,2 -6,3 Berufsberatung u. Förderung d. Berufsausbildung 270.313 269.507 292.696 290.151 -25.570 -8,6 -8,0 -3,9 Beschäftigungsbegleitende Leistungen 215.044 219.502 229.812 239.125 -25.503 -10,6 -8,5 -5,7 Beschäftigung schaffende Maßnahmen 119.601 125.638 152.878 159.996 -41.274 -25,7 -21,1 -10,3 Saisonbereinigte Entwicklung Feb 11 Jan 11 Dez 10 Nov 10 Okt 10 Sep 10 Aug 10 Jul 10 Veränderung gegenüber Vormonat Erwerbstätige (Inland)1) . . . . . . . . Sozialversicherungspflichtig Beschäftigte … … 46.000 58.000 25.000 34.000 41.000 31.000 Arbeitslose -39.000 -17.000 -10.000 -8.000 -5.000 -31.000 -6.000 -14.000 Unterbeschäftigung (ohne Kurzarbeit) -58.000 -27.000 -22.000 -14.000 -14.000 -38.000 -16.000 -28.000 gemeldete Arbeitsstellen4) 12.000 10.000 10.000 9.000 10.000 4.000 6.000 10.000 - sozialversicherungspflichtige Stellen 10.000 12.000 10.000 8.000 9.000 6.000 6.000 10.000 Arbeitslosenquote bezogen auf alle zivilen EP 6,2 6,3 6,4 6,4 6,4 6,5 6,5 6,6 Datenstand: Februar 2011 © Statistik der Bundesagentur für Arbeit Quelle: Statistik der Bundesagentur für Arbeit , saisonbereinigte Werte: Institut für Arbeitsmarkt- und Berufsforschung 1) Quelle: Statistisches Bundesamt 2) Detaillierte Daten zur Unterbeschäftigung siehe Tabellen 5.11; weitergehende Informationen im Methodenbericht „Umfassende Arbeitsmarktstatistik“ im Internet unter http://statistik.arbeitsagentur.de/Navigation/Statistik/Grundlagen/Methodenberichte/Methodenberichte-Nav.html 3) Endgültige Werte stehen erst nach einer Wartezeit fest. Am aktuellen Rand können die Daten aufgrund von Erfahrungswerten überwiegend hochgerechnet werden. 4) Weitergehende Informationen im Methodenbericht „Umstellung der Statistik der gemeldeten Arbeitsstellen“ im Internet unter http://statistik.arbeitsagentur.de/Navigation/Statistik/Grundlagen/Methodenberichte/Methodenberichte-Nav.html 5) Den Arbeitsagenturen waren im 4. Quartal 2010 laut Umfrage bei Betrieben 39% des gesamten Stellenangebotes am 1. Arbeitsmarkt gemeldet. *)Ab Januar 2010 werden die bei den Agenturen für Arbeit und ARGEn erfassten Personen, denen eine Gleichstellung zugesichert wurde, nicht mehr zu den Schwerbehinderten 48 gezählt. Vorjahresvergleiche sind somit nur eingeschränkt möglich.
  • 49.
    Tabellenanhang zum Monatsbericht Februar 2011 1.3 ECKWERTE DES ARBEITSMARKTES Ostdeutschland Februar 2011 Die Statistik der BA bildet Arbeitslosigkeit vollständig ab. Die Arbeitslosenstatistik basiert auf Informationen aus den IT-Verfahren der BA, aus als plausibel bewerteten Datenlieferungen zugelassener kommunaler Träger und - sofern keine plausiblen Daten geliefert wurden - auf ergänzenden Schätzungen der Statistik der BA. Die Daten zu arbeitsmarktpolitischen Maßnahmen enthalten die gemeldeten Daten zugelassener kommunaler Träger. Die Daten zu Leistungen nach dem SGB II beruhen auf Auswertungen aus dem IT-Fachverfahren A2LL, auf Meldungen kommunaler Träger und - wenn diese nicht vorliegen - auf Schätzungen der BA, 2011 2010 Veränderung gegenüber Vorjahresmonat (Arbeitslosenquote Vorjahreswerte) Merkmale Februar Januar Dezember November Februar Januar Dezember absolut in % in % in % Erwerbstätigkeit Erwerbstätige (Monatsdurchschnitt; Inland)1) . . . . . . . . Soz.-Verspfl. Beschäftigte (Bestand, hochgerechnet) … … 5.319.300 5.388.900 … … … 1,6 Arbeitslosigkeit registriert nach § 16 SGB III - Bestand 1.075.562 1.075.527 947.799 901.645 -86.046 -7,4 -6,3 -7,7 dar.: 56,4% Männer 606.999 606.593 516.492 478.486 -60.980 -9,1 -7,1 -8,5 43,6% Frauen 468.563 468.934 431.307 423.159 -25.066 -5,1 -5,3 -6,8 9,3% 15 bis unter 25 Jahre 99.904 97.281 85.108 83.809 -18.986 -16,0 -14,5 -16,6 1,1% dar.: 15 bis unter 20 Jahre 12.292 11.918 11.347 11.546 -3.247 -20,9 -20,5 -23,1 32,6% 50 bis unter 65 Jahre 350.482 350.552 308.931 290.304 1.402 0,4 1,1 -0,9 18,7% dar.: 55 bis unter 65 Jahre 200.907 200.757 178.456 168.230 6.613 3,4 4,2 2,6 7,0% Ausländer 74.888 75.197 69.790 67.838 -1.191 -1,6 -1,7 -2,3 93,0% Deutsche 999.816 999.464 877.237 833.022 -83.630 -7,7 -6,5 -8,1 4,6% schwerbehinderte Menschen*) 49.678 49.297 45.693 44.368 1.565 3,3 2,5 1,5 Arbeitslosenquoten bezogen auf - alle zivilen Erwerbspersonen insgesamt 12,7 12,7 11,2 10,7 13,7 - 13,5 12,1 Männer 13,7 13,7 11,7 10,8 15,0 - 14,7 12,7 Frauen 11,7 11,7 10,8 10,6 12,3 - 12,3 11,5 15 bis unter 25 Jahre 11,0 10,7 9,4 9,2 12,5 - 12,0 10,8 15 bis unter 20 Jahre 5,6 5,4 5,2 5,3 6,2 - 6,0 5,9 50 bis unter 65 Jahre 14,6 14,6 12,9 12,1 15,1 - 15,0 13,4 55 bis unter 65 Jahre 15,4 15,3 13,6 12,9 15,8 - 15,7 14,2 Ausländer 24,8 24,9 23,1 22,5 26,3 - 26,5 24,7 Deutsche 12,3 12,3 10,8 10,2 13,2 - 13,1 11,7 - abhängige zivile Erwerbspersonen insgesamt 14,2 14,2 12,5 11,9 15,3 - 15,1 13,5 Unterbeschäftigung 2) Arbeitslosigkeit im weiteren Sinne 1.150.824 1.147.791 1.023.276 979.821 -92.064 -7,4 -6,3 -7,6 Unterbeschäftigung im engeren Sinne 1.318.268 1.332.012 1.241.489 1.228.132 -156.378 -10,6 -8,8 -9,4 Unterbeschäftigung ohne Kurzarbeit 1.366.599 1.381.025 1.291.640 1.279.267 -160.586 -10,5 -8,7 -9,2 Unterbeschäftigungsquote (ohne Kurzarbeit) 16,0 16,1 15,1 14,9 x x x x Leistungsempfänger3) - Arbeitslosengeld 303.427 299.130 230.718 208.468 -64.185 -17,5 -15,1 -17,9 - erwerbsfähige Hilfebedürftige (Alg II) 1.578.115 1.568.487 1.565.857 1.558.481 -96.202 -5,7 -5,2 -5,1 - nicht erwerbsfähige Hilfebedürftige (Sozialgeld) 496.264 495.540 498.154 497.504 -22.010 -4,2 -3,7 -3,1 Gemeldete Arbeitsstellen 4) - Zugang im Monat 37.319 26.181 28.023 33.350 9.861 35,9 23,2 22,4 dar.: sozialversicherungspflichtig 34.490 23.939 25.381 30.371 9.352 37,2 27,7 24,8 - Zugang seit Jahresbeginn 63.500 26.181 385.820 357.797 14.789 30,4 23,2 20,5 dar.: sozialversicherungspflichtig 58.429 23.939 351.083 325.702 14.543 33,1 27,7 21,3 - Bestand 5) 69.255 60.278 59.788 63.222 17.378 33,5 28,7 26,0 dar.: sozialversicherungspflichtig 64.263 55.530 54.937 57.994 16.591 34,8 32,1 29,2 sofort zu besetzen 50.318 46.545 46.671 51.475 15.119 43,0 35,9 32,0 Teilnehmer an ausgewählten Maßnahmen aktiver Arbeitsmarktpolitik3) - Bestand insgesamt 394.111 409.795 458.635 499.624 -112.403 -22,2 -19,7 -17,0 dar.: Qualifizierung 62.492 64.497 67.603 68.595 -9.217 -12,9 -10,6 -14,1 Berufsberatung u. Förderung d. Berufsausbildung 86.354 85.446 91.651 92.006 -15.696 -15,4 -14,9 -8,5 Beschäftigungsbegleitende Leistungen 98.085 100.607 106.075 112.242 -22.304 -18,5 -17,9 -16,7 Beschäftigung schaffende Maßnahmen 89.996 104.396 135.001 164.652 -44.954 -33,3 -25,8 -16,0 Saisonbereinigte Entwicklung Feb 11 Jan 11 Dez 10 Nov 10 Okt 10 Sep 10 Aug 10 Jul 10 Veränderung gegenüber Vormonat Erwerbstätige (Inland)1) . . . . . . . . Sozialversicherungspflichtig Beschäftigte … … 6.000 9.000 -1.000 -5.000 10.000 9.000 Arbeitslose -13.000 -1.000 5.000 -3.000 1.000 -7.000 -11.000 -5.000 Unterbeschäftigung (ohne Kurzarbeit) -24.000 -6.000 -6.000 -6.000 -7.000 -12.000 -14.000 -10.000 gemeldete Arbeitsstellen4) 3.000 3.000 1.000 2.000 1.000 1.000 0 2.000 - sozialversicherungspflichtige Stellen 2.000 2.000 1.000 2.000 2.000 1.000 0 2.000 Arbeitslosenquote bezogen auf alle zivilen EP 11,5 11,7 11,7 11,6 11,7 11,7 11,8 11,9 Datenstand: Februar 2011 © Statistik der Bundesagentur für Arbeit Quelle: Statistik der Bundesagentur für Arbeit , saisonbereinigte Werte: Institut für Arbeitsmarkt- und Berufsforschung 1) Quelle: Statistisches Bundesamt 2) Detaillierte Daten zur Unterbeschäftigung siehe Tabellen 5.12; weitergehende Informationen im Methodenbericht „Umfassende Arbeitsmarktstatistik“ im Internet unter http://statistik.arbeitsagentur.de/Navigation/Statistik/Grundlagen/Methodenberichte/Methodenberichte-Nav.html 3) Endgültige Werte stehen erst nach einer Wartezeit fest. Am aktuellen Rand können die Daten aufgrund von Erfahrungswerten überwiegend hochgerechnet werden. 4) Weitergehende Informationen im Methodenbericht „Umstellung der Statistik der gemeldeten Arbeitsstellen“ im Internet unter http://statistik.arbeitsagentur.de/Navigation/Statistik/Grundlagen/Methodenberichte/Methodenberichte-Nav.html 5) Den Arbeitsagenturen waren im 4. Quartal 2010 laut Umfrage bei Betrieben 43% des gesamten Stellenangebotes am 1. Arbeitsmarkt gemeldet. *)Ab Januar 2010 werden die bei den Agenturen für Arbeit und ARGEn erfassten Personen, denen eine Gleichstellung zugesichert wurde, nicht mehr zu den Schwerbehinderten 49 gezählt. Vorjahresvergleiche sind somit nur eingeschränkt möglich.
  • 50.
    Tabellenanhang zum Monatsbericht Februar 2011 2.1 Erwerbstätigkeit - Ursprungswerte - Deutschland Februar 2011 Erwerbstätige Inländer (Wohnort) Erwerbstätige im Inland (Arbeitsort) Jahres- / Monats- Veränderung gegenüber Veränderung gegenüber Insgesamt Insgesamt Durchschnitte Vorjahr(esmonat) Vormonat Vorjahr(esmonat) Vormonat in Tausend in % in Tausend in % in Tausend in % in Tausend in % Jahr 20071) 39.651 655 1,7 x x 39.724 649 1,7 x x Jahr 20081) 40.216 565 1,4 x x 40.276 552 1,4 x x 1) Jahr 2009 40.171 - 45 -0,1 x x 40.271 -5 -0,0 x x Jahr 20101) 40.368 197 0,5 x x 40.483 212 0,5 x x 2009 Januar 39.900 226 0,6 - 612 -1,5 39.920 230 0,6 - 638 -1,6 Februar 39.918 184 0,5 18 0,0 39.916 190 0,5 -4 -0,0 März 39.992 108 0,3 74 0,2 39.976 108 0,3 60 0,2 April 40.114 84 0,2 122 0,3 40.114 65 0,2 138 0,3 Mai 40.151 17 0,0 37 0,1 40.200 3 0,0 86 0,2 Juni 40.133 - 42 -0,1 - 18 -0,0 40.244 - 47 -0,1 44 0,1 Juli 40.058 - 90 -0,2 - 75 -0,2 40.214 - 78 -0,2 - 30 -0,1 August 40.085 - 141 -0,4 27 0,1 40.272 - 76 -0,2 58 0,1 September 40.351 - 205 -0,5 266 0,7 40.554 - 103 -0,3 282 0,7 Oktober 40.494 - 278 -0,7 143 0,4 40.685 - 158 -0,4 131 0,3 November 40.489 - 255 -0,6 -5 -0,0 40.663 - 136 -0,3 - 22 -0,1 Dezember 40.367 - 145 -0,4 - 122 -0,3 40.490 - 68 -0,2 - 173 -0,4 2010 Januar 39.737 - 163 -0,4 - 630 -1,6 39.816 - 104 -0,3 - 674 -1,7 Februar 39.753 - 165 -0,4 16 0,0 39.800 - 116 -0,3 - 16 -0,0 März 39.920 - 72 -0,2 167 0,4 39.956 - 20 -0,1 156 0,4 April 40.167 53 0,1 247 0,6 40.206 92 0,2 250 0,6 Mai 40.339 188 0,5 172 0,4 40.395 195 0,5 189 0,5 Juni 40.399 266 0,7 60 0,1 40.503 259 0,6 108 0,3 Juli 40.354 296 0,7 - 45 -0,1 40.506 292 0,7 3 0,0 August 40.412 327 0,8 58 0,1 40.596 324 0,8 90 0,2 September 40.722 371 0,9 310 0,8 40.918 364 0,9 322 0,8 Oktober 40.905 411 1,0 183 0,4 41.096 411 1,0 178 0,4 November 40.921 432 1,1 16 0,0 41.090 427 1,1 -6 -0,0 Dezember 40.794 427 1,1 - 127 -0,3 40.918 428 1,1 - 172 -0,4 2011 Januar 40.203 466 1,2 - 591 -1,4 40.279 463 1,2 - 639 -1,6 Februar März April Mai Juni Juli August September Oktober November Dezember Quelle: Statistisches Bundesamt © Statistik der Bundesagentur für Arbeit 1) vorläufiges Ergebnis 2.2 Erwerbstätigkeit - Saisonbereinigte Werte - Deutschland Februar 2011 Erwerbstätige Inländer (Wohnort) Erwerbstätige im Inland (Arbeitsort) Monats- Veränderung gegenüber Veränderung gegenüber Insgesamt Insgesamt durchschnitte Vormonat Vormonat in Tausend in % in Tausend in % 2009 Januar 40.282 1 0,0 40.348 5 0,0 Februar 40.302 20 0,0 40.369 21 0,1 März 40.269 -33 -0,1 40.332 -37 -0,1 April 40.242 -27 -0,1 40.294 -38 -0,1 Mai 40.180 -62 -0,2 40.247 -47 -0,1 Juni 40.155 -25 -0,1 40.225 -22 -0,1 Juli 40.138 -17 -0,0 40.229 4 0,0 August 40.117 -21 -0,1 40.237 8 0,0 September 40.095 -22 -0,1 40.238 1 0,0 Oktober 40.063 -32 -0,1 40.222 -16 -0,0 November 40.081 18 0,0 40.236 14 0,0 Dezember 40.136 55 0,1 40.275 39 0,1 2010 Januar 40.120 -16 -0,0 40.245 -30 -0,1 Februar 40.135 15 0,0 40.251 6 0,0 März 40.192 57 0,1 40.309 58 0,1 April 40.290 98 0,2 40.382 73 0,2 Mai 40.367 77 0,2 40.444 62 0,2 Juni 40.425 58 0,1 40.489 45 0,1 Juli 40.434 9 0,0 40.523 34 0,1 August 40.445 11 0,0 40.561 38 0,1 September 40.463 18 0,0 40.597 36 0,1 Oktober 40.471 8 0,0 40.628 31 0,1 November 40.511 40 0,1 40.659 31 0,1 Dezember 40.554 43 0,1 40.694 35 0,1 2011 Januar 40.595 41 0,1 40.717 23 0,1 Februar März April Mai Juni Juli August September Oktober November Dezember 50 Quelle: Statistisches Bundesamt © Statistik der Bundesagentur für Arbeit
  • 51.
    Tabellenanhang zum Monatsbericht Februar 2011 3.1 Sozialversicherungspflichtige Beschäftigte Deutschland nach Ländern Februar 2011 Sozialversicherungspflichtige Beschäftigte auf 6-Monatswert hochgerechneter ... Vergleich 2-Monatswert (Sp. 1) zum 2-Monats- 6-Monatswert 3-Monatswert Regionen wert zum Vorjahr zum Vormonat 2010 2010 Dezember November Oktober September August Juli abs. % abs. % 1 2 3 4 5 6 7 8 9 10 Deutschland 1 28.046.200 28.275.100 28.280.500 28.271.300 27.976.208 27.691.475 558.652 2,0 -228.900 -0,8 Westdeutschland 2 22.727.300 22.886.200 22.884.000 22.875.400 22.630.361 22.391.041 473.196 2,1 -158.900 -0,7 Ostdeutschland 3 5.319.300 5.388.900 5.396.600 5.395.700 5.345.847 5.300.434 85.856 1,6 -69.600 -1,3 01 Schleswig-Holstein 4 830.800 839.100 842.900 842.900 836.407 824.035 16.648 2,0 -8.300 -1,0 02 Hamburg 5 834.000 837.300 835.100 834.000 829.340 819.128 16.104 2,0 -3.300 -0,4 03 Niedersachsen 6 2.496.200 2.517.200 2.521.200 2.519.400 2.504.122 2.456.592 62.537 2,6 -21.000 -0,8 04 Bremen 7 290.700 291.900 290.800 290.400 288.712 284.777 4.580 1,6 -1.200 -0,4 05 Nordrhein-Westfalen 8 5.920.600 5.955.800 5.948.000 5.943.300 5.893.262 5.815.334 113.533 2,0 -35.200 -0,6 06 Hessen 9 2.218.900 2.231.200 2.229.300 2.227.400 2.211.889 2.181.767 35.812 1,6 -12.300 -0,6 07 Rheinland-Pfalz 10 1.232.800 1.245.700 1.246.800 1.246.200 1.238.737 1.216.115 27.754 2,3 -12.900 -1,0 08 Baden-Württemberg 11 3.940.400 3.957.100 3.952.000 3.954.200 3.891.764 3.881.020 78.593 2,0 -16.700 -0,4 09 Bayern 12 4.607.000 4.652.600 4.659.300 4.660.100 4.580.829 4.562.305 109.901 2,4 -45.600 -1,0 10 Saarland 13 355.800 357.900 358.100 357.600 355.299 349.968 7.634 2,2 -2.100 -0,6 11 Berlin 14 1.143.100 1.151.000 1.147.200 1.145.200 1.130.198 1.123.157 25.585 2,3 -7.900 -0,7 12 Brandenburg 15 749.900 761.300 763.900 764.500 757.618 750.800 9.257 1,2 -11.400 -1,5 13 Mecklenburg-Vorpommern 16 513.800 522.300 529.400 531.300 527.004 526.335 2.263 0,4 -8.500 -1,6 14 Sachsen 17 1.418.900 1.437.600 1.436.900 1.435.800 1.424.132 1.411.277 24.292 1,7 -18.700 -1,3 15 Sachsen-Anhalt 18 751.700 763.300 765.000 764.700 759.337 749.990 6.810 0,9 -11.600 -1,5 16 Thüringen 19 741.900 752.900 754.200 754.500 747.558 738.875 17.649 2,4 -11.000 -1,5 Datenstand: Februar 2011 © Statistik der Bundesagentur für Arbeit vorläufige Ergebnisse Quelle: Statistik der Bundesagentur für Arbeit 3.2 Sozialversicherungspflichtige Beschäftigte nach Wirtschaftsabschnitten Deutschland Februar 2011 Sozialversicherungspflichtige Beschäftigte auf 6-Monatswert hochgerechneter/gerundeter … Vergleich 2-Monatswert (Sp. 1) 2-Monats- 6-Monatswert 3-Monatswert Wirtschaftsabschnitte WZ 2008 wert Vorjahr Vormonat 2010 2010 Dezember November Oktober September August Juli abs. % abs. % 1 2 3 4 5 6 7 8 9 10 Insgesamt 1 28.046.200 28.275.100 28.280.500 28.271.300 27.976.208 27.691.475 558.652 2,0 -228.900 -0,8 Land-, Forstwirtschaft und Fischerei A 2 192.700 210.900 219.600 226.100 220.191 216.977 1.945 1,0 -18.200 -8,6 Bergbau, Energie- u. Wasser- versorg., Entsorgungswirtschaft B, D, E 3 550.800 559.100 558.800 558.900 556.179 551.935 1.566 0,3 -8.300 -1,5 Verarbeitendes Gewerbe C 4 6.335.400 6.355.200 6.348.700 6.356.500 6.298.293 6.258.792 36.034 0,6 -19.800 -0,3 Baugewerbe F 5 1.578.900 1.650.400 1.658.200 1.660.200 1.638.768 1.608.669 27.993 1,8 -71.500 -4,3 Handel, Instand- haltung, Rep. von Kfz G 6 4.096.900 4.113.600 4.109.900 4.100.300 4.061.084 4.002.000 46.194 1,1 -16.700 -0,4 Verkehr und Lagerei H 7 1.429.900 1.439.500 1.436.300 1.435.200 1.422.269 1.411.208 36.670 2,6 -9.600 -0,7 Gastgewerbe I 8 825.900 829.400 849.200 863.900 859.532 845.873 19.070 2,4 -3.500 -0,4 Information und Kommunikation J 9 832.200 835.600 832.700 829.400 824.013 819.115 8.695 1,1 -3.400 -0,4 Erbr. von Finanz- u. Versicherungsdienstl. K 10 1.011.500 1.013.300 1.015.200 1.015.900 1.009.527 997.252 -837 -0,1 -1.800 -0,2 Wirtschaftliche Dienstleistungen L, M, N 11 3.703.700 3.760.600 3.744.000 3.749.900 3.706.444 3.648.536 280.622 8,2 -56.900 -1,5 darunter (Z. 11) 782, Arbeitnehmerüberlassung 783 12 741.100 778.000 767.300 766.500 751.717 732.468 188.083 34,0 -36.900 -4,7 Öffentl. Verw., Verteidigung, Soz.-vers., Ext.Orga. O, U 13 1.705.600 1.705.000 1.710.400 1.712.700 1.701.280 1.692.784 -6.681 -0,4 600 0,0 Erziehung und Unterricht P 14 1.120.700 1.122.600 1.116.500 1.106.800 1.077.670 1.076.207 200 0,0 -1.900 -0,2 Gesundheits- und Sozialwesen Q 15 3.574.300 3.578.100 3.575.600 3.546.400 3.504.504 3.474.216 117.457 3,4 -3.800 -0,1 sonst. Dienstleistungen, Private Haushalte R, S, T 16 1.084.600 1.098.700 1.102.200 1.105.600 1.093.597 1.084.987 -9.982 -0,9 -14.100 -1,3 nicht Zugeordnete 17 3.100 3.100 3.200 3.500 2.857 2.924 -294 x 0 x Datenstand: Februar 2011 © Statistik der Bundesagentur für Arbeit vorläufige Ergebnisse Quelle: Statistik der Bundesagentur für Arbeit 51
  • 52.
    Tabellenanhang zum Monatsbericht Februar 2011 4.1 Bestand an Kurzarbeitern Deutschland, West- und Ostdeutschland Februar 2011 Endgültige Angaben zur realisierten Kurzarbeit liegen erst mit einer Wartezeit von 5 Monaten vor Bestand an Kurzarbeitern 2) Deutschland Westdeutschland Ostdeutschland Veränderung zum Veränderung zum Jahr / Monat Veränderung zum Insgesamt Insgesamt Vorjahr / Insgesamt Vorjahr / Vorjahr / Vorjahresmonat Vorjahresmonat Vorjahresmonat absolut in % absolut in % absolut in % 1 2 3 4 5 6 7 8 9 1) Jahr 2006 66.981 -58.525 -46,6 54.090 -46.719 -46,3 12.890 -11.806 -47,8 Jahr 20071) 68.317 1.336 2,0 51.902 -2.188 -4,0 16.414 3.524 27,3 1) Jahr 2008 101.540 33.224 48,6 80.168 28.265 54,5 21.373 4.959 30,2 1) Jahr 2009 1.144.407 1.042.867 x 987.781 907.613 x 150.784 129.411 x 2008 Januar 137.759 11.502 9,1 100.895 7.975 8,6 36.864 3.527 10,6 Februar 161.090 12.654 8,5 118.958 11.315 10,5 42.132 1.339 3,3 März 155.523 11.578 8,0 113.564 9.367 9,0 41.959 2.211 5,6 April 59.066 8.042 15,8 46.727 5.711 13,9 12.339 2.331 23,3 Mai 50.973 2.665 5,5 40.544 1.975 5,1 10.429 690 7,1 Juni 50.411 4.154 9,0 40.439 3.985 10,9 9.972 169 1,7 Juli 42.694 3.349 8,5 34.780 3.510 11,2 7.914 -158 -2,0 August 39.416 7.074 21,9 32.506 7.067 27,8 6.910 10 0,1 September 49.965 16.307 48,4 42.043 14.589 53,1 7.922 1.718 27,7 Oktober 70.983 35.196 98,3 58.921 29.165 98,0 12.062 6.031 100,0 November 130.133 93.473 255,0 109.947 79.793 264,6 20.186 13.680 210,3 Dezember 270.472 192.690 247,7 222.690 164.733 284,2 47.782 27.957 141,0 2009 Januar 593.597 455.838 x 482.238 381.343 x 105.799 68.935 x Februar 1.079.068 917.978 x 910.221 791.263 x 161.891 119.759 x März 1.324.877 1.169.354 x 1.130.690 1.017.126 x 186.021 144.062 x April 1.446.417 1.387.351 x 1.265.078 1.218.351 x 172.009 159.670 x Mai 1.468.809 1.417.836 x 1.286.057 1.245.513 x 174.118 163.689 x Juni 1.393.655 1.343.244 x 1.218.921 1.178.482 x 167.263 157.291 x Juli 1.247.843 1.205.149 x 1.088.019 1.053.239 x 154.220 146.306 x August 1.054.846 1.015.430 x 902.142 869.636 x 147.704 140.794 x September 1.104.061 1.054.096 x 958.175 916.132 x 141.822 133.900 x Oktober 1.109.091 1.038.108 x 965.789 906.868 x 139.774 127.712 x November 981.782 851.649 x 854.682 744.735 x 124.041 103.855 x Dezember 928.843 658.371 x 791.355 568.665 x 134.745 86.963 x 2010 Januar 1.056.942 463.345 78,1 877.583 395.345 82,0 177.013 71.214 67,3 Februar 1.030.831 -48.237 -4,5 845.456 -64.765 -7,1 183.077 21.186 13,1 März 874.346 -450.531 -34,0 712.687 -418.003 -37,0 159.909 -26.112 -14,0 April 632.008 -814.409 -56,3 529.942 -735.136 -58,1 100.696 -71.313 -41,5 Mai 498.934 -969.875 -66,0 415.582 -870.475 -67,7 82.658 -91.460 -52,5 Juni 419.515 -974.140 -69,9 348.104 -870.817 -71,4 70.906 -96.357 -57,6 Juli 313.087 -934.756 -74,9 256.847 -831.172 -76,4 55.751 -98.469 -63,8 August 243.736 -811.110 -76,9 194.698 -707.444 -78,4 48.973 -98.731 -66,8 September … . . … . . … . . Oktober … . . … . . … . . November … . . … . . … . . Dezember … . . … . . … . . Datenstand: Februar 2011 © Statistik der Bundesagentur für Arbeit Quelle: Statistik der Bundesagentur für Arbeit 1) Jahresdurchschnittswerte 2) die Werte für Deutschland beinhalten auch die Fälle, die in politischer Gliederung nicht differenziert werden können Hinweis: Die Kurzarbeiterstatistik basiert für die Zeiträume bis Dezember 2008 auf gesonderten Betriebsmedlungen für statistische Zwecke. Die Daten ab Januar 2009 wurden im Rahmen der neuen Kurzarbeiterstatistik ermittelt, die auf Auswertungen aus den von den Betrieben eingereichten Abrechnungslisten über realisierte Kurzarbeit in zurück liegenden Monaten beruht. Methodisch bedingt gibt es vor allem bei regional und branchenmäßig tiefer gegliederten Statistiken Abweichungen zwischen beiden Verfahren, das neue Auswerteverfahren bietet eine höhere Sicherheit. 52
  • 53.
    Tabellenanhang zum Monatsbericht Februar 2011 4.2 Anzeigen über Kurzarbeit und Anzahl betroffener Personen Deutschland Februar 2011 davon: in den davon: Eingegangene wirtschaftlich Transfer- Anzeigen wirtschaftlich Transfer- Anzeigen bedingte Kurzarbeiter- genannte bedingte Kurzarbeiter- Berichtsmonate über Kurzarbeit geld Personen- Kurzarbeit geld Kurzarbeit § 170 / § 175 § 216 b zahl § 170 / § 175 § 216 b 1 2 3 4 5 6 Jahr 2007 2) 3.479 3.374 105 34.327 31.477 2.849 Jahr 2008 2) 4.433 4.311 122 74.870 71.946 2.924 Jahr 2009 2) 13.536 13.341 195 302.226 296.508 5.718 Jahr 2010 2) 5.766 5.591 174 67.055 63.986 3.069 2009 Januar 17.032 16.933 99 352.464 347.549 4.915 Februar 19.103 18.989 114 742.178 738.361 3.817 März 24.566 24.431 135 688.898 684.094 4.804 April 19.261 19.109 152 462.813 455.279 7.534 Mai 14.633 14.474 159 298.158 293.905 4.253 Juni 12.086 11.930 156 204.608 199.313 5.295 Juli 9.902 9.461 441 170.204 160.409 9.795 August 6.158 5.959 199 106.624 101.057 5.567 September 6.365 6.174 191 119.019 113.947 5.072 Oktober 6.834 6.583 251 103.350 97.739 5.611 November 10.379 10.173 206 152.522 146.092 6.430 Dezember 16.116 15.880 236 225.873 220.353 5.520 2010 Januar 13.324 13.081 243 129.634 124.492 5.142 Februar 9.898 9.703 195 96.458 92.499 3.959 März 6.097 5.893 204 67.311 63.750 3.561 April 4.213 4.041 172 55.566 51.831 3.735 Mai 2.995 2.788 207 37.018 33.775 3.243 Juni 2.717 2.543 174 32.172 28.937 3.235 Juli 2.296 2.107 189 29.586 27.427 2.159 August 1.895 1.754 141 29.378 27.361 2.017 September 1.988 1.866 122 30.740 28.870 1.870 Oktober 2.544 2.390 154 45.396 42.425 2.971 November 7.223 7.096 127 94.316 92.115 2.201 Dezember 13.996 13.831 165 157.082 154.349 2.733 2011 Januar 6.906 6.768 138 68.184 66.122 2.062 Februar … … … … … … März April Mai Juni Juli August September Oktober November Dezember Datenstand: Februar 2011 © Statistik der Bundesagentur für Arbeit Quelle: Statistik der Bundesagentur für Arbeit 2) Monatsdurchschnittswerte 53
  • 54.
    Tabellenanhang zu Monatsbericht Februar 2011 5.1 Bestand an Arbeitslosen und Arbeitslosenquoten Deutschland Februar 2011 Bestand an Arbeitslosen Arbeitslosenquoten Saisonbereinigte Werte Veränderung gegenüber auf Basis Arbeits- absolut losenquoten Vorjahr Jahr / Monat Anzahl Vormonat aller zivilen abhängiger in auf Basis Vorjahresmonat EP2) ziviler EP3) Tausend absolut in% absolut in % aller ziv. EP2) 1 2 3 4 5 6 7 8 9 Jahr 20071) 3.776.509 -710.796 -15,8 . . 9,0 10,1 x x Jahr 20081) 3.267.907 -508.601 -13,5 . . 7,8 8,7 x x Jahr 20091) 3.423.283 155.376 4,8 . . 8,2 9,1 x x Jahr 20101) 3.244.470 -178.813 -5,2 . . 7,7 8,6 x x 2009 Januar 3.488.801 -170.515 -4,7 386.735 12,5 8,3 9,3 3.270 7,8 Februar 3.551.911 -65.507 -1,8 63.110 1,8 8,5 9,5 3.309 7,9 März 3.585.784 78.401 2,2 33.873 1,0 8,6 9,6 3.382 8,1 April 3.584.798 170.917 5,0 -986 -0,0 8,6 9,6 3.464 8,3 Mai 3.458.104 174.870 5,3 -126.694 -3,5 8,2 9,2 3.471 8,2 Juni 3.410.036 250.267 7,9 -48.068 -1,4 8,1 9,1 3.493 8,3 Juli 3.462.446 252.459 7,9 52.410 1,5 8,2 9,2 3.485 8,3 August 3.471.513 275.832 8,6 9.067 0,3 8,3 9,3 3.479 8,3 September 3.346.459 265.622 8,6 -125.054 -3,6 8,0 8,9 3.475 8,3 Oktober 3.228.625 231.733 7,7 -117.834 -3,5 7,7 8,6 3.440 8,2 November 3.215.393 226.968 7,6 -13.232 -0,4 7,6 8,6 3.433 8,2 Dezember 3.275.526 173.460 5,6 60.133 1,9 7,8 8,7 3.404 8,1 2010 Januar 3.617.485 128.684 3,7 341.959 10,4 8,6 9,6 3.388 8,1 Februar 3.643.381 91.470 2,6 25.896 0,7 8,7 9,7 3.390 8,1 März 3.567.944 -17.840 -0,5 -75.437 -2,1 8,5 9,5 3.355 8,0 April 3.406.344 -178.454 -5,0 -161.600 -4,5 8,1 9,1 3.290 7,8 Mai 3.241.529 -216.575 -6,3 -164.815 -4,8 7,7 8,6 3.255 7,7 Juni 3.153.300 -256.736 -7,5 -88.229 -2,7 7,5 8,4 3.233 7,7 Juli 3.191.800 -270.646 -7,8 38.500 1,2 7,6 8,5 3.214 7,6 August 3.188.122 -283.391 -8,2 -3.678 -0,1 7,6 8,5 3.197 7,6 September 3.031.354 -315.105 -9,4 -156.768 -4,9 7,2 8,1 3.159 7,5 Oktober 2.945.491 -283.134 -8,8 -85.863 -2,8 7,0 7,8 3.155 7,5 November 2.931.170 -284.223 -8,8 -14.321 -0,5 7,0 7,8 3.144 7,5 Dezember 3.015.715 -259.811 -7,9 84.545 2,9 7,2 8,0 3.139 7,5 2011 Januar 3.349.788 -267.697 -7,4 334.073 11,1 8,0 8,9 3.121 7,4 Februar 3.317.099 -326.282 -9,0 -32.689 -1,0 7,9 8,8 3.069 7,3 März April Mai Juni Juli August September Oktober November Dezember Datenstand: Februar 2011 © Statistik der Bundesagentur für Arbeit Quelle: Statistik der Bundesagentur für Arbeit , saisonbereinigte Werte: Institut für Arbeitsmarkt- und Berufsforschung 1) Jahresdurchschnittswerte 2) Arbeitslose in % aller zivilen Erwerbspersonen (abhäng. zivile Erwerbspersonen sowie Selbständige und mithelfende Familienangehörige). 3) Arbeitslose in % der abhängigen zivilen Erwerbspersonen (voll sozialversicherungspflichtig und geringfügig Beschäftigte, Beamte, Arbeitslose). 54
  • 55.
    Tabellenanhang zu Monatsbericht Februar 2011 5.2 Bestand an Arbeitslosen und Arbeitslosenquoten Westdeutschland Februar 2011 Bestand an Arbeitslosen Arbeitslosenquoten Saisonbereinigte Werte Veränderung gegenüber auf Basis Arbeits- absolut losenquoten Vorjahr Jahr / Monat Anzahl Vormonat aller zivilen abhängiger in auf Basis Vorjahresmonat EP2) ziviler EP3) Tausend absolut in% absolut in % aller ziv. EP2) 1 2 3 4 5 6 7 8 9 Jahr 20071) 2.485.871 -521.287 -17,3 . . 7,5 8,4 x x Jahr 20081) 2.144.651 -341.220 -13,7 . . 6,4 7,2 x x Jahr 20091) 2.320.209 175.558 8,2 . . 6,9 7,8 x x Jahr 20101) 2.231.694 -88.515 -3,8 . . 6,6 7,4 x x 2009 Januar 2.306.457 -76.412 -3,2 247.504 12,0 6,9 7,8 2.174 6,5 Februar 2.347.936 633 0,0 41.479 1,8 7,0 7,9 2.207 6,6 März 2.378.890 107.579 4,7 30.954 1,3 7,1 8,0 2.267 6,8 April 2.399.548 183.557 8,3 20.658 0,9 7,2 8,1 2.336 7,0 Mai 2.333.878 194.020 9,1 -65.670 -2,7 6,9 7,8 2.351 7,0 Juni 2.318.630 245.138 11,8 -15.248 -0,7 6,9 7,7 2.370 7,1 Juli 2.368.217 247.976 11,7 49.587 2,1 7,0 7,9 2.370 7,1 August 2.389.445 280.596 13,3 21.228 0,9 7,1 8,0 2.376 7,1 September 2.306.730 264.932 13,0 -82.715 -3,5 6,9 7,7 2.377 7,1 Oktober 2.228.931 239.076 12,0 -77.799 -3,4 6,6 7,4 2.355 7,0 November 2.215.665 230.368 11,6 -13.266 -0,6 6,6 7,4 2.349 7,0 Dezember 2.248.181 189.228 9,2 32.516 1,5 6,7 7,5 2.334 6,9 2010 Januar 2.469.537 163.080 7,1 221.356 9,8 7,4 8,3 2.328 6,9 Februar 2.481.773 133.837 5,7 12.236 0,5 7,4 8,3 2.332 6,9 März 2.427.824 48.934 2,1 -53.949 -2,2 7,2 8,1 2.308 6,9 April 2.329.292 -70.256 -2,9 -98.532 -4,1 6,9 7,8 2.267 6,7 Mai 2.224.034 -109.844 -4,7 -105.258 -4,5 6,6 7,4 2.241 6,7 Juni 2.175.640 -142.990 -6,2 -48.394 -2,2 6,5 7,2 2.225 6,6 Juli 2.208.891 -159.326 -6,7 33.251 1,5 6,6 7,3 2.211 6,6 August 2.218.670 -170.775 -7,1 9.779 0,4 6,6 7,4 2.205 6,5 September 2.103.772 -202.958 -8,8 -114.898 -5,2 6,2 7,0 2.174 6,5 Oktober 2.043.457 -185.474 -8,3 -60.315 -2,9 6,1 6,8 2.169 6,4 November 2.029.525 -186.140 -8,4 -13.932 -0,7 6,0 6,7 2.161 6,4 Dezember 2.067.916 -180.265 -8,0 38.391 1,9 6,1 6,9 2.151 6,4 2011 Januar 2.274.261 -195.276 -7,9 206.345 10,0 6,8 7,6 2.134 6,3 Februar 2.241.537 -240.236 -9,7 -32.724 -1,4 6,7 7,5 2.095 6,2 März April Mai Juni Juli August September Oktober November Dezember Datenstand: Februar 2011 © Statistik der Bundesagentur für Arbeit Quelle: Statistik der Bundesagentur für Arbeit , saisonbereinigte Werte: Institut für Arbeitsmarkt- und Berufsforschung 1) Jahresdurchschnittswerte 2) Arbeitslose in % aller zivilen Erwerbspersonen (abhäng. zivile Erwerbspersonen sowie Selbständige und mithelfende Familienangehörige). 3) Arbeitslose in % der abhängigen zivilen Erwerbspersonen (voll sozialversicherungspflichtig und geringfügig Beschäftigte, Beamte, Arbeitslose). 55
  • 56.
    Tabellenanhang zu Monatsbericht Februar 2011 5.3 Bestand an Arbeitslosen und Arbeitslosenquoten Ostdeutschland Februar 2011 Bestand an Arbeitslosen Arbeitslosenquoten Saisonbereinigte Werte Veränderung gegenüber auf Basis Arbeits- absolut losenquoten Vorjahr Jahr / Monat Anzahl Vormonat aller zivilen abhängiger in auf Basis Vorjahresmonat EP2) ziviler EP3) Tausend absolut in% absolut in % aller ziv. EP2) 1 2 3 4 5 6 7 8 9 Jahr 20071) 1.290.637 -189.509 -12,8 . . 15,1 16,8 x x Jahr 20081) 1.123.256 -167.381 -13,0 . . 13,1 14,7 x x Jahr 20091) 1.103.074 -20.182 -1,8 . . 13,0 14,5 x x Jahr 20101) 1.012.775 -90.299 -8,2 . . 12,0 13,4 x x 2009 Januar 1.182.344 -94.103 -7,4 139.231 13,3 13,9 15,5 1.096 12,9 Februar 1.203.975 -66.140 -5,2 21.631 1,8 14,1 15,8 1.102 12,9 März 1.206.894 -29.178 -2,4 2.919 0,2 14,2 15,8 1.115 13,1 April 1.185.250 -12.640 -1,1 -21.644 -1,8 13,9 15,5 1.128 13,2 Mai 1.124.226 -19.150 -1,7 -61.024 -5,1 13,3 14,8 1.120 13,2 Juni 1.091.406 5.129 0,5 -32.820 -2,9 12,9 14,4 1.123 13,3 Juli 1.094.229 4.483 0,4 2.823 0,3 12,9 14,4 1.115 13,2 August 1.082.068 -4.764 -0,4 -12.161 -1,1 12,8 14,3 1.103 13,0 September 1.039.729 690 0,1 -42.339 -3,9 12,3 13,7 1.098 13,0 Oktober 999.694 -7.343 -0,7 -40.035 -3,9 11,8 13,2 1.085 12,8 November 999.728 -3.400 -0,3 34 0,0 11,8 13,2 1.084 12,8 Dezember 1.027.345 -15.768 -1,5 27.617 2,8 12,1 13,5 1.070 12,6 2010 Januar 1.147.948 -34.396 -2,9 120.603 11,7 13,5 15,1 1.060 12,5 Februar 1.161.608 -42.367 -3,5 13.660 1,2 13,7 15,3 1.058 12,5 März 1.140.120 -66.774 -5,5 -21.488 -1,8 13,5 15,0 1.047 12,4 April 1.077.052 -108.198 -9,1 -63.068 -5,5 12,7 14,2 1.023 12,1 Mai 1.017.495 -106.731 -9,5 -59.557 -5,5 12,1 13,5 1.014 12,0 Juni 977.660 -113.746 -10,4 -39.835 -3,9 11,6 12,9 1.008 11,9 Juli 982.909 -111.320 -10,2 5.249 0,5 11,6 13,0 1.003 11,9 August 969.452 -112.616 -10,4 -13.457 -1,4 11,5 12,8 992 11,8 September 927.582 -112.147 -10,8 -41.870 -4,3 11,0 12,3 985 11,7 Oktober 902.034 -97.660 -9,8 -25.548 -2,8 10,7 11,9 986 11,7 November 901.645 -98.083 -9,8 -389 -0,0 10,7 11,9 983 11,6 Dezember 947.799 -79.546 -7,7 46.154 5,1 11,2 12,5 988 11,7 2011 Januar 1.075.527 -72.421 -6,3 127.728 13,5 12,7 14,2 987 11,7 Februar 1.075.562 -86.046 -7,4 35 0,0 12,7 14,2 974 11,5 März April Mai Juni Juli August September Oktober November Dezember Datenstand: Februar 2011 © Statistik der Bundesagentur für Arbeit Quelle: Statistik der Bundesagentur für Arbeit , saisonbereinigte Werte: Institut für Arbeitsmarkt- und Berufsforschung 1) Jahresdurchschnittswerte 2) Arbeitslose in % aller zivilen Erwerbspersonen (abhäng. zivile Erwerbspersonen sowie Selbständige und mithelfende Familienangehörige). 3) Arbeitslose in % der abhängigen zivilen Erwerbspersonen (voll sozialversicherungspflichtig und geringfügig Beschäftigte, Beamte, Arbeitslose). 56
  • 57.
    Tabellenanhang zum Monatsbericht Februar 2011 5.4 Arbeitslose nach Rechtskreisen - Eckwerte - Deutschland Februar 2011 Arbeitslose nach Rechtskreisen 2011 2010 Veränderung gegenüber Vorjahresmonat Merkmal (Arbeitslosenquote Vorjahreswerte) Februar Januar Dezember November Februar Januar Dezember absolut in % in % in % 1 2 3 4 5 6 7 8 SGB III und SGB II Arbeitslose - Bestand 3.317.099 3.349.788 3.015.715 2.931.170 -326.282 -9,0 -7,4 -7,9 dar.: 55,4% Männer 1.838.493 1.855.463 1.619.453 1.541.374 -238.432 -11,5 -9,2 -9,8 44,6% Frauen 1.478.606 1.494.325 1.396.262 1.389.796 -87.850 -5,6 -5,0 -5,6 9,5% 15 bis unter 25 Jahre 315.113 305.301 265.942 262.404 -67.855 -17,7 -15,5 -17,4 1,5% dar.: 15 bis unter 20 Jahre 48.996 47.763 44.893 45.324 -10.613 -17,8 -16,7 -18,7 30,5% 50 Jahre bis unter 65 Jahre 1.010.606 1.022.600 921.891 890.634 12.198 1,2 2,9 2,2 17,6% dar.: 55 Jahre bis unter 65 Jahre 585.357 591.026 536.443 519.405 30.670 5,5 7,4 7,3 15,2% Ausländer 503.869 509.927 474.363 468.200 -37.830 -7,0 -6,2 -6,5 84,7% Deutsche 2.809.094 2.835.616 2.537.379 2.458.872 -286.161 -9,2 -7,5 -8,2 5,7%schwerbehinderte Menschen1) 188.114 189.431 176.595 173.563 10.176 5,7 6,6 6,1 Arbeitslosenquote bezogen auf - alle zivilen Erwerbspersonen insgesamt 7,9 8,0 7,2 7,0 8,7 - 8,6 7,8 Männer 8,2 8,3 7,2 6,9 9,3 - 9,1 8,0 Frauen 7,5 7,6 7,1 7,0 8,0 - 8,0 7,5 15 bis unter 25 Jahre 6,6 6,4 5,6 5,5 7,9 - 7,5 6,7 15 bis unter 20 Jahre 3,4 3,4 3,2 3,2 4,0 - 3,8 3,7 50 Jahre bis unter 65 Jahre 9,0 9,1 8,2 8,0 9,3 - 9,2 8,4 55 Jahre bis unter 65 Jahre 9,6 9,7 8,8 8,5 9,5 - 9,5 8,6 Ausländer 15,8 15,9 14,8 14,6 17,1 - 17,2 16,1 Deutsche 7,2 7,3 6,5 6,3 8,0 - 7,9 7,1 - abhängige zivile Erwerbspersonen insgesamt 8,8 8,9 8,0 7,8 9,7 - 9,6 8,7 SGB III Arbeitslose - Bestand 1.108.571 1.146.672 949.576 903.605 -251.759 -18,5 -14,6 -14,5 dar.: 57,7% Männer 640.090 663.365 511.653 463.785 -189.681 -22,9 -17,9 -19,0 42,3% Frauen 468.481 483.307 437.923 439.820 -62.078 -11,7 -9,5 -8,6 13,0% 15 bis unter 25 Jahre 143.992 137.566 110.296 108.376 -50.635 -26,0 -22,0 -24,7 1,4% dar.: 15 bis unter 20 Jahre 15.896 14.738 13.163 13.313 -6.743 -29,8 -25,8 -27,2 38,7% 50 Jahre bis unter 65 Jahre 429.400 442.628 387.437 373.886 -16.487 -3,7 0,7 3,6 27,0% dar.: 55 Jahre bis unter 65 Jahre 299.337 306.278 275.725 268.971 8.799 3,0 7,4 11,2 9,2% Ausländer 102.171 106.036 90.826 87.529 -26.297 -20,5 -18,4 -19,3 90,7% Deutsche 1.005.978 1.040.192 858.401 815.696 -225.123 -18,3 -14,1 -13,9 7,0% schwerbehinderte Menschen1) 77.678 79.359 73.802 73.143 2.326 3,1 5,9 8,5 Anteil an SGB III und SGB II - Bestand 33,4 34,2 31,5 30,8 x x x x dar.: Männer 34,8 35,8 31,6 30,1 x x x x Frauen 31,7 32,3 31,4 31,6 x x x x 15 bis unter 25 Jahre 45,7 45,1 41,5 41,3 x x x x dar.: 15 bis unter 20 Jahre 32,4 30,9 29,3 29,4 x x x x 50 Jahre bis unter 65 Jahre 42,5 43,3 42,0 42,0 x x x x dar.: 55 Jahre bis unter 65 Jahre 51,1 51,8 51,4 51,8 x x x x Ausländer 20,3 20,8 19,1 18,7 x x x x Deutsche 35,8 36,7 33,8 33,2 x x x x schwerbehinderte Menschen 41,3 41,9 41,8 42,1 x x x x anteilige Arbeitslosenquoten - alle zivilen Erwerbspersonen insgesamt 2,6 2,7 2,3 2,1 3,2 - 3,2 2,6 - abhängige zivile Erwerbspersonen insgesamt 2,9 3,0 2,5 2,4 3,6 - 3,6 3,0 SGB II Arbeitslose - Bestand 2.208.528 2.203.116 2.066.139 2.027.565 -74.523 -3,3 -3,2 -4,6 dar.: 54,3% Männer 1.198.403 1.192.098 1.107.800 1.077.589 -48.751 -3,9 -3,5 -4,8 45,7% Frauen 1.010.125 1.011.018 958.339 949.976 -25.772 -2,5 -2,8 -4,2 7,7% 15 bis unter 25 Jahre 171.121 167.735 155.646 154.028 -17.220 -9,1 -9,4 -11,2 1,5% dar.: 15 bis unter 20 Jahre 33.100 33.025 31.730 32.011 -3.870 -10,5 -11,8 -14,6 26,3% 50 Jahre bis unter 65 Jahre 581.206 579.972 534.454 516.748 28.685 5,2 4,7 1,2 13,0% dar.: 55 Jahre bis unter 65 Jahre 286.020 284.748 260.718 250.434 21.871 8,3 7,4 3,4 18,2% Ausländer 401.698 403.891 383.537 380.671 -11.533 -2,8 -2,4 -2,9 81,6% Deutsche 1.803.116 1.795.424 1.678.978 1.643.176 -61.038 -3,3 -3,2 -4,9 5,0% schwerbehinderte Menschen1) 110.436 110.072 102.793 100.420 7.850 7,7 7,1 4,4 Anteil an SGB III und SGB II - Bestand 66,6 65,8 68,5 69,2 x x x x dar.: Männer 65,2 64,2 68,4 69,9 x x x x Frauen 68,3 67,7 68,6 68,4 x x x x 15 bis unter 25 Jahre 54,3 54,9 58,5 58,7 x x x x dar.: 15 bis unter 20 Jahre 67,6 69,1 70,7 70,6 x x x x 50 Jahre bis unter 65 Jahre 57,5 56,7 58,0 58,0 x x x x dar.: 55 Jahre bis unter 65 Jahre 48,9 48,2 48,6 48,2 x x x x Ausländer 79,7 79,2 80,9 81,3 x x x x Deutsche 64,2 63,3 66,2 66,8 x x x x schwerbehinderte Menschen 58,7 58,1 58,2 57,9 x x x x anteilige Arbeitslosenquoten - alle zivilen Erwerbspersonen insgesamt 5,2 5,2 4,9 4,8 5,4 - 5,4 5,1 - abhängige zivile Erwerbspersonen insgesamt 5,9 5,9 5,5 5,4 6,1 - 6,1 5,8 Datenstand: Februar 2011 © Statistik der Bundesagentur für Arbeit Quelle: Statistik der Bundesagentur für Arbeit 1) Ab Januar 2010 werden die bei den Agenturen für Arbeit und ARGEn erfassten Personen, denen eine Gleichstellung zugesichert wurde, nicht mehr zu den Schwerbehinderten gezählt. Vorjahresvergleiche sind somit nur eingeschränkt möglich. 57
  • 58.
    Tabellenanhang zum Monatsbericht Februar 2011 5.5 Arbeitslose nach Rechtskreisen - Eckwerte - Westdeutschland Februar 2011 Arbeitslose nach Rechtskreisen 2011 2010 Veränderung gegenüber Vorjahresmonat Merkmal (Arbeitslosenquote Vorjahreswerte) Februar Januar Dezember November Februar Januar Dezember absolut in % in % in % 1 2 3 4 5 6 7 8 SGB III und SGB II Arbeitslose - Bestand 2.241.537 2.274.261 2.067.916 2.029.525 -240.236 -9,7 -7,9 -8,0 dar.: 54,9% Männer 1.231.494 1.248.870 1.102.961 1.062.888 -177.452 -12,6 -10,2 -10,4 45,1% Frauen 1.010.043 1.025.391 964.955 966.637 -62.784 -5,9 -4,9 -5,1 9,6% 15 bis unter 25 Jahre 215.209 208.020 180.834 178.595 -48.869 -18,5 -16,0 -17,7 1,6% dar.: 15 bis unter 20 Jahre 36.704 35.845 33.546 33.778 -7.366 -16,7 -15,3 -17,1 29,4% 50 Jahre bis unter 65 Jahre 660.124 672.048 612.960 600.330 10.796 1,7 3,9 3,9 17,2% dar.: 55 Jahre bis unter 65 Jahre 384.450 390.269 357.987 351.175 24.057 6,7 9,2 9,8 19,1% Ausländer 428.981 434.730 404.573 400.362 -36.639 -7,9 -6,9 -7,2 80,7% Deutsche 1.809.278 1.836.152 1.660.142 1.625.850 -202.531 -10,1 -8,1 -8,2 6,2%schwerbehinderte Menschen1) 138.436 140.134 130.902 129.195 8.611 6,6 8,1 7,8 Arbeitslosenquote bezogen auf - alle zivilen Erwerbspersonen insgesamt 6,7 6,8 6,1 6,0 7,4 - 7,4 6,7 Männer 6,9 7,0 6,2 5,9 7,9 - 7,8 6,9 Frauen 6,4 6,5 6,1 6,1 6,8 - 6,9 6,5 15 bis unter 25 Jahre 5,6 5,4 4,7 4,7 6,8 - 6,4 5,7 15 bis unter 20 Jahre 3,1 3,0 2,8 2,8 3,5 - 3,4 3,2 50 Jahre bis unter 65 Jahre 7,5 7,7 7,0 6,8 7,7 - 7,7 7,0 55 Jahre bis unter 65 Jahre 8,0 8,1 7,5 7,3 7,9 - 7,8 7,1 Ausländer 14,8 15,0 14,0 13,8 16,2 - 16,3 15,2 Deutsche 5,9 6,0 5,4 5,3 6,6 - 6,5 5,9 - abhängige zivile Erwerbspersonen insgesamt 7,5 7,6 6,9 6,7 8,3 - 8,3 7,5 SGB III Arbeitslose - Bestand 790.877 818.704 691.325 663.638 -197.040 -19,9 -16,3 -16,0 dar.: 57,7% Männer 455.981 472.729 376.400 347.188 -147.786 -24,5 -20,1 -20,8 42,3% Frauen 334.896 345.975 314.925 316.450 -49.254 -12,8 -10,7 -9,6 13,5% 15 bis unter 25 Jahre 106.557 100.839 81.090 79.291 -39.498 -27,0 -23,2 -25,6 1,7% dar.: 15 bis unter 20 Jahre 13.058 12.008 10.588 10.625 -4.772 -26,8 -22,8 -23,9 36,9% 50 Jahre bis unter 65 Jahre 291.877 301.782 268.270 261.218 -8.240 -2,7 1,8 5,1 25,7% dar.: 55 Jahre bis unter 65 Jahre 203.641 208.786 190.231 186.846 9.353 4,8 9,4 14,0 11,8% Ausländer 93.545 97.088 83.067 79.966 -25.715 -21,6 -19,5 -20,4 88,1% Deutsche 697.010 721.282 607.984 583.375 -171.026 -19,7 -15,9 -15,4 7,7% schwerbehinderte Menschen1) 60.776 62.247 57.964 57.432 2.369 4,1 7,4 9,9 Anteil an SGB III und SGB II - Bestand 35,3 36,0 33,4 32,7 x x x x dar.: Männer 37,0 37,9 34,1 32,7 x x x x Frauen 33,2 33,7 32,6 32,7 x x x x 15 bis unter 25 Jahre 49,5 48,5 44,8 44,4 x x x x dar.: 15 bis unter 20 Jahre 35,6 33,5 31,6 31,5 x x x x 50 Jahre bis unter 65 Jahre 44,2 44,9 43,8 43,5 x x x x dar.: 55 Jahre bis unter 65 Jahre 53,0 53,5 53,1 53,2 x x x x Ausländer 21,8 22,3 20,5 20,0 x x x x Deutsche 38,5 39,3 36,6 35,9 x x x x schwerbehinderte Menschen 43,9 44,4 44,3 44,5 x x x x anteilige Arbeitslosenquoten - alle zivilen Erwerbspersonen insgesamt 2,3 2,4 2,1 2,0 2,9 - 2,9 2,5 - abhängige zivile Erwerbspersonen insgesamt 2,6 2,7 2,3 2,2 3,3 - 3,3 2,8 SGB II Arbeitslose - Bestand 1.450.660 1.455.557 1.376.591 1.365.887 -43.196 -2,9 -2,4 -3,4 dar.: 53,5% Männer 775.513 776.141 726.561 715.700 -29.666 -3,7 -2,9 -4,0 46,5% Frauen 675.147 679.416 650.030 650.187 -13.530 -2,0 -1,7 -2,7 7,5% 15 bis unter 25 Jahre 108.652 107.181 99.744 99.304 -9.371 -7,9 -7,9 -9,9 1,6% dar.: 15 bis unter 20 Jahre 23.646 23.837 22.958 23.153 -2.594 -9,9 -11,0 -13,6 25,4% 50 Jahre bis unter 65 Jahre 368.247 370.266 344.690 339.112 19.036 5,5 5,7 2,9 12,5% dar.: 55 Jahre bis unter 65 Jahre 180.809 181.483 167.756 164.329 14.704 8,9 8,8 5,4 23,1% Ausländer 335.436 337.642 321.506 320.396 -10.924 -3,2 -2,6 -3,1 76,7% Deutsche 1.112.268 1.114.870 1.052.158 1.042.475 -31.505 -2,8 -2,3 -3,4 5,4% schwerbehinderte Menschen1) 77.660 77.887 72.938 71.763 6.242 8,7 8,8 6,1 Anteil an SGB III und SGB II - Bestand 64,7 64,0 66,6 67,3 x x x x dar.: Männer 63,0 62,1 65,9 67,3 x x x x Frauen 66,8 66,3 67,4 67,3 x x x x 15 bis unter 25 Jahre 50,5 51,5 55,2 55,6 x x x x dar.: 15 bis unter 20 Jahre 64,4 66,5 68,4 68,5 x x x x 50 Jahre bis unter 65 Jahre 55,8 55,1 56,2 56,5 x x x x dar.: 55 Jahre bis unter 65 Jahre 47,0 46,5 46,9 46,8 x x x x Ausländer 78,2 77,7 79,5 80,0 x x x x Deutsche 61,5 60,7 63,4 64,1 x x x x schwerbehinderte Menschen 56,1 55,6 55,7 55,5 x x x x anteilige Arbeitslosenquoten - alle zivilen Erwerbspersonen insgesamt 4,3 4,3 4,1 4,1 4,4 - 4,4 4,2 - abhängige zivile Erwerbspersonen insgesamt 4,8 4,8 4,6 4,5 5,0 - 5,0 4,8 Datenstand: Februar 2011 © Statistik der Bundesagentur für Arbeit Quelle: Statistik der Bundesagentur für Arbeit 1) Ab Januar 2010 werden die bei den Agenturen für Arbeit und ARGEn erfassten Personen, denen eine Gleichstellung zugesichert wurde, nicht mehr zu den Schwerbehinderten gezählt. Vorjahresvergleiche sind somit nur eingeschränkt möglich. 58
  • 59.
    Tabellenanhang zum Monatsbericht Februar 2011 5.6 Arbeitslose nach Rechtskreisen - Eckwerte - Ostdeutschland Februar 2011 Arbeitslose nach Rechtskreisen 2011 2010 Veränderung gegenüber Vorjahresmonat Merkmal (Arbeitslosenquote Vorjahreswerte) Februar Januar Dezember November Februar Januar Dezember absolut in % in % in % 1 2 3 4 5 6 7 8 SGB III und SGB II Arbeitslose - Bestand 1.075.562 1.075.527 947.799 901.645 -86.046 -7,4 -6,3 -7,7 dar.: 56,4% Männer 606.999 606.593 516.492 478.486 -60.980 -9,1 -7,1 -8,5 43,6% Frauen 468.563 468.934 431.307 423.159 -25.066 -5,1 -5,3 -6,8 9,3% 15 bis unter 25 Jahre 99.904 97.281 85.108 83.809 -18.986 -16,0 -14,5 -16,6 1,1% dar.: 15 bis unter 20 Jahre 12.292 11.918 11.347 11.546 -3.247 -20,9 -20,5 -23,1 32,6% 50 Jahre bis unter 65 Jahre 350.482 350.552 308.931 290.304 1.402 0,4 1,1 -0,9 18,7% dar.: 55 Jahre bis unter 65 Jahre 200.907 200.757 178.456 168.230 6.613 3,4 4,2 2,6 7,0% Ausländer 74.888 75.197 69.790 67.838 -1.191 -1,6 -1,7 -2,3 93,0% Deutsche 999.816 999.464 877.237 833.022 -83.630 -7,7 -6,5 -8,1 4,6%schwerbehinderte Menschen1) 49.678 49.297 45.693 44.368 1.565 3,3 2,5 1,5 Arbeitslosenquote bezogen auf - alle zivilen Erwerbspersonen insgesamt 12,7 12,7 11,2 10,7 13,7 - 13,5 12,1 Männer 13,7 13,7 11,7 10,8 15,0 - 14,7 12,7 Frauen 11,7 11,7 10,8 10,6 12,3 - 12,3 11,5 15 bis unter 25 Jahre 11,0 10,7 9,4 9,2 12,5 - 12,0 10,8 15 bis unter 20 Jahre 5,6 5,4 5,2 5,3 6,2 - 6,0 5,9 50 Jahre bis unter 65 Jahre 14,6 14,6 12,9 12,1 15,1 - 15,0 13,4 55 Jahre bis unter 65 Jahre 15,4 15,3 13,6 12,9 15,8 - 15,7 14,2 Ausländer 24,8 24,9 23,1 22,5 26,3 - 26,5 24,7 Deutsche 12,3 12,3 10,8 10,2 13,2 - 13,1 11,7 - abhängige zivile Erwerbspersonen insgesamt 14,2 14,2 12,5 11,9 15,3 - 15,1 13,5 SGB III Arbeitslose - Bestand 317.694 327.968 258.251 239.967 -54.719 -14,7 -9,8 -10,2 dar.: 58,0% Männer 184.109 190.636 135.253 116.597 -41.895 -18,5 -12,2 -13,7 42,0% Frauen 133.585 137.332 122.998 123.370 -12.824 -8,8 -6,3 -5,9 11,8% 15 bis unter 25 Jahre 37.435 36.727 29.206 29.085 -11.137 -22,9 -18,6 -22,2 0,9% dar.: 15 bis unter 20 Jahre 2.838 2.730 2.575 2.688 -1.971 -41,0 -36,8 -38,1 43,3% 50 Jahre bis unter 65 Jahre 137.523 140.846 119.167 112.668 -8.247 -5,7 -1,5 0,4 30,1% dar.: 55 Jahre bis unter 65 Jahre 95.696 97.492 85.494 82.125 -554 -0,6 3,4 5,7 2,7% Ausländer 8.626 8.948 7.759 7.563 -582 -6,3 -3,2 -5,2 97,3% Deutsche 308.968 318.910 250.417 232.321 -54.097 -14,9 -10,0 -10,3 5,3% schwerbehinderte Menschen1) 16.902 17.112 15.838 15.711 -43 -0,3 1,0 3,6 Anteil an SGB III und SGB II - Bestand 29,5 30,5 27,2 26,6 x x x x dar.: Männer 30,3 31,4 26,2 24,4 x x x x Frauen 28,5 29,3 28,5 29,2 x x x x 15 bis unter 25 Jahre 37,5 37,8 34,3 34,7 x x x x dar.: 15 bis unter 20 Jahre 23,1 22,9 22,7 23,3 x x x x 50 Jahre bis unter 65 Jahre 39,2 40,2 38,6 38,8 x x x x dar.: 55 Jahre bis unter 65 Jahre 47,6 48,6 47,9 48,8 x x x x Ausländer 11,5 11,9 11,1 11,1 x x x x Deutsche 30,9 31,9 28,5 27,9 x x x x schwerbehinderte Menschen 34,0 34,7 34,7 35,4 x x x x anteilige Arbeitslosenquoten - alle zivilen Erwerbspersonen insgesamt 3,8 3,9 3,1 2,8 4,4 - 4,3 3,4 - abhängige zivile Erwerbspersonen insgesamt 4,2 4,3 3,4 3,2 4,9 - 4,8 3,8 SGB II Arbeitslose - Bestand 757.868 747.559 689.548 661.678 -31.327 -4,0 -4,7 -6,8 dar.: 55,8% Männer 422.890 415.957 381.239 361.889 -19.085 -4,3 -4,6 -6,5 44,2% Frauen 334.978 331.602 308.309 299.789 -12.242 -3,5 -4,8 -7,2 8,2% 15 bis unter 25 Jahre 62.469 60.554 55.902 54.724 -7.849 -11,2 -11,9 -13,4 1,2% dar.: 15 bis unter 20 Jahre 9.454 9.188 8.772 8.858 -1.276 -11,9 -13,9 -17,2 28,1% 50 Jahre bis unter 65 Jahre 212.959 209.706 189.764 177.636 9.649 4,7 2,9 -1,7 13,9% dar.: 55 Jahre bis unter 65 Jahre 105.211 103.265 92.962 86.105 7.167 7,3 5,0 -0,1 8,7% Ausländer 66.262 66.249 62.031 60.275 -609 -0,9 -1,5 -1,9 91,2% Deutsche 690.848 680.554 626.820 600.701 -29.533 -4,1 -4,8 -7,3 4,3% schwerbehinderte Menschen1) 32.776 32.185 29.855 28.657 1.608 5,2 3,3 0,4 Anteil an SGB III und SGB II - Bestand 70,5 69,5 72,8 73,4 x x x x dar.: Männer 69,7 68,6 73,8 75,6 x x x x Frauen 71,5 70,7 71,5 70,8 x x x x 15 bis unter 25 Jahre 62,5 62,2 65,7 65,3 x x x x dar.: 15 bis unter 20 Jahre 76,9 77,1 77,3 76,7 x x x x 50 Jahre bis unter 65 Jahre 60,8 59,8 61,4 61,2 x x x x dar.: 55 Jahre bis unter 65 Jahre 52,4 51,4 52,1 51,2 x x x x Ausländer 88,5 88,1 88,9 88,9 x x x x Deutsche 69,1 68,1 71,5 72,1 x x x x schwerbehinderte Menschen 66,0 65,3 65,3 64,6 x x x x anteilige Arbeitslosenquoten - alle zivilen Erwerbspersonen insgesamt 9,0 8,9 8,2 7,8 9,3 - 9,3 8,7 - abhängige zivile Erwerbspersonen insgesamt 10,0 9,9 9,1 8,7 10,4 - 10,3 9,8 Datenstand: Februar 2011 © Statistik der Bundesagentur für Arbeit Quelle: Statistik der Bundesagentur für Arbeit 1) Ab Januar 2010 werden die bei den Agenturen für Arbeit und ARGEn erfassten Personen, denen eine Gleichstellung zugesichert wurde, nicht mehr zu den Schwerbehinderten gezählt. Vorjahresvergleiche sind somit nur eingeschränkt möglich. 59
  • 60.
    Tabellenanhang zum Monatsbericht Februar 2011 5.7 Zugang in Arbeitslosigkeit Deutschland, West- und Ostdeutschland Februar 2011 Zugang in Arbeitslosigkeit im Laufe des Berichtsmonats seit Jahresbeginn bis Ende des Berichtsmonats Veränderung Veränderung Herkunftsstruktur / Status vor Meldung gegenüber gegenüber Insgesamt 2011 2010 Vorjahresmonat Vorjahreszeitraum absolut in % absolut in % 1 2 3 4 5 6 7 Deutschland SGB III und SGB II Zugang insgesamt 703.334 -60.408 -7,9 1.637.993 1.738.092 -100.099 -5,8 dav. 39,7% Erwerbstätigkeit (ohne Ausbildung) 279.149 -28.169 -9,2 810.081 839.074 -28.993 -3,5 23,0% Ausbildung und sonstige Maßnahmeteilnahme 162.009 -45.170 -21,8 307.266 394.955 -87.689 -22,2 32,0% Nichterwerbstätigkeit 225.237 11.392 5,3 446.196 432.523 13.673 3,2 5,3% Sonstiges / keine Angabe 36.939 1.539 4,3 74.450 71.540 2.910 4,1 SGB III Zugang insgesamt 307.894 -82.470 -21,1 795.084 950.137 -155.053 -16,3 dav. 55,1% Erwerbstätigkeit (ohne Ausbildung) 169.534 -38.843 -18,6 545.113 608.115 -63.002 -10,4 24,2% Ausbildung und sonstige Maßnahmeteilnahme 74.469 -41.019 -35,5 123.219 206.795 -83.576 -40,4 19,4% Nichterwerbstätigkeit 59.772 -2.430 -3,9 119.077 126.418 -7.341 -5,8 1,3% Sonstiges / keine Angabe 4.119 -178 -4,1 7.675 8.809 -1.134 -12,9 SGB II Zugang insgesamt 395.440 22.062 5,9 842.909 787.955 54.954 7,0 dav. 27,7% Erwerbstätigkeit (ohne Ausbildung) 109.615 10.674 10,8 264.968 230.959 34.009 14,7 22,1% Ausbildung und sonstige Maßnahmeteilnahme 87.540 -4.151 -4,5 184.047 188.160 -4.113 -2,2 41,8% Nichterwerbstätigkeit 165.465 13.822 9,1 327.119 306.105 21.014 6,9 8,3% Sonstiges / keine Angabe 32.820 1.717 5,5 66.775 62.731 4.044 6,4 Westdeutschland SGB III und SGB II Zugang insgesamt 493.167 -44.229 -8,2 1.129.049 1.208.239 -79.190 -6,6 dav. 39,1% Erwerbstätigkeit (ohne Ausbildung) 192.884 -16.910 -8,1 543.661 564.882 -21.221 -3,8 23,6% Ausbildung und sonstige Maßnahmeteilnahme 116.456 -31.989 -21,5 221.490 281.575 -60.085 -21,3 32,6% Nichterwerbstätigkeit 160.970 8.547 5,6 319.813 308.398 11.415 3,7 4,6% Sonstiges / keine Angabe 22.857 -3.877 -14,5 44.085 53.384 -9.299 -17,4 SGB III Zugang insgesamt 230.937 -59.723 -20,5 577.115 693.785 -116.670 -16,8 dav. 54,1% Erwerbstätigkeit (ohne Ausbildung) 124.916 -27.177 -17,9 384.881 433.657 -48.776 -11,2 24,5% Ausbildung und sonstige Maßnahmeteilnahme 56.655 -30.465 -35,0 94.086 155.847 -61.761 -39,6 19,9% Nichterwerbstätigkeit 46.070 -1.894 -3,9 92.004 97.232 -5.228 -5,4 1,4% Sonstiges / keine Angabe 3.296 -187 -5,4 6.144 7.049 -905 -12,8 SGB II Zugang insgesamt 262.230 15.494 6,3 551.934 514.454 37.480 7,3 dav. 25,9% Erwerbstätigkeit (ohne Ausbildung) 67.968 10.267 17,8 158.780 131.225 27.555 21,0 22,8% Ausbildung und sonstige Maßnahmeteilnahme 59.801 -1.524 -2,5 127.404 125.728 1.676 1,3 43,8% Nichterwerbstätigkeit 114.900 10.441 10,0 227.809 211.166 16.643 7,9 7,5% Sonstiges / keine Angabe 19.561 -3.690 -15,9 37.941 46.335 -8.394 -18,1 Ostdeutschland SGB III und SGB II Zugang insgesamt 210.167 -16.179 -7,1 508.944 529.853 -20.909 -3,9 dav. 41,0% Erwerbstätigkeit (ohne Ausbildung) 86.265 -11.259 -11,5 266.420 274.192 -7.772 -2,8 21,7% Ausbildung und sonstige Maßnahmeteilnahme 45.553 -13.181 -22,4 85.776 113.380 -27.604 -24,3 30,6% Nichterwerbstätigkeit 64.267 2.845 4,6 126.383 124.125 2.258 1,8 6,7% Sonstiges / keine Angabe 14.082 5.416 62,5 30.365 18.156 12.209 67,2 SGB III Zugang insgesamt 76.957 -22.747 -22,8 217.969 256.352 -38.383 -15,0 dav. 58,0% Erwerbstätigkeit (ohne Ausbildung) 44.618 -11.666 -20,7 160.232 174.458 -14.226 -8,2 23,1% Ausbildung und sonstige Maßnahmeteilnahme 17.814 -10.554 -37,2 29.133 50.948 -21.815 -42,8 17,8% Nichterwerbstätigkeit 13.702 -536 -3,8 27.073 29.186 -2.113 -7,2 1,1% Sonstiges / keine Angabe 823 9 1,1 1.531 1.760 -229 -13,0 SGB II Zugang insgesamt 133.210 6.568 5,2 290.975 273.501 17.474 6,4 dav. 31,3% Erwerbstätigkeit (ohne Ausbildung) 41.647 407 1,0 106.188 99.734 6.454 6,5 20,8% Ausbildung und sonstige Maßnahmeteilnahme 27.739 -2.627 -8,7 56.643 62.432 -5.789 -9,3 38,0% Nichterwerbstätigkeit 50.565 3.381 7,2 99.310 94.939 4.371 4,6 10,0% Sonstiges / keine Angabe 13.259 5.407 68,9 28.834 16.396 12.438 75,9 Datenstand: Februar 2011 © Statistik der Bundesagentur für Arbeit Quelle: Statistik der Bundesagentur für Arbeit 60
  • 61.
    Tabellenanhang zum Monatsbericht Februar 2011 1) 5.8 Zugang in Arbeitslosigkeit - aus Erwerbstätigkeit am 1. Arbeitsmarkt - nach Wirtschaftszweigen Deutschland Februar 2011 Zugang in Arbeitslosigkeit - aus Erwerbstätigkeit am 1. Arbeitsmarkt nach Wirtschaftszweigen im Laufe des Berichtsmonats seit Jahresbeginn bis Ende des Berichtsmonats Veränderung Veränderung Wirtschaftszweig gegenüber gegenüber Insgesamt 2011 2010 Vorjahresmonat Vorjahreszeitraum absolut in % absolut in % 1 2 3 4 5 6 7 Deutschland Zugang aus Erwerbstätigkeit am 1. Arbeitsmarkt insgesamt 216.412 -30.666 -12,4 651.657 697.861 -46.204 -6,6 A Land- und Forstwirtschaft, Fischerei 2.497 -1.714 -40,7 12.060 14.100 -2.040 -14,5 B, D, E Bergbau, Energie- und Wasser/Entsorgung 2.120 -712 -25,1 7.884 8.612 -728 -8,5 C Verarbeitendes Gewerbe 23.173 -7.850 -25,3 71.920 87.846 -15.926 -18,1 F Baugewerbe 25.016 -9.674 -27,9 107.186 116.524 -9.338 -8,0 G Handel; Instandhalt. u. Rep. v. Kfz 26.408 -2.832 -9,7 72.007 77.905 -5.898 -7,6 H Verkehr und Lagerei 13.111 -2.629 -16,7 39.471 43.437 -3.966 -9,1 I Gastgewerbe 14.394 -1.032 -6,7 42.220 40.903 1.317 3,2 J Information und Kommunikation 4.609 -497 -9,7 12.590 14.601 -2.011 -13,8 K Finanz- u. Versicherungs-DL 1.668 -242 -12,7 5.976 6.828 -852 -12,5 782, 783 Arbeitnehmerüberlassung (ANÜ) 31.513 3.558 12,7 79.179 74.669 4.510 6,0 L, M, N o. ANÜ Wirtschaftsliche Dienstleistung o. ANÜ 23.960 -3.240 -11,9 71.600 78.369 -6.769 -8,6 O, U Öffentl. Verwaltung 3.101 -1.069 -25,6 12.941 12.092 849 7,0 P Erziehung und Unterricht 4.149 -676 -14,0 11.836 11.976 -140 -1,2 Q Gesundheits- und Sozialwesen 11.980 905 8,2 32.478 30.252 2.226 7,4 R, S, T Sonst. Dienstleistungen, Private HH 7.918 -497 -5,9 22.902 22.957 -55 -0,2 Keine Zuordnung möglich 20.795 -2.465 -10,6 49.407 56.790 -7.383 -13,0 Westdeutschland Zugang aus Erwerbstätigkeit am 1. Arbeitsmarkt insgesamt 157.527 -20.098 -11,3 455.442 490.198 -34.756 -7,1 A Land- und Forstwirtschaft, Fischerei 1.203 -1.146 -48,8 5.885 7.109 -1.224 -17,2 B, D, E Bergbau, Energie- und Wasser/Entsorgung 1.452 -434 -23,0 5.104 5.586 -482 -8,6 C Verarbeitendes Gewerbe 17.691 -6.458 -26,7 54.360 67.906 -13.546 -19,9 F Baugewerbe 16.697 -5.299 -24,1 67.319 73.619 -6.300 -8,6 G Handel; Instandhalt. u. Rep. v. Kfz 20.273 -2.344 -10,4 53.811 59.060 -5.249 -8,9 H Verkehr und Lagerei 9.536 -1.827 -16,1 27.117 29.838 -2.721 -9,1 I Gastgewerbe 10.338 -711 -6,4 29.226 28.555 671 2,3 J Information und Kommunikation 3.275 -498 -13,2 8.955 10.796 -1.841 -17,1 K Finanz- u. Versicherungs-DL 1.355 -171 -11,2 4.908 5.591 -683 -12,2 782, 783 Arbeitnehmerüberlassung (ANÜ) 24.026 3.434 16,7 58.422 54.202 4.220 7,8 L, M, N o. ANÜ Wirtschaftsliche Dienstleistung o. ANÜ 17.283 -1.846 -9,7 50.324 55.050 -4.726 -8,6 O, U Öffentl. Verwaltung 2.343 -947 -28,8 9.129 9.081 48 0,5 P Erziehung und Unterricht 2.978 -581 -16,3 8.410 8.363 47 0,6 Q Gesundheits- und Sozialwesen 8.745 527 6,4 23.725 22.226 1.499 6,7 R, S, T Sonst. Dienstleistungen, Private HH 5.824 -316 -5,1 16.426 16.569 -143 -0,9 Keine Zuordnung möglich 14.508 -1.481 -9,3 32.321 36.647 -4.326 -11,8 Ostdeutschland Zugang aus Erwerbstätigkeit am 1. Arbeitsmarkt insgesamt 58.885 -10.568 -15,2 196.215 207.663 -11.448 -5,5 A Land- und Forstwirtschaft, Fischerei 1.294 -568 -30,5 6.175 6.991 -816 -11,7 B, D, E Bergbau, Energie- und Wasser/Entsorgung 668 -278 -29,4 2.780 3.026 -246 -8,1 C Verarbeitendes Gewerbe 5.482 -1.392 -20,3 17.560 19.940 -2.380 -11,9 F Baugewerbe 8.319 -4.375 -34,5 39.867 42.905 -3.038 -7,1 G Handel; Instandhalt. u. Rep. v. Kfz 6.135 -488 -7,4 18.196 18.845 -649 -3,4 H Verkehr und Lagerei 3.575 -802 -18,3 12.354 13.599 -1.245 -9,2 I Gastgewerbe 4.056 -321 -7,3 12.994 12.348 646 5,2 J Information und Kommunikation 1.334 1 0,1 3.635 3.805 -170 -4,5 K Finanz- u. Versicherungs-DL 313 -71 -18,5 1.068 1.237 -169 -13,7 782, 783 Arbeitnehmerüberlassung (ANÜ) 7.487 124 1,7 20.757 20.467 290 1,4 L, M, N o. ANÜ Wirtschaftsliche Dienstleistung o. ANÜ 6.677 -1.394 -17,3 21.276 23.319 -2.043 -8,8 O, U Öffentl. Verwaltung 758 -122 -13,9 3.812 3.011 801 26,6 P Erziehung und Unterricht 1.171 -95 -7,5 3.426 3.613 -187 -5,2 Q Gesundheits- und Sozialwesen 3.235 378 13,2 8.753 8.026 727 9,1 R, S, T Sonst. Dienstleistungen, Private HH 2.094 -181 -8,0 6.476 6.388 88 1,4 Keine Zuordnung möglich 6.287 -984 -13,5 17.086 20.143 -3.057 -15,2 Datenstand: Februar 2011 © Statistik der Bundesagentur für Arbeit Quelle: Statistik der Bundesagentur für Arbeit 1) Daten aus den IT-Systemen der BA, ohne Daten der zugelassenen kommunalen Träger Der erhöhte Anteil an Zugängen, für die keine Zuordnung des Wirtschaftszweiges möglich ist, führt zu einer eingeschränkten Aussagekraft aller Wirtschaftszweige. 61
  • 62.
    Tabellenanhang zum Monatsbericht Februar 2011 5.9 Abgang aus Arbeitslosigkeit Deutschland, West- und Ostdeutschland Februar 2011 Abgang aus Arbeitslosigkeit im Laufe des Berichtsmonats seit Jahresbeginn bis Ende des Berichtsmonats Veränderung Veränderung Herkunftsstruktur / Status vor Meldung gegenüber gegenüber Insgesamt 2011 2010 Vorjahresmonat Vorjahreszeitraum absolut in % absolut in % 1 2 3 4 5 6 7 Deutschland SGB III und SGB II Abgang insgesamt 731.865 -317 0,0 1.328.735 1.359.376 -30.641 -2,3 dav. 34,4% Erwerbstätigkeit (ohne Ausbildung) 251.777 17.042 7,3 464.487 448.970 15.517 3,5 31,8% dar. Beschäftigung 232.767 19.617 9,2 419.760 398.387 21.373 5,4 7,6% - Vermittlung nach Auswahl u. Vorschlag1) 55.682 -5.173 -8,5 99.483 110.514 -11.031 -10,0 20,1% Ausbildung und sonstige Maßnahmeteilnahme 146.982 -39.379 -21,1 248.825 320.081 -71.256 -22,3 37,4% Nichterwerbstätigkeit (ohne Ausbildung) 273.794 14.900 5,8 503.982 489.449 14.533 3,0 8,1% Sonstige Gründe / keine Angabe 59.312 7.120 13,6 111.441 100.876 10.565 10,5 SGB III Abgang insgesamt 322.199 -15.533 -4,6 590.401 633.629 -43.228 -6,8 dav. 49,2% Erwerbstätigkeit (ohne Ausbildung) 158.520 16.546 11,7 293.560 274.629 18.931 6,9 44,5% dar. Beschäftigung 143.308 19.218 15,5 256.892 232.393 24.499 10,5 6,3% - Vermittlung nach Auswahl u. Vorschlag1) 20.297 5.611 38,2 36.218 26.984 9.234 34,2 16,6% Ausbildung und sonstige Maßnahmeteilnahme 53.645 -31.379 -36,9 90.043 148.564 -58.521 -39,4 32,6% Nichterwerbstätigkeit (ohne Ausbildung) 105.059 248 0,2 197.569 199.291 -1.722 -0,9 1,5% Sonstige Gründe / keine Angabe 4.975 -948 -16,0 9.229 11.145 -1.916 -17,2 SGB II Abgang insgesamt 409.666 15.216 3,9 738.334 725.747 12.587 1,7 dav. 22,8% Erwerbstätigkeit (ohne Ausbildung) 93.257 496 0,5 170.927 174.341 -3.414 -2,0 21,8% dar. Beschäftigung 89.459 399 0,4 162.868 165.994 -3.126 -1,9 1) 8,6% - Vermittlung nach Auswahl u. Vorschlag 35.385 -10.784 -23,4 63.265 83.530 -20.265 -24,3 22,8% Ausbildung und sonstige Maßnahmeteilnahme 93.337 -8.000 -7,9 158.782 171.517 -12.735 -7,4 41,2% Nichterwerbstätigkeit (ohne Ausbildung) 168.735 14.652 9,5 306.413 290.158 16.255 5,6 13,3% Sonstige Gründe / keine Angabe 54.337 8.068 17,4 102.212 89.731 12.481 13,9 Westdeutschland SGB III und SGB II Abgang insgesamt 523.016 2.077 0,4 949.867 966.463 -16.596 -1,7 dav. 34,6% Erwerbstätigkeit (ohne Ausbildung) 180.778 16.303 9,9 334.491 315.026 19.465 6,2 31,9% dar. Beschäftigung 166.709 18.416 12,4 301.549 277.734 23.815 8,6 7,3% - Vermittlung nach Auswahl u. Vorschlag1) 38.239 948 2,5 68.242 68.670 -428 -0,6 20,3% Ausbildung und sonstige Maßnahmeteilnahme 106.108 -28.287 -21,0 179.944 230.612 -50.668 -22,0 37,6% Nichterwerbstätigkeit (ohne Ausbildung) 196.461 12.681 6,9 361.566 347.411 14.155 4,1 7,6% Sonstige Gründe / keine Angabe 39.669 1.380 3,6 73.866 73.414 452 0,6 SGB III Abgang insgesamt 241.418 -14.324 -5,6 444.083 479.651 -35.568 -7,4 dav. 48,6% Erwerbstätigkeit (ohne Ausbildung) 117.299 10.906 10,3 218.421 205.523 12.898 6,3 43,8% dar. Beschäftigung 105.729 13.079 14,1 190.672 173.466 17.206 9,9 6,3% - Vermittlung nach Auswahl u. Vorschlag1) 15.280 4.389 40,3 27.070 19.864 7.206 36,3 16,6% Ausbildung und sonstige Maßnahmeteilnahme 40.182 -23.859 -37,3 67.826 112.103 -44.277 -39,5 33,1% Nichterwerbstätigkeit (ohne Ausbildung) 79.897 -773 -1,0 150.372 153.209 -2.837 -1,9 1,7% Sonstige Gründe / keine Angabe 4.040 -598 -12,9 7.464 8.816 -1.352 -15,3 SGB II Abgang insgesamt 281.598 16.401 6,2 505.784 486.812 18.972 3,9 dav. 22,5% Erwerbstätigkeit (ohne Ausbildung) 63.479 5.397 9,3 116.070 109.503 6.567 6,0 21,7% dar. Beschäftigung 60.980 5.337 9,6 110.877 104.268 6.609 6,3 8,2% - Vermittlung nach Auswahl u. Vorschlag1) 22.959 -3.441 -13,0 41.172 48.806 -7.634 -15,6 23,4% Ausbildung und sonstige Maßnahmeteilnahme 65.926 -4.428 -6,3 112.118 118.509 -6.391 -5,4 41,4% Nichterwerbstätigkeit (ohne Ausbildung) 116.564 13.454 13,0 211.194 194.202 16.992 8,7 12,7% Sonstige Gründe / keine Angabe 35.629 1.978 5,9 66.402 64.598 1.804 2,8 Ostdeutschland SGB III und SGB II Abgang insgesamt 208.849 -2.394 -1,1 378.868 392.913 -14.045 -3,6 dav. 34,0% Erwerbstätigkeit (ohne Ausbildung) 70.999 739 1,1 129.996 133.944 -3.948 -2,9 31,6% dar. Beschäftigung 66.058 1.201 1,9 118.211 120.653 -2.442 -2,0 8,4% - Vermittlung nach Auswahl u. Vorschlag1) 17.443 -6.121 -26,0 31.241 41.844 -10.603 -25,3 19,6% Ausbildung und sonstige Maßnahmeteilnahme 40.874 -11.092 -21,3 68.881 89.469 -20.588 -23,0 37,0% Nichterwerbstätigkeit (ohne Ausbildung) 77.333 2.219 3,0 142.416 142.038 378 0,3 9,4% Sonstige Gründe / keine Angabe 19.643 5.740 41,3 37.575 27.462 10.113 36,8 SGB III Abgang insgesamt 80.781 -1.209 -1,5 146.318 153.978 -7.660 -5,0 dav. 51,0% Erwerbstätigkeit (ohne Ausbildung) 41.221 5.640 15,9 75.139 69.106 6.033 8,7 46,5% dar. Beschäftigung 37.579 6.139 19,5 66.220 58.927 7.293 12,4 6,2% - Vermittlung nach Auswahl u. Vorschlag1) 5.017 1.222 32,2 9.148 7.120 2.028 28,5 16,7% Ausbildung und sonstige Maßnahmeteilnahme 13.463 -7.520 -35,8 22.217 36.461 -14.244 -39,1 31,1% Nichterwerbstätigkeit (ohne Ausbildung) 25.162 1.021 4,2 47.197 46.082 1.115 2,4 1,2% Sonstige Gründe / keine Angabe 935 -350 -27,2 1.765 2.329 -564 -24,2 SGB II Abgang insgesamt 128.068 -1.185 -0,9 232.550 238.935 -6.385 -2,7 dav. 23,3% Erwerbstätigkeit (ohne Ausbildung) 29.778 -4.901 -14,1 54.857 64.838 -9.981 -15,4 22,2% dar. Beschäftigung 28.479 -4.938 -14,8 51.991 61.726 -9.735 -15,8 9,7% - Vermittlung nach Auswahl u. Vorschlag1) 12.426 -7.343 -37,1 22.093 34.724 -12.631 -36,4 21,4% Ausbildung und sonstige Maßnahmeteilnahme 27.411 -3.572 -11,5 46.664 53.008 -6.344 -12,0 40,7% Nichterwerbstätigkeit (ohne Ausbildung) 52.171 1.198 2,4 95.219 95.956 -737 -0,8 14,6% Sonstige Gründe / keine Angabe 18.708 6.090 48,3 35.810 25.133 10.677 42,5 Datenstand: Februar 2011 © Statistik der Bundesagentur für Arbeit Quelle: Statistik der Bundesagentur für Arbeit 1) Einschl. PSA, ABM, BSI und Arbeitsgelegenheiten. 62
  • 63.
    Tabellenanhang zum Monatsbericht Februar 2011 5.10 Unterbeschäftigung Deutschland Februar 2011 Deutschland Bestandsdaten Veränderung gegenüber Vorjahresmonat vorläufig endgültig Komponenten der Unterbeschäftigung Februar Januar Dezember November Februar November 2011 2011 2010 2010 absolut in % absolut in % 1 2 3 4 5 6 7 8 Arbeitslosigkeit (nach § 16 SGB III) 3.317.099 3.349.788 3.015.715 2.931.170 -326.282 -9,0 -284.223 -8,8 + Personen, die allein wegen §16 Abs. 2 SGB III und 271.885 257.596 273.812 288.287 -62.104 -18,6 -34.614 -10,7 § 53a Abs. 2 SGB II nicht arbeitslos sind 1) 182.822 170.830 184.480 197.448 -91.158 -33,3 -75.527 -27,7 dav.: Aktivierung und berufliche Eingliederung (§ 46 SGB III) Eignungsfeststellungs- und Trainingsmaßnahmen (Restabwicklung) 1) 2) 531 594 828 928 -2.727 -83,7 -4.403 -82,6 Vorruhestandsähnliche Regelung (Sonderstatus § 53a SGB II) 5) 6) 88.532 86.172 88.504 89.911 31.781 56,0 45.316 101,6 = Arbeitslosigkeit im weiteren Sinne 3.588.984 3.607.384 3.289.527 3.219.457 -388.386 -9,8 -318.837 -9,0 + Personen, die nah am Arbeitslosenstatus 470.259 496.058 567.016 603.850 -124.669 -21,0 -68.789 -10,2 nach § 16 Abs. 1 SGB III sind dar.: Berufliche Weiterbildung 1) 4) 205.751 209.651 220.509 222.065 -318 -0,2 -11.807 -5,0 Arbeitsgelegenheiten 1) 207.610 228.339 286.068 322.629 -84.528 -28,9 -18.514 -5,4 Beschäftigungsphase Bürgerarbeit 2) 443 74 - - 443 x - x Arbeitsbeschaffungsmaßnahmen 1) 1.544 1.621 1.811 2.019 -2.143 -58,1 -4.073 -66,9 1) 22.076 23.502 25.707 27.336 -20.026 -47,6 -13.868 -33,7 Beschäftigungszuschuss Vorruhestandsähnliche Regelung (§ 428 SGB III) 7) 200 231 247 292 -2.104 -91,3 -8.839 -96,8 Arbeitsunfähigkeit (§ 126 SGB III) 7) 8) 32.563 32.563 32.563 29.394 -15.678 -32,5 -11.272 -27,7 = Unterbeschäftigung im engeren Sinne 4.059.243 4.103.442 3.856.543 3.823.307 -513.055 -11,2 -387.626 -9,2 + Personen in Arbeitsmarktpolitik fern vom 228.037 231.324 237.479 241.937 -16.126 -6,6 -556 -0,2 Arbeitslosenstatus nach § 16 Abs. 1 SGB III 1) 131.336 134.542 137.618 141.530 -8.927 -6,4 6.294 4,7 dar.: Gründungszuschuss Einstiegsgeld - Variante: Selbständigkeit 1) 9.025 9.106 9.505 9.879 -2.246 -19,9 -1.854 -15,8 Altersteilzeit 9) 87.676 87.676 90.356 90.528 -4.953 -5,3 -4.996 -5,2 nachr.: Kurzarbeiter (Beschäftigtenäquivalent) 10) 11) 12) ... ... 119.296 76.575 x x -205.389 -72,8 = Unterbeschäftigung (einschl. Kurzarbeit) 9) 10) 11) 12) x x 4.213.318 4.141.819 x x -593.571 -12,5 = Unterbeschäftigung (ohne Kurzarbeit) 4.287.280 4.334.766 4.094.022 4.065.244 -529.181 -11,0 -388.182 -8,7 Bestandsdaten vorläufig endgültig Unterbeschäftigungsquote (ohne Kurzarbeit) Februar Januar Dezember November Oktober September August Juli 2011 2011 2010 2010 2010 2010 2010 2010 1 2 3 4 5 6 7 8 Unterbeschäftigungsquote 10,1 10,2 9,6 9,5 9,6 9,7 10,0 10,1 Bestandsdaten vorläufig endgültig Anteile der Arbeitslosigkeit an der Unterbeschäftigung Februar Januar Dezember November Oktober September August Juli 2011 2011 2010 2010 2010 2010 2010 2010 1 2 3 4 5 6 7 8 Anteil an der Unterbeschäftigung insgesamt x x 71,6 70,8 71,0 71,8 73,3 72,6 Anteil an der Unterbeschäftigung ohne Kurzarbeit 77,4 77,3 73,7 72,1 72,4 73,3 74,8 74,4 Erstellungsdatum: Februar 2011 © Statistik der Bundesagentur für Arbeit Quelle: Statistik der Bundesagentur für Arbeit Aufgrund von Revisionen kann es zu geringfügigen Abweichungen zu bisher veröffentlichten Daten kommen. Die erhobenen Daten unterliegen grundsätzlich der Geheimhaltung nach § 16 BStatG. Eine Übermittlung von Einzelangaben ist daher ausgeschlossen. Aus diesem Grund werden Zahlenwerte kleiner 3 anonymisiert oder zu Gruppen zusammengefasst. 1) Die Daten zur Förderung sind am aktuellen Rand untererfasst. Um Vergleichbarkeit zu Vormonats- und Vorjahresergebnissen herzustellen, werden Ergebnisse aufgrund von Erfahrungswerten hochgerechnet. Dies gilt jedoch nicht für die Daten der zugelassenen kommunalen Träger (zkT), was ebenso den Vorjahresvergleich einschränkt wie die unterschiedliche Vollständigkeit der von den zkT übermittelten Daten. Endgültige Werte zur Förderung stehen erst nach einer Wartezeit von drei Monaten fest. Auf Grund der Trägergebietsreform in Sachsen und Sachsen-Anhalt zum 1. Januar 2011 ergeben sich Untererfassungen bei einzelnen Jobcentern in kommunaler 2) Die Hochrechnung am aktuellen Rand ist derzeit aufgrund fehlender Erfahrungswerte oder technisch nicht realisierbar, darum ist der Vergleich mit Vorjahresergebnissen nur eingeschränkt möglich. 3) Die Zuweisung der Teilnehmer mit Beginn ab 01.01.2009 erfolgt auf der Grundlage des zum 01.01.2009 eingeführten § 46 SGB III. Wegen der ausschließlichen Restabwicklung noch laufender Maßnahmen ist eine Hochrechnung aktueller Ergebnisse auf Basis von Erfahrungswerten methodisch nicht mehr sinnvoll. 4) Daten einschließlich Förderung der Teilhabe behinderter Menschen am Arbeitsleben. 5) Ohne Daten der zugelassenen kommunalen Träger. 6) Erwerbsfähige Hilfebedürftige, die nach Vollendung des 58. Lebensjahres mindestens für die Dauer von zwölf Monaten Leistungen der Grundsicherung für Arbeitsuchende bezogen haben, ohne dass ihnen eine sozialversicherungspflichtige Beschäftigung angeboten worden ist, gelten nach Ablauf dieses Zeitraums für die Dauer des jeweiligen Leistungsbezugs nicht als arbeitslos. 7) Hierbei handelt es sich nur um die Bezieher von Arbeitslosengeld bei Arbeitslosigkeit. 8) Daten zur Arbeitsunfähigkeit nach § 126 SGB III liegen mit einer Wartezeit von 2 Monaten vor. Für den aktuellen Berichtsmonat wird der letzte verfügbare Wert fortgeschrieben. 9) Daten zur geförderten Altersteilzeit liegen mit einem Monat Wartezeit vor. Für den aktuellen Berichtsmonat wird der letzte verfügbare Wert fortgeschrieben. Daten liegen nicht auf Kreisebene vor. Deshalb kann Altersteilzeit nicht in die Unterbeschäftigung auf Kreisebene aufgenommen werden. 10) Auf Kreisebene kann Kurzarbeit nicht in die Unterbeschäftigung aufgenommen werden, weil Kurzarbeiter nicht dem Wohnort sondern nur dem Arbeitsort zugeordnet werden können. 11) Ab Januar 2009 werden revidierte Werte auf Basis von Abrechnungslisten berichtet, bis Dezember 2008 erfolgt die Ermittlung der Werte auf Basis von Betriebsmeldungen. 12) Endgültige Daten zur Kurzarbeit liegen erst mit 5-monatiger Wartezeit vor. Für aktuellere Monate können nur vorläufig hochgerechnete Daten veröffe 63
  • 64.
    Tabellenanhang zum Monatsbericht Februar 2011 5.11 Unterbeschäftigung Westdeutschland Februar 2011 Westdeutschland Bestandsdaten Veränderung gegenüber Vorjahresmonat vorläufig endgültig Komponenten der Unterbeschäftigung Februar Januar Dezember November Februar November 2011 2011 2010 2010 absolut in % absolut in % 1 2 3 4 5 6 7 8 Arbeitslosigkeit (nach § 16 SGB III) 2.241.537 2.274.261 2.067.916 2.029.525 -240.236 -9,7 -186.140 -8,4 + Personen, die allein wegen §16 Abs. 2 SGB III und 196.612 185.321 198.326 210.105 -56.097 -22,2 -32.996 -13,6 § 53a Abs. 2 SGB II nicht arbeitslos sind 1) 136.825 127.193 139.809 150.954 -75.785 -35,6 -57.476 -27,6 dav.: Aktivierung und berufliche Eingliederung (§ 46 SGB III) Eignungsfeststellungs- und Trainingsmaßnahmen (Restabwicklung) 1) 2) 461 517 686 767 -2.128 -82,2 -3.830 -83,3 Vorruhestandsähnliche Regelung (Sonderstatus § 53a SGB II) 5) 6) 59.326 57.611 57.831 58.384 21.816 58,2 28.310 94,1 = Arbeitslosigkeit im weiteren Sinne 2.438.149 2.459.582 2.266.242 2.239.630 -296.333 -10,8 -219.136 -8,9 + Personen, die nah am Arbeitslosenstatus 302.811 311.832 348.798 355.533 -60.354 -16,6 -37.781 -9,6 nach § 16 Abs. 1 SGB III sind dar.: Berufliche Weiterbildung 1) 4) 143.760 145.749 153.782 154.624 6.193 4,5 -3.100 -2,0 Arbeitsgelegenheiten 1) 118.655 124.835 152.023 159.053 -40.819 -25,6 -10.039 -5,9 Beschäftigungsphase Bürgerarbeit 2) 185 37 - - 185 x - x Arbeitsbeschaffungsmaßnahmen 1) 761 766 855 943 -640 -45,7 -1.175 -55,5 1) 14.681 15.650 17.313 18.386 -12.375 -45,7 -8.096 -30,6 Beschäftigungszuschuss Vorruhestandsähnliche Regelung (§ 428 SGB III) 7) 136 158 170 194 -1.384 -91,1 -6.215 -97,0 Arbeitsunfähigkeit (§ 126 SGB III) 7) 8) 24.614 24.614 24.614 22.304 -11.273 -31,4 -8.808 -28,3 = Unterbeschäftigung im engeren Sinne 2.740.960 2.771.414 2.615.040 2.595.163 -356.687 -11,5 -256.917 -9,0 + Personen in Arbeitsmarktpolitik fern vom 179.686 182.293 187.304 190.773 -11.938 -6,2 1.258 0,7 Arbeitslosenstatus nach § 16 Abs. 1 SGB III 1) 102.079 104.604 107.109 110.199 -6.635 -6,1 6.387 6,2 dar.: Gründungszuschuss Einstiegsgeld - Variante: Selbständigkeit 1) 4.752 4.834 5.096 5.308 -1.182 -19,9 -774 -12,7 Altersteilzeit 9) 72.855 72.855 75.099 75.266 -4.121 -5,4 -4.355 -5,5 nachr.: Kurzarbeiter (Beschäftigtenäquivalent) 10) 11) 12) ... ... 91.708 61.557 x x -180.967 -74,6 = Unterbeschäftigung (einschl. Kurzarbeit) 9) 10) 11) 12) x x 2.894.052 2.847.493 x x -436.626 -13,3 = Unterbeschäftigung (ohne Kurzarbeit) 2.920.646 2.953.707 2.802.344 2.785.936 -368.625 -11,2 -255.659 -8,4 Bestandsdaten vorläufig endgültig Unterbeschäftigungsquote (ohne Kurzarbeit) Februar Januar Dezember November Oktober September August Juli 2011 2011 2010 2010 2010 2010 2010 2010 1 2 3 4 5 6 7 8 Unterbeschäftigungsquote 8,6 8,7 8,2 8,2 8,2 8,3 8,6 8,7 Bestandsdaten vorläufig endgültig Anteile der Arbeitslosigkeit an der Unterbeschäftigung Februar Januar Dezember November Oktober September August Juli 2011 2011 2010 2010 2010 2010 2010 2010 1 2 3 4 5 6 7 8 Anteil an der Unterbeschäftigung insgesamt x x 71,5 71,3 71,5 72,5 74,0 72,8 Anteil an der Unterbeschäftigung ohne Kurzarbeit 76,7 77,0 73,8 72,8 73,2 74,2 75,7 75,0 Erstellungsdatum: Februar 2011 © Statistik der Bundesagentur für Arbeit Quelle: Statistik der Bundesagentur für Arbeit Aufgrund von Revisionen kann es zu geringfügigen Abweichungen zu bisher veröffentlichten Daten kommen. Die erhobenen Daten unterliegen grundsätzlich der Geheimhaltung nach § 16 BStatG. Eine Übermittlung von Einzelangaben ist daher ausgeschlossen. Aus diesem Grund werden Zahlenwerte kleiner 3 anonymisiert oder zu Gruppen zusammengefasst. 1) Die Daten zur Förderung sind am aktuellen Rand untererfasst. Um Vergleichbarkeit zu Vormonats- und Vorjahresergebnissen herzustellen, werden Ergebnisse aufgrund von Erfahrungswerten hochgerechnet. Dies gilt jedoch nicht für die Daten der zugelassenen kommunalen Träger (zkT), was ebenso den Vorjahresvergleich einschränkt wie die unterschiedliche Vollständigkeit der von den zkT übermittelten Daten. Endgültige Werte zur Förderung stehen erst nach einer Wartezeit von drei Monaten fest. Auf Grund der Trägergebietsreform in Sachsen und Sachsen-Anhalt zum 1. Januar 2011 ergeben sich Untererfassungen bei einzelnen Jobcentern in kommunaler 2) Die Hochrechnung am aktuellen Rand ist derzeit aufgrund fehlender Erfahrungswerte oder technisch nicht realisierbar, darum ist der Vergleich mit Vorjahresergebnissen nur eingeschränkt möglich. 3) Die Zuweisung der Teilnehmer mit Beginn ab 01.01.2009 erfolgt auf der Grundlage des zum 01.01.2009 eingeführten § 46 SGB III. Wegen der ausschließlichen Restabwicklung noch laufender Maßnahmen ist eine Hochrechnung aktueller Ergebnisse auf Basis von Erfahrungswerten methodisch nicht mehr sinnvoll. 4) Daten einschließlich Förderung der Teilhabe behinderter Menschen am Arbeitsleben. 5) Ohne Daten der zugelassenen kommunalen Träger. 6) Erwerbsfähige Hilfebedürftige, die nach Vollendung des 58. Lebensjahres mindestens für die Dauer von zwölf Monaten Leistungen der Grundsicherung für Arbeitsuchende bezogen haben, ohne dass ihnen eine sozialversicherungspflichtige Beschäftigung angeboten worden ist, gelten nach Ablauf dieses Zeitraums für die Dauer des jeweiligen Leistungsbezugs nicht als arbeitslos. 7) Hierbei handelt es sich nur um die Bezieher von Arbeitslosengeld bei Arbeitslosigkeit. 8) Daten zur Arbeitsunfähigkeit nach § 126 SGB III liegen mit einer Wartezeit von 2 Monaten vor. Für den aktuellen Berichtsmonat wird der letzte verfügbare Wert fortgeschrieben. 9) Daten zur geförderten Altersteilzeit liegen mit einem Monat Wartezeit vor. Für den aktuellen Berichtsmonat wird der letzte verfügbare Wert fortgeschrieben. Daten liegen nicht auf Kreisebene vor. Deshalb kann Altersteilzeit nicht in die Unterbeschäftigung auf Kreisebene aufgenommen werden. 10) Auf Kreisebene kann Kurzarbeit nicht in die Unterbeschäftigung aufgenommen werden, weil Kurzarbeiter nicht dem Wohnort sondern nur dem Arbeitsort zugeordnet werden können. 11) Ab Januar 2009 werden revidierte Werte auf Basis von Abrechnungslisten berichtet, bis Dezember 2008 erfolgt die Ermittlung der Werte auf Basis von Betriebsmeldungen. 12) Endgültige Daten zur Kurzarbeit liegen erst mit 5-monatiger Wartezeit vor. Für aktuellere Monate können nur vorläufig hochgerechnete Daten veröffe 64
  • 65.
    Tabellenanhang zum Monatsbericht Februar 2011 5.12 Unterbeschäftigung Ostdeutschland Februar 2011 Ostdeutschland Bestandsdaten Veränderung gegenüber Vorjahresmonat vorläufig endgültig Komponenten der Unterbeschäftigung Februar Januar Dezember November Februar November 2011 2011 2010 2010 absolut in % absolut in % 1 2 3 4 5 6 7 8 Arbeitslosigkeit (nach § 16 SGB III) 1.075.562 1.075.527 947.799 901.645 -86.046 -7,4 -98.083 -9,8 + Personen, die allein wegen §16 Abs. 2 SGB III und 75.262 72.264 75.477 78.176 -6.018 -7,4 -1.624 -2,0 § 53a Abs. 2 SGB II nicht arbeitslos sind 1) 45.986 43.626 44.662 46.488 -15.384 -25,1 -18.057 -28,0 dav.: Aktivierung und berufliche Eingliederung (§ 46 SGB III) Eignungsfeststellungs- und Trainingsmaßnahmen (Restabwicklung) 1) 2) 70 77 142 161 -599 -89,5 -573 -78,1 Vorruhestandsähnliche Regelung (Sonderstatus § 53a SGB II) 5) 6) 29.206 28.561 30.673 31.527 9.965 51,8 17.006 117,1 = Arbeitslosigkeit im weiteren Sinne 1.150.824 1.147.791 1.023.276 979.821 -92.064 -7,4 -99.707 -9,2 + Personen, die nah am Arbeitslosenstatus 167.444 184.221 218.213 248.311 -64.314 -27,8 -31.009 -11,1 nach § 16 Abs. 1 SGB III sind dar.: Berufliche Weiterbildung 1) 4) 61.991 63.901 66.726 67.440 -6.511 -9,5 -8.708 -11,4 Arbeitsgelegenheiten 1) 88.955 103.504 134.045 163.576 -43.709 -32,9 -8.475 -4,9 Beschäftigungsphase Bürgerarbeit 2) 258 37 - - 258 x - x Arbeitsbeschaffungsmaßnahmen 1) 783 855 956 1.076 -1.503 -65,7 -2.898 -72,9 1) 7.395 7.852 8.394 8.950 -7.651 -50,9 -5.772 -39,2 Beschäftigungszuschuss Vorruhestandsähnliche Regelung (§ 428 SGB III) 7) 64 73 77 98 -720 -91,8 -2.622 -96,4 Arbeitsunfähigkeit (§ 126 SGB III) 7) 8) 7.945 7.945 7.945 7.085 -4.404 -35,7 -2.466 -25,8 = Unterbeschäftigung im engeren Sinne 1.318.268 1.332.012 1.241.489 1.228.132 -156.378 -10,6 -130.716 -9,6 + Personen in Arbeitsmarktpolitik fern vom 48.331 49.013 50.151 51.135 -4.208 -8,0 -1.843 -3,5 Arbeitslosenstatus nach § 16 Abs. 1 SGB III 1) 29.234 29.915 30.483 31.302 -2.315 -7,3 -122 -0,4 dar.: Gründungszuschuss Einstiegsgeld - Variante: Selbständigkeit 1) 4.276 4.277 4.411 4.571 -1.061 -19,9 -1.080 -19,1 Altersteilzeit 9) 14.821 14.821 15.257 15.262 -832 -5,3 -641 -4,0 nachr.: Kurzarbeiter (Beschäftigtenäquivalent) 10) 11) 12) ... ... 27.423 14.941 x x -23.742 -61,4 = Unterbeschäftigung (einschl. Kurzarbeit) 9) 10) 11) 12) x x 1.319.063 1.294.208 x x -156.301 -10,8 = Unterbeschäftigung (ohne Kurzarbeit) 1.366.599 1.381.025 1.291.640 1.279.267 -160.586 -10,5 -132.559 -9,4 Bestandsdaten vorläufig endgültig Unterbeschäftigungsquote (ohne Kurzarbeit) Februar Januar Dezember November Oktober September August Juli 2011 2011 2010 2010 2010 2010 2010 2010 1 2 3 4 5 6 7 8 Unterbeschäftigungsquote 16,0 16,1 15,1 14,9 14,9 15,2 15,6 15,7 Bestandsdaten vorläufig endgültig Anteile der Arbeitslosigkeit an der Unterbeschäftigung Februar Januar Dezember November Oktober September August Juli 2011 2011 2010 2010 2010 2010 2010 2010 1 2 3 4 5 6 7 8 Anteil an der Unterbeschäftigung insgesamt x x 71,9 69,7 69,7 70,4 71,8 72,0 Anteil an der Unterbeschäftigung ohne Kurzarbeit 78,7 77,9 73,4 70,5 70,5 71,3 72,7 73,0 Erstellungsdatum: Februar 2011 © Statistik der Bundesagentur für Arbeit Quelle: Statistik der Bundesagentur für Arbeit Aufgrund von Revisionen kann es zu geringfügigen Abweichungen zu bisher veröffentlichten Daten kommen. Die erhobenen Daten unterliegen grundsätzlich der Geheimhaltung nach § 16 BStatG. Eine Übermittlung von Einzelangaben ist daher ausgeschlossen. Aus diesem Grund werden Zahlenwerte kleiner 3 anonymisiert oder zu Gruppen zusammengefasst. 1) Die Daten zur Förderung sind am aktuellen Rand untererfasst. Um Vergleichbarkeit zu Vormonats- und Vorjahresergebnissen herzustellen, werden Ergebnisse aufgrund von Erfahrungswerten hochgerechnet. Dies gilt jedoch nicht für die Daten der zugelassenen kommunalen Träger (zkT), was ebenso den Vorjahresvergleich einschränkt wie die unterschiedliche Vollständigkeit der von den zkT übermittelten Daten. Endgültige Werte zur Förderung stehen erst nach einer Wartezeit von drei Monaten fest. Auf Grund der Trägergebietsreform in Sachsen und Sachsen-Anhalt zum 1. Januar 2011 ergeben sich Untererfassungen bei einzelnen Jobcentern in kommunaler 2) Die Hochrechnung am aktuellen Rand ist derzeit aufgrund fehlender Erfahrungswerte oder technisch nicht realisierbar, darum ist der Vergleich mit Vorjahresergebnissen nur eingeschränkt möglich. 3) Die Zuweisung der Teilnehmer mit Beginn ab 01.01.2009 erfolgt auf der Grundlage des zum 01.01.2009 eingeführten § 46 SGB III. Wegen der ausschließlichen Restabwicklung noch laufender Maßnahmen ist eine Hochrechnung aktueller Ergebnisse auf Basis von Erfahrungswerten methodisch nicht mehr sinnvoll. 4) Daten einschließlich Förderung der Teilhabe behinderter Menschen am Arbeitsleben. 5) Ohne Daten der zugelassenen kommunalen Träger. 6) Erwerbsfähige Hilfebedürftige, die nach Vollendung des 58. Lebensjahres mindestens für die Dauer von zwölf Monaten Leistungen der Grundsicherung für Arbeitsuchende bezogen haben, ohne dass ihnen eine sozialversicherungspflichtige Beschäftigung angeboten worden ist, gelten nach Ablauf dieses Zeitraums für die Dauer des jeweiligen Leistungsbezugs nicht als arbeitslos. 7) Hierbei handelt es sich nur um die Bezieher von Arbeitslosengeld bei Arbeitslosigkeit. 8) Daten zur Arbeitsunfähigkeit nach § 126 SGB III liegen mit einer Wartezeit von 2 Monaten vor. Für den aktuellen Berichtsmonat wird der letzte verfügbare Wert fortgeschrieben. 9) Daten zur geförderten Altersteilzeit liegen mit einem Monat Wartezeit vor. Für den aktuellen Berichtsmonat wird der letzte verfügbare Wert fortgeschrieben. Daten liegen nicht auf Kreisebene vor. Deshalb kann Altersteilzeit nicht in die Unterbeschäftigung auf Kreisebene aufgenommen werden. 10) Auf Kreisebene kann Kurzarbeit nicht in die Unterbeschäftigung aufgenommen werden, weil Kurzarbeiter nicht dem Wohnort sondern nur dem Arbeitsort zugeordnet werden können. 11) Ab Januar 2009 werden revidierte Werte auf Basis von Abrechnungslisten berichtet, bis Dezember 2008 erfolgt die Ermittlung der Werte auf Basis von Betriebsmeldungen. 12) Endgültige Daten zur Kurzarbeit liegen erst mit 5-monatiger Wartezeit vor. Für aktuellere Monate können nur vorläufig hochgerechnete Daten veröffe 65
  • 66.
    Tabellenanhang zum Monatsbericht Februar 2011 5.13 Unterbeschäftigung - Zeitreihe - Deutschland Februar 2011 Arbeitslosigkeit Unterbeschäftigung registriert nach Arbeitslosigkeit Unterbeschäftigung im Unterbeschäftigung Unterbeschäftigung mit Jahr / Monat § 16 SGB III im weiteren Sinne engeren Sinne ohne Kurzarbeit Kurzarbeit 1 2 3 4 5 Ursprungswerte 2007 Jahresdurchschnitt 3.776.509 3.853.608 4.621.147 4.962.661 4.998.704 2008 Jahresdurchschnitt 3.267.907 3.348.630 4.043.386 4.324.367 4.370.163 2009 Jahresdurchschnitt 3.423.283 3.621.311 4.273.688 4.513.799 4.834.736 2010 Jahresdurchschnitt 1) 3.244.470 3.542.580 4.131.702 4.377.329 4.546.158 2009 Januar 3.488.801 3.567.237 4.205.778 4.452.804 4.618.303 Februar 3.551.911 3.653.978 4.301.453 4.546.191 4.879.447 März 3.585.784 3.699.518 4.343.801 4.587.168 4.984.384 April 3.584.798 3.689.728 4.332.071 4.574.216 4.981.274 Mai 3.458.104 3.605.094 4.270.056 4.510.346 4.904.883 Juni 3.410.036 3.584.015 4.249.050 4.485.878 4.853.474 Juli 3.462.446 3.664.283 4.313.294 4.544.692 4.891.804 August 3.471.513 3.700.514 4.332.976 4.566.267 4.848.354 September 3.346.459 3.618.563 4.272.340 4.509.252 4.814.740 Oktober 3.228.625 3.531.227 4.203.410 4.443.474 4.762.578 November 3.215.393 3.538.294 4.210.933 4.453.426 4.735.389 Dezember 3.275.526 3.603.277 4.249.098 4.491.878 4.742.205 2010 Januar 3.617.485 3.928.115 4.517.663 4.759.587 5.113.885 Februar 3.643.381 3.977.370 4.572.298 4.816.461 5.181.491 März 3.567.944 3.906.969 4.502.350 4.750.096 5.030.097 April 3.406.344 3.734.335 4.327.410 4.577.577 4.770.266 Mai 3.241.529 3.558.241 4.154.239 4.405.945 4.556.873 Juni 3.153.300 3.452.666 4.045.781 4.296.127 4.429.924 Juli 3.191.800 3.468.968 4.043.770 4.290.877 4.397.467 August 3.188.122 3.452.474 4.018.903 4.264.540 4.348.341 September 3.031.354 3.301.364 3.890.938 4.136.599 4.219.179 Oktober 2.945.491 3.221.468 3.827.218 4.070.869 4.151.235 November 2.931.170 3.219.457 3.823.307 4.065.244 4.141.819 1) Dezember 3.015.715 3.289.527 3.856.543 4.094.022 4.213.318 1) 2011 Januar 3.349.788 3.607.384 4.103.442 4.334.766 … 1) Februar 3.317.099 3.588.984 4.059.243 4.287.280 … März April Mai Juni Juli August September Oktober November Dezember saisonbereinigte Werte 2009 Januar 3.270.000 3.374.000 4.036.000 4.289.000 4.444.000 Februar 3.309.000 3.419.000 4.081.000 4.332.000 4.583.000 März 3.382.000 3.494.000 4.153.000 4.399.000 4.713.000 April 3.464.000 3.568.000 4.222.000 4.465.000 4.843.000 Mai 3.471.000 3.612.000 4.276.000 4.516.000 4.887.000 Juni 3.493.000 3.668.000 4.329.000 4.564.000 4.926.000 Juli 3.485.000 3.699.000 4.357.000 4.588.000 4.943.000 August 3.479.000 3.725.000 4.375.000 4.607.000 4.911.000 September 3.475.000 3.751.000 4.399.000 4.632.000 4.981.000 Oktober 3.440.000 3.740.000 4.382.000 4.617.000 4.989.000 November 3.433.000 3.747.000 4.378.000 4.615.000 4.966.000 Dezember 3.404.000 3.734.000 4.355.000 4.596.000 4.909.000 2010 Januar 3.388.000 3.708.000 4.326.000 4.573.000 4.910.000 Februar 3.390.000 3.713.000 4.330.000 4.579.000 4.847.000 März 3.355.000 3.681.000 4.295.000 4.546.000 4.743.000 April 3.290.000 3.612.000 4.219.000 4.470.000 4.636.000 Mai 3.255.000 3.567.000 4.163.000 4.414.000 4.541.000 Juni 3.233.000 3.536.000 4.124.000 4.374.000 4.499.000 Juli 3.214.000 3.503.000 4.087.000 4.336.000 4.449.000 August 3.197.000 3.477.000 4.061.000 4.306.000 4.413.000 September 3.159.000 3.428.000 4.012.000 4.256.000 4.373.000 Oktober 3.155.000 3.420.000 3.995.000 4.235.000 4.357.000 November 3.144.000 3.414.000 3.977.000 4.215.000 4.351.000 1) Dezember 3.139.000 3.407.000 3.950.000 4.187.000 4.366.000 1) 2011 Januar 3.121.000 3.396.000 3.919.000 4.154.000 … 1) Februar 3.069.000 3.345.000 3.841.000 4.072.000 … März April Mai Juni Juli August September Oktober November Dezember Datenstand: Februar 2011 © Statistik der Bundesagentur für Arbeit 1) vorläufige Daten für Spalte 2 bis 4 Quelle: Statistik der Bundesagentur für Arbeit, saisonbereinigte Werte: Institut für Arbeitsmarkt- und Berufsforschung 66
  • 67.
    Tabellenanhang zum Monatsbericht Februar 2011 5.14 Unterbeschäftigung - Zeitreihe - Westdeutschland Februar 2011 Arbeitslosigkeit Unterbeschäftigung registriert nach Arbeitslosigkeit Unterbeschäftigung im Unterbeschäftigung Unterbeschäftigung mit Jahr / Monat § 16 SGB III im weiteren Sinne engeren Sinne ohne Kurzarbeit Kurzarbeit 1 2 3 4 5 Ursprungswerte 2007 Jahresdurchschnitt 2.485.871 2.540.302 3.008.010 3.249.029 3.276.531 2008 Jahresdurchschnitt 2.144.651 2.201.095 2.613.989 2.822.571 2.858.488 2009 Jahresdurchschnitt 2.320.209 2.467.694 2.860.230 3.045.400 3.317.859 2010 Jahresdurchschnitt 1) 2.231.694 2.453.928 2.804.307 2.997.689 3.132.739 2009 Januar 2.306.457 2.362.280 2.749.782 2.936.539 3.065.550 Februar 2.347.936 2.423.140 2.824.058 3.009.618 3.283.083 März 2.378.890 2.461.899 2.863.683 3.048.824 3.383.654 April 2.399.548 2.475.967 2.871.999 3.056.992 3.411.557 Mai 2.333.878 2.442.509 2.852.937 3.036.993 3.378.384 Juni 2.318.630 2.448.211 2.852.774 3.035.020 3.348.664 Juli 2.368.217 2.519.057 2.907.887 3.087.798 3.387.230 August 2.389.445 2.559.549 2.931.138 3.112.892 3.349.068 September 2.306.730 2.509.297 2.890.632 3.075.336 3.335.146 Oktober 2.228.931 2.455.278 2.846.338 3.033.785 3.309.797 November 2.215.665 2.458.766 2.852.080 3.041.595 3.284.119 Dezember 2.248.181 2.496.374 2.879.448 3.069.413 3.278.060 2010 Januar 2.469.537 2.703.779 3.056.937 3.246.358 3.527.829 Februar 2.481.773 2.734.482 3.097.647 3.289.271 3.575.285 März 2.427.824 2.683.035 3.047.896 3.242.602 3.462.695 April 2.329.292 2.575.447 2.936.451 3.133.338 3.292.004 Mai 2.224.034 2.462.694 2.823.786 3.021.729 3.145.242 Juni 2.175.640 2.399.868 2.751.482 2.948.351 3.057.946 Juli 2.208.891 2.416.397 2.750.225 2.944.995 3.032.539 August 2.218.670 2.414.511 2.736.679 2.930.541 2.998.148 September 2.103.772 2.303.534 2.641.334 2.835.360 2.902.169 Oktober 2.043.457 2.247.513 2.599.042 2.791.440 2.857.468 November 2.029.525 2.239.630 2.595.163 2.785.936 2.847.493 1) Dezember 2.067.916 2.266.242 2.615.040 2.802.344 2.894.052 1) 2011 Januar 2.274.261 2.459.582 2.771.414 2.953.707 … 1) Februar 2.241.537 2.438.149 2.740.960 2.920.646 … März April Mai Juni Juli August September Oktober November Dezember saisonbereinigte Werte 2009 Januar 2.174.000 2.249.000 2.643.000 2.834.000 2.962.000 Februar 2.207.000 2.287.000 2.683.000 2.873.000 3.088.000 März 2.267.000 2.349.000 2.746.000 2.933.000 3.204.000 April 2.336.000 2.410.000 2.804.000 2.989.000 3.320.000 Mai 2.351.000 2.453.000 2.856.000 3.040.000 3.362.000 Juni 2.370.000 2.500.000 2.902.000 3.083.000 3.392.000 Juli 2.370.000 2.529.000 2.930.000 3.110.000 3.415.000 August 2.376.000 2.559.000 2.954.000 3.135.000 3.388.000 September 2.377.000 2.583.000 2.975.000 3.157.000 3.452.000 Oktober 2.355.000 2.581.000 2.965.000 3.149.000 3.466.000 November 2.349.000 2.588.000 2.964.000 3.150.000 3.447.000 Dezember 2.334.000 2.585.000 2.951.000 3.140.000 3.401.000 2010 Januar 2.328.000 2.569.000 2.933.000 3.126.000 3.401.000 Februar 2.332.000 2.575.000 2.938.000 3.133.000 3.349.000 März 2.308.000 2.553.000 2.915.000 3.112.000 3.269.000 April 2.267.000 2.506.000 2.867.000 3.064.000 3.200.000 Mai 2.241.000 2.474.000 2.828.000 3.026.000 3.127.000 Juni 2.225.000 2.452.000 2.800.000 2.997.000 3.098.000 Juli 2.211.000 2.427.000 2.773.000 2.969.000 3.060.000 August 2.205.000 2.414.000 2.760.000 2.953.000 3.037.000 September 2.174.000 2.375.000 2.722.000 2.915.000 3.009.000 Oktober 2.169.000 2.367.000 2.711.000 2.901.000 2.997.000 November 2.161.000 2.360.000 2.699.000 2.887.000 2.994.000 1) Dezember 2.151.000 2.346.000 2.678.000 2.865.000 3.006.000 1) 2011 Januar 2.134.000 2.332.000 2.653.000 2.838.000 … 1) Februar 2.095.000 2.294.000 2.598.000 2.780.000 … März April Mai Juni Juli August September Oktober November Dezember Datenstand: Februar 2011 © Statistik der Bundesagentur für Arbeit 1) vorläufige Daten für Spalte 2 bis 4 Quelle: Statistik der Bundesagentur für Arbeit, saisonbereinigte Werte: Institut für Arbeitsmarkt- und Berufsforschung 67
  • 68.
    Tabellenanhang zum Monatsbericht Februar 2011 5.15 Unterbeschäftigung - Zeitreihe - Ostdeutschland Februar 2011 Arbeitslosigkeit Unterbeschäftigung registriert nach Arbeitslosigkeit Unterbeschäftigung im Unterbeschäftigung Unterbeschäftigung mit Jahr / Monat § 16 SGB III im weiteren Sinne engeren Sinne ohne Kurzarbeit Kurzarbeit 1 2 3 4 5 Ursprungswerte 2007 Jahresdurchschnitt 1.290.637 1.313.305 1.613.023 1.713.519 1.722.059 2008 Jahresdurchschnitt 1.123.256 1.147.535 1.429.325 1.501.724 1.511.603 2009 Jahresdurchschnitt 1.103.074 1.153.617 1.413.441 1.468.381 1.515.215 2010 Jahresdurchschnitt 1) 1.012.775 1.088.651 1.327.387 1.379.628 1.413.059 2009 Januar 1.182.344 1.204.957 1.455.967 1.516.236 1.551.433 Februar 1.203.975 1.230.838 1.477.363 1.536.541 1.594.598 März 1.206.894 1.237.619 1.480.084 1.538.310 1.598.609 April 1.185.250 1.213.761 1.460.045 1.517.197 1.567.591 Mai 1.124.226 1.162.585 1.417.094 1.473.328 1.523.574 Juni 1.091.406 1.135.804 1.396.260 1.450.842 1.502.688 Juli 1.094.229 1.145.226 1.405.392 1.456.879 1.503.052 August 1.082.068 1.140.965 1.401.827 1.453.364 1.497.439 September 1.039.729 1.109.266 1.381.698 1.433.906 1.478.246 Oktober 999.694 1.075.949 1.357.069 1.409.686 1.451.748 November 999.728 1.079.528 1.358.848 1.411.826 1.450.509 Dezember 1.027.345 1.106.903 1.369.641 1.422.456 1.463.093 2010 Januar 1.147.948 1.224.336 1.460.720 1.513.223 1.585.131 Februar 1.161.608 1.242.888 1.474.646 1.527.185 1.605.179 März 1.140.120 1.223.934 1.454.445 1.507.485 1.566.645 April 1.077.052 1.158.888 1.390.954 1.444.234 1.477.801 Mai 1.017.495 1.095.547 1.330.449 1.384.212 1.411.428 Juni 977.660 1.052.798 1.294.291 1.347.768 1.371.811 Juli 982.909 1.052.571 1.293.537 1.345.874 1.364.684 August 969.452 1.037.963 1.282.218 1.333.993 1.350.158 September 927.582 997.830 1.249.596 1.301.231 1.316.862 Oktober 902.034 973.955 1.228.171 1.279.424 1.293.740 November 901.645 979.821 1.228.132 1.279.267 1.294.208 1) Dezember 947.799 1.023.276 1.241.489 1.291.640 1.319.063 1) 2011 Januar 1.075.527 1.147.791 1.332.012 1.381.025 … 1) Februar 1.075.562 1.150.824 1.318.268 1.366.599 … März April Mai Juni Juli August September Oktober November Dezember saisonbereinigte Werte 2009 Januar 1.096.000 1.125.000 1.393.000 1.455.000 1.482.000 Februar 1.102.000 1.132.000 1.398.000 1.459.000 1.495.000 März 1.115.000 1.145.000 1.407.000 1.466.000 1.509.000 April 1.128.000 1.158.000 1.418.000 1.476.000 1.523.000 Mai 1.120.000 1.159.000 1.420.000 1.476.000 1.525.000 Juni 1.123.000 1.168.000 1.427.000 1.481.000 1.534.000 Juli 1.115.000 1.170.000 1.427.000 1.478.000 1.528.000 August 1.103.000 1.166.000 1.421.000 1.472.000 1.523.000 September 1.098.000 1.168.000 1.424.000 1.475.000 1.529.000 Oktober 1.085.000 1.159.000 1.417.000 1.468.000 1.523.000 November 1.084.000 1.159.000 1.414.000 1.465.000 1.519.000 Dezember 1.070.000 1.149.000 1.404.000 1.456.000 1.508.000 2010 Januar 1.060.000 1.139.000 1.393.000 1.447.000 1.509.000 Februar 1.058.000 1.138.000 1.392.000 1.446.000 1.498.000 März 1.047.000 1.128.000 1.380.000 1.434.000 1.474.000 April 1.023.000 1.106.000 1.352.000 1.406.000 1.436.000 Mai 1.014.000 1.093.000 1.335.000 1.388.000 1.414.000 Juni 1.008.000 1.084.000 1.324.000 1.377.000 1.401.000 Juli 1.003.000 1.076.000 1.314.000 1.367.000 1.389.000 August 992.000 1.063.000 1.301.000 1.353.000 1.376.000 September 985.000 1.053.000 1.290.000 1.341.000 1.364.000 Oktober 986.000 1.053.000 1.284.000 1.334.000 1.360.000 November 983.000 1.054.000 1.278.000 1.328.000 1.357.000 1) Dezember 988.000 1.061.000 1.272.000 1.322.000 1.360.000 1) 2011 Januar 987.000 1.064.000 1.266.000 1.316.000 … 1) Februar 974.000 1.051.000 1.243.000 1.292.000 … März April Mai Juni Juli August September Oktober November Dezember Datenstand: Februar 2011 © Statistik der Bundesagentur für Arbeit 1) vorläufige Daten für Spalte 2 bis 4 Quelle: Statistik der Bundesagentur für Arbeit, saisonbereinigte Werte: Institut für Arbeitsmarkt- und Berufsforschung 68
  • 69.
    Tabellenanhang zum Monatsbericht Februar 2011 6.1 Bestand an Leistungsempfängern von Arbeitslosengeld bei Arbeitslosigkeit Deutschland, West- und Ostdeutschland Februar 2011 Bestand an Leistungsempfängern von Arbeitslosengeld bei Arbeitslosigkeit insgesamt darunter arbeitslos Jahr / Monat Veränderung zum Vorjahr / Veränderung zum Vorjahr / Anteil Insgesamt Vorjahresmonat Insgesamt Vorjahresmonat (Sp .4 an Sp. 1) absolut in % absolut in % 1 2 3 4 5 6 7 Deutschland *) Jahr 2007 1) 1.079.941 -365.284 -25,3 769.299 -353.796 -31,5 71,2 Jahr 2008 1) 916.989 -162.952 -15,1 700.603 -68.696 -8,9 76,4 Jahr 2009 1) 1.140.982 223.993 24,4 967.302 266.699 38,1 84,8 Jahr 2010 1) 1.023.666 -117.316 -10,3 880.021 -87.281 -9,0 86,0 2010 Januar 1.328.501 173.523 15,0 1.140.379 138.047 13,8 85,8 Februar 1.366.649 139.215 11,3 1.166.928 105.513 9,9 85,4 März 1.283.141 54.525 4,4 1.093.486 24.895 2,3 85,2 April 1.096.264 -69.366 -6,0 928.929 -96.889 -9,4 84,7 Mai 995.751 -124.162 -11,1 841.652 -124.971 -12,9 84,5 Juni 921.201 -167.044 -15,3 784.515 -147.292 -15,8 85,2 Juli 950.301 -199.427 -17,3 824.900 -154.199 -15,7 86,8 August 931.624 -234.512 -20,1 817.325 -167.531 -17,0 87,7 September 865.858 -243.688 -22,0 750.139 -164.434 -18,0 86,6 Oktober 832.629 -235.331 -22,0 718.330 -147.873 -17,1 86,3 November 826.317 -258.735 -23,8 716.684 -161.988 -18,4 86,7 Dezember 885.760 -242.790 -21,5 776.988 -150.645 -16,2 87,7 2011 Januar 2) 1.065.450 -263.051 -19,8 … … … … Februar 2) 1.072.747 -293.902 -21,5 … … … … März April Mai Juni Juli August September Oktober November Dezember Westdeutschland Jahr 2007 1) 768.852 -253.667 -24,8 547.124 -250.645 -31,4 71,2 Jahr 2008 1) 647.389 -121.463 -15,8 490.541 -56.584 -10,3 75,8 Jahr 2009 1) 842.694 195.304 30,2 711.251 220.711 45,0 84,4 Jahr 2010 1) 761.183 -81.511 -9,7 650.895 -60.356 -8,5 85,5 2010 Januar 975.924 161.701 19,9 831.015 127.797 18,2 85,2 Februar 998.704 131.215 15,1 845.183 99.152 13,3 84,6 März 935.981 61.126 7,0 790.063 32.318 4,3 84,4 April 813.134 -33.657 -4,0 684.613 -59.336 -8,0 84,2 Mai 745.395 -80.948 -9,8 626.477 -85.696 -12,0 84,0 Juni 693.904 -118.966 -14,6 589.011 -105.791 -15,2 84,9 Juli 718.061 -147.640 -17,1 621.075 -113.889 -15,5 86,5 August 706.555 -177.578 -20,1 618.861 -126.041 -16,9 87,6 September 650.262 -190.199 -22,6 561.979 -128.351 -18,6 86,4 Oktober 625.437 -185.677 -22,9 538.175 -116.602 -17,8 86,0 November 616.819 -204.349 -24,9 533.347 -127.683 -19,3 86,5 Dezember 654.021 -193.154 -22,8 570.940 -120.151 -17,4 87,3 2011 Januar 2) 765.435 -210.489 -21,6 … … … … Februar 2) 768.276 -230.428 -23,1 … … … … März April Mai Juni Juli August September Oktober November Dezember Ostdeutschland Jahr 2007 1) 310.776 -111.930 -26,5 222.054 -103.271 -31,7 71,5 Jahr 2008 1) 269.334 -41.442 -13,3 209.931 -12.123 -5,5 77,9 Jahr 2009 1) 298.004 28.670 10,6 255.876 45.944 21,9 85,9 Jahr 2010 1) 261.825 -36.179 -12,1 228.910 -26.965 -10,5 87,4 2010 Januar 352.264 11.789 3,5 309.159 10.229 3,4 87,8 Februar 367.612 7.948 2,2 321.520 6.319 2,0 87,5 März 346.853 -6.611 -1,9 303.231 -7.436 -2,4 87,4 April 282.836 -35.697 -11,2 244.133 -37.552 -13,3 86,3 Mai 249.994 -43.268 -14,8 214.969 -39.292 -15,5 86,0 Juni 226.772 -48.319 -17,6 195.289 -41.537 -17,5 86,1 Juli 231.471 -52.278 -18,4 203.563 -40.394 -16,6 87,9 August 224.155 -57.562 -20,4 198.226 -41.556 -17,3 88,4 September 214.616 -54.204 -20,2 187.933 -36.161 -16,1 87,6 Oktober 206.144 -50.445 -19,7 179.917 -31.359 -14,8 87,3 November 208.468 -55.138 -20,9 183.136 -34.338 -15,8 87,8 Dezember 230.718 -50.357 -17,9 205.846 -30.507 -12,9 89,2 2011 Januar 2) 299.130 -53.134 -15,1 … … … … Februar 2) 303.427 -64.185 -17,5 … … … … März April Mai Juni Juli August September Oktober November Dezember Datenstand: Februar 2011 © Statistik der Bundesagentur für Arbeit Quelle: Statistik der Bundesagentur für Arbeit *) die für Deutschland ausgewiesenen Werte enthalten auch die Zahl der im Ausland lebenden Leistungsempfänger 1) Jahresdurschschnittswerte 2) geschätzt 69
  • 70.
    Tabellenanhang zum Monatsbericht Februar 2011 6.2 Eckwerte zu Leistungsempfängern von Arbeitslosengeld bei Arbeitslosigkeit nach dem SGB III Deutschland Februar 2011 endgültige Daten mit einer Wartezeit von 2 Monaten Veränderung aktueller Monat 2010 zum Vorjahresmonat Merkmal Dezember November Oktober September absolut relativ in % 1 2 3 4 5 6 Empfänger Arbeitslosengeld (SGB III) Bestand insgesamt 885.760 826.317 832.629 865.858 -242.790 -21,5 dav.: 44,4 % Frauen 393.427 389.059 393.573 405.513 -66.921 -14,5 55,6 % Männer 492.333 437.258 439.056 460.345 -175.869 -26,3 11,6 % Jüngere unter 25 Jahre 102.589 98.579 106.421 129.345 -43.088 -29,6 49,7 % 25 bis unter 50 Jahre 440.364 401.570 402.850 411.313 -176.525 -28,6 38,7 % 50 Jahre und älter 342.807 326.168 323.358 325.200 -23.177 -6,3 10,5 % Ausländer 93.108 87.666 87.351 88.313 -30.624 -24,8 Zugänge insgesamt 224.238 197.434 186.750 189.764 -15.018 -6,3 dav.: 35,4 % Frauen 79.309 87.732 84.070 86.066 -7.038 -8,2 64,6 % Männer 144.929 109.702 102.680 103.698 -7.980 -5,2 15,1 % Jüngere unter 25 Jahre 33.758 30.961 33.083 47.046 -4.228 -11,1 59,8 % 25 bis unter 50 Jahre 133.996 117.185 109.243 102.906 -12.791 -8,7 25,2 % 50 Jahre und älter 56.482 49.287 44.424 39.810 1.999 3,7 10,3 % Ausländer 23.205 21.327 20.018 20.551 -748 -3,1 Abgänge insgesamt 164.795 203.746 219.979 255.530 -30.963 -15,8 dav.: 45,5 % Frauen 74.951 92.269 96.017 112.633 -6.987 -8,5 54,5 % Männer 89.844 111.477 123.962 142.897 -23.976 -21,1 17,2 % Jüngere unter 25 Jahre 28.309 37.328 54.385 69.284 -6.789 -19,3 57,9 % 25 bis unter 50 Jahre 95.364 118.614 117.981 136.349 -23.216 -19,6 25,0 % 50 Jahre und älter 41.122 47.804 47.613 49.897 -958 -2,3 10,7 % Ausländer 17.626 20.828 20.838 24.825 -3.416 -16,2 Angaben zur Leistung (Bestand) Durchschnittliche Anspruchshöhe, mtl. in € 808,62 804,31 802,82 790,00 28,91 . zurück gelegte Leistungsdauer, in Tagen 138,3 143,7 143,6 143,3 8,0 . Restanspruchsdauer, in Tagen 236,3 237,8 241,0 238,9 8,3 . Angaben zur Leistung (bei Abgang) Durchschnittliche Anspruchshöhe bei Abgang, mtl. in € 774,03 769,77 746,37 727,76 24,64 . Durchschn. Leistungsdauer bei Beendigung, in Tagen 134,6 131,5 133,6 126,3 -7,3 . Restanspruchsdauer bei Abgang, in Tagen 162,2 171,0 172,6 179,8 9,9 . Abgangsgründe Arbeitsaufnahme 78.882 106.195 101.969 127.775 -12.147 -13,3 Anspruch erschöpft 39.070 41.742 43.363 46.248 -12.867 -24,8 Sonstige 46.843 55.809 74.647 81.507 -5.949 -11,3 Datenstand: Februar 2011 © Statistik der Bundesagentur für Arbeit Quelle: Bundesagentur für Arbeit 70
  • 71.
    Tabellenanhang zum Monatsbericht Februar 2011 6.3 Bedarfsgemeinschaften und Personen in Bedarfsgemeinschaften Deutschland, West- und Ostdeutschland Februar 2011 Daten nach einer Wartezeit von 3 Monaten. Für die 3 aktuellsten Berichtsmonate wurden die vorläufigen Daten auf eine Wartezeit von 3 Monaten hochgerechnet. Anzahl der Personen in Bedarfsgemeinschaften Bedarfsgemeinschaften davon Sp. 4 erwerbsfähige Hilfebedürftige (Alg II) nicht erwerbsfähige Hilfebedürftige (Sozialgeld) Veränd. zum Vorjahr / Jahr/Monat insgesamt Insgesamt Vorjahresmonat Veränd. zum Vorjahr / Veränd. zum Vorjahr / Anzahl Vorjahresmonat Anzahl Vorjahresmonat absolut in % absolut in % absolut in % 1 2 3 4 5 6 7 8 9 10 Deutschland Jahr 20071) 3.725.134 -253.619 -6,4 7.240.072 5.276.609 -115.557 -2,1 1.963.463 8.488 0,4 Jahr 20081) 3.576.252 -148.883 -4,0 6.906.953 5.009.872 -266.737 -5,1 1.897.081 -66.382 -3,4 Jahr 20091) 3.558.562 -17.690 -0,5 6.725.152 4.907.759 -102.113 -2,0 1.817.393 -79.688 -4,2 Jahr 20101) 3.584.184 25.622 0,7 6.714.453 4.895.573 -12.186 -0,2 1.818.879 1.486 0,1 2010 Januar 3.602.102 111.560 3,2 6.779.087 4.942.495 112.133 2,3 1.836.592 26.555 1,5 Februar 3.643.926 113.081 3,2 6.854.265 5.004.453 115.489 2,4 1.849.812 31.637 1,7 März 3.668.121 111.266 3,1 6.891.713 5.036.643 112.880 2,3 1.855.070 35.662 2,0 April 3.665.086 97.715 2,7 6.876.684 5.026.326 93.292 1,9 1.850.358 35.396 2,0 Mai 3.643.589 77.113 2,2 6.831.744 4.992.080 63.198 1,3 1.839.664 29.352 1,6 Juni 3.622.045 58.904 1,7 6.787.134 4.957.291 34.560 0,7 1.829.843 22.670 1,3 Juli 3.603.623 22.594 0,6 6.743.838 4.924.729 -19.213 -0,4 1.819.109 5.558 0,3 August 3.568.860 -5.087 -0,1 6.682.699 4.868.411 -55.258 -1,1 1.814.288 -3.688 -0,2 September 3.529.818 -39.232 -1,1 6.604.840 4.805.409 -106.426 -2,2 1.799.431 -22.476 -1,2 Oktober 3.498.576 -62.055 -1,7 6.537.195 4.749.979 -145.604 -3,0 1.787.216 -37.034 -2,0 November 3.472.001 -93.068 -2,6 6.477.788 4.705.843 -177.585 -3,6 1.771.945 -50.271 -2,8 Dezember 3.492.466 -85.323 -2,4 6.506.448 4.733.223 -173.693 -3,5 1.773.225 -55.528 -3,0 2011 Januar 3.499.877 -102.225 -2,8 6.512.559 4.744.019 -198.476 -4,0 1.768.540 -68.052 -3,7 Februar 3.514.843 -129.083 -3,5 6.532.605 4.763.138 -241.315 -4,8 1.769.467 -80.345 -4,3 März April Mai Juni Juli August September Oktober November Dezember Westdeutschland Jahr 20071) 2.394.246 -158.881 -6,2 4.795.528 3.393.715 -68.087 -2,0 1.401.813 2.742 0,2 Jahr 20081) 2.300.598 -93.649 -3,9 4.592.179 3.240.005 -153.710 -4,5 1.352.174 -49.639 -3,5 Jahr 20091) 2.317.444 16.846 0,7 4.524.626 3.223.801 -16.205 -0,5 1.300.826 -51.349 -3,8 Jahr 20101) 2.364.977 47.534 2,1 4.574.767 3.266.460 42.659 1,3 1.308.307 7.482 0,6 2010 Januar 2.370.936 113.579 5,0 4.609.821 3.288.003 140.434 4,5 1.321.818 29.971 2,3 Februar 2.399.147 115.270 5,0 4.661.674 3.330.136 144.021 4,5 1.331.538 33.482 2,6 März 2.416.658 114.292 5,0 4.689.511 3.354.031 142.536 4,4 1.335.480 36.132 2,8 April 2.415.296 102.787 4,4 4.680.442 3.348.715 125.414 3,9 1.331.727 34.729 2,7 Mai 2.403.682 87.266 3,8 4.653.146 3.329.648 102.121 3,2 1.323.498 28.741 2,2 Juni 2.391.169 72.690 3,1 4.624.638 3.309.041 78.939 2,4 1.315.597 22.736 1,8 Juli 2.378.709 45.568 2,0 4.593.403 3.286.539 38.178 1,2 1.306.864 9.684 0,7 August 2.356.242 24.754 1,1 4.554.476 3.250.400 10.199 0,3 1.304.076 2.933 0,2 September 2.331.311 -942 0,0 4.505.339 3.211.003 -28.943 -0,9 1.294.336 -11.427 -0,9 Oktober 2.311.720 -22.880 -1,0 4.460.517 3.175.275 -62.089 -1,9 1.285.242 -23.639 -1,8 November 2.295.447 -40.691 -1,7 4.421.803 3.147.362 -89.012 -2,8 1.274.441 -34.226 -2,6 Dezember 2.309.413 -41.289 -1,8 4.442.437 3.167.366 -89.887 -2,8 1.275.071 -39.334 -3,0 2011 Januar 2.314.738 -56.198 -2,4 4.448.532 3.175.531 -112.472 -3,4 1.273.000 -48.818 -3,7 Februar 2.322.046 -77.101 -3,2 4.458.226 3.185.023 -145.113 -4,4 1.273.203 -58.335 -4,4 März April Mai Juni Juli August September Oktober November Dezember Ostdeutschland Jahr 20071) 1.330.888 -94.738 -6,6 2.444.543 1.882.894 -47.470 -2,5 561.650 5.746 1,0 Jahr 20081) 1.275.654 -55.234 -4,2 2.314.773 1.769.866 -113.027 -6,0 544.907 -16.743 -3,0 Jahr 20091) 1.241.118 -34.536 -2,7 2.200.526 1.683.958 -85.908 -4,9 516.568 -28.339 -5,2 Jahr 20101) 1.219.207 -21.911 -1,8 2.139.686 1.629.114 -54.845 -3,3 510.572 -5.996 -1,2 2010 Januar 1.231.166 -2.019 -0,2 2.169.266 1.654.492 -28.301 -1,7 514.774 -3.416 -0,7 Februar 1.244.779 -2.189 -0,2 2.192.591 1.674.317 -28.532 -1,7 518.274 -1.845 -0,4 März 1.251.463 -3.026 -0,2 2.202.202 1.682.612 -29.656 -1,7 519.590 -470 -0,1 April 1.249.790 -5.072 -0,4 2.196.242 1.677.611 -32.122 -1,9 518.631 667 0,1 Mai 1.239.907 -10.153 -0,8 2.178.598 1.662.432 -38.923 -2,3 516.166 611 0,1 Juni 1.230.876 -13.786 -1,1 2.162.496 1.648.250 -44.379 -2,6 514.246 -66 0,0 Juli 1.224.914 -22.974 -1,8 2.150.435 1.638.190 -57.391 -3,4 512.245 -4.126 -0,8 August 1.212.618 -29.841 -2,4 2.128.223 1.618.011 -65.457 -3,9 510.212 -6.621 -1,3 September 1.198.507 -38.290 -3,1 2.099.501 1.594.406 -77.483 -4,6 505.095 -11.049 -2,1 Oktober 1.186.856 -43.613 -3,5 2.076.678 1.574.704 -83.515 -5,0 501.974 -13.395 -2,6 November 1.176.554 -47.939 -3,9 2.055.985 1.558.481 -88.573 -5,4 497.504 -16.045 -3,1 Dezember 1.183.054 -44.033 -3,6 2.064.010 1.565.857 -83.806 -5,1 498.154 -16.194 -3,1 2011 Januar 1.185.138 -46.028 -3,7 2.064.027 1.568.487 -86.005 -5,2 495.540 -19.234 -3,7 Februar 1.192.797 -51.982 -4,2 2.074.379 1.578.115 -96.202 -5,7 496.264 -22.010 -4,2 März April Mai Juni Juli August September Oktober November Dezember Datenstand: Februar 2011 © Statistik der Bundesagentur für Arbeit Quelle: Bundesagentur für Arbeit 71 1) Jahresdurchschnittswerte
  • 72.
    Tabellenanhang zum Monatsbericht Februar 2011 6.4 Grundsicherung für Arbeitsuchende nach dem SGB II Deutschland Februar 2011 endgültige Daten mit Wartezeit von 3 Monaten Veränderung Oktober 2010 zum 2010 Vorjahresmonat Merkmale Oktober September August absolut relativ in % 1 2 3 4 5 Bedarfsgemeinschaften Bestand 3.498.576 3.529.818 3.568.860 -66.493 -1,9 dar.: 55,6 % mit 1 Person 1.946.855 1.960.662 1.979.568 -4.637 -0,2 20,7 % mit 2 Personen 725.323 731.655 739.659 -26.688 -3,5 11,9 % mit 3 Personen 417.191 422.631 430.100 -21.084 -4,8 7,1 % mit 4 Personen 247.171 250.693 254.298 -10.274 -4,0 4,6 % mit 5 und mehr Personen 162.035 164.177 165.235 -3.811 -2,3 Personen pro Bedarfsgemeinschaft 1,9 1,9 1,9 -0,02 -0,9 Zugang insgesamt 131.770 132.045 139.953 -10.827 -7,6 dar.: vorheriger SGB II Leistungsbezug (< 3Monate) 36.758 38.275 39.474 +3.780 +11,5 Abgang insgesamt 162.860 171.026 174.441 +16.403 +11,2 dar.: erneuter SGB II Leistungsbezug innerhalb von 3 Mon. 34.590 36.833 40.037 +3.157 +10,0 Leistungen pro Bedarfsgemeinschaft in Euro insgesamt 841,69 839,75 868,79 -14,23 -1,7 dav.: Arbeitslosengeld II 1) und 2) 336,64 337,58 344,50 -8,76 -2,5 Sozialgeld1) 13,35 13,42 36,32 -5,20 -28,0 Leistungen für Unterkunft und Heizung1) 325,61 322,23 321,30 -0,64 -0,2 Sozialversicherungsleistung1) 161,02 160,91 160,96 +0,37 +0,2 sonstige Leistungen1) 5,06 5,61 5,70 -0,00 -0,1 Personen in Bedarfsgemeinschaften Bestand 6.537.195 6.604.840 6.682.699 -182.638 -2,7 dav.: 72,7 % erwerbsfähige Hilfebedürftige 4.749.979 4.805.409 4.868.411 -145.604 -3,0 27,3 % Nichterwerbsfähige Hilfebedürftige 1.787.216 1.799.431 1.814.288 -37.034 -2,0 Erwerbsfähige Hilfebedürftige Bestand 4.749.979 4.805.409 4.868.411 -145.604 -3,0 dav.: 51 % Frauen 2.423.658 2.450.248 2.478.210 -73.407 -2,9 49 % Männer 2.326.321 2.355.161 2.390.201 -72.197 -3,0 17,6 % unter 25 Jahre 835.589 860.374 887.490 -59.515 -6,6 56,8 % 25 bis unter 50 Jahre 2.698.118 2.727.104 2.760.189 -103.299 -3,7 25,6 % 50 bis unter 65 Jahre 1.216.271 1.217.931 1.220.732 +17.209 +1,4 20,1 % Ausländer 954.671 960.475 962.862 -3.891 -0,4 Zugang insgesamt 167.711 175.004 187.831 -16.946 -9,2 dar.: vorheriger SGB II Leistungsbezug (< 3 Monate) 56.427 64.665 67.726 +4.678 +9,0 dar.: vorheriger Arbeitslosengeld-Bezug (< 3 Monate) 17.303 18.854 19.922 -5.476 -24,0 gleichzeitig Arbeitslosengeld-Bezug (Aufstocker) 9.033 10.645 11.875 -4.356 -32,5 Abgang insgesamt 227.977 243.868 250.276 +21.484 +10,4 dar.: erneuter SGB II Leistungsbezug innerhalb von 3 Mon. 52.154 57.345 69.627 +3.972 +8,2 Nichterwerbsfähige Hilfebedürftige Bestand 1.787.216 1.799.431 1.814.288 -37.034 -2,0 dav.: 95,7 % unter 15 Jahre 1.710.491 1.722.698 1.737.057 -37.989 -2,2 4,3 % 15 bis unter 65 Jahre 76.723 76.725 77.226 +963 +1,3 14,9 % Ausländer 265.527 267.036 267.534 -11.529 -4,2 Zugang insgesamt 60.045 64.952 76.390 -4.684 -7,2 dar.: vorheriger SGB II Leistungsbezug (< 3 Monate) 18.472 22.390 24.881 +3.210 +21,0 Abgang insgesamt 66.253 73.073 73.471 +10.464 +18,8 dar.: erneuter SGB II Leistungsbezug innerhalb von 3 Mon. 17.288 19.544 24.460 +3.117 +22,0 Hilfequoten bezogen auf die Bevölkerung 3) im jeweiligen Alter in Prozent (bzw. Veränderung absolut in Prozentpunkten) hilfebedürftige Personen insgesamt (0 bis 65 Jahre) 10,1 10,2 10,3 -0,3 . erwerbsfähige Hilfebedürftige (15 bis 65 Jahre) 8,8 8,9 9,0 -0,3 . Frauen (15 bis 65 Jahre) 9,1 9,2 9,3 -0,3 . Männer (15 bis 65 Jahre) 8,5 8,6 8,8 -0,3 . unter 25 Jahre 9,0 9,3 9,6 -0,6 . 25 bis unter 50 Jahre 9,4 9,5 9,6 -0,4 . 50 bis unter 65 Jahre 7,7 7,7 7,7 +0,1 . Ausländer (15 bis 65 Jahre) 16,7 16,8 16,9 -0,1 . nichterwerbsfähige Hilfebedürftige (unter 15 Jahre) 15,5 15,6 15,8 -0,3 . Datenstand: Februar 2011 © Statistik der Bundesagentur für Arbeit Quelle: Bundesagentur für Arbeit 1) jeweils ermittelt auf Basis aller Bedarfsgemeinschaften im Berichtsmonat 2) Arbeitslosengeld II- Regelleistung, Mehrbedarf, Leistungen nach § 23 und Arbeitslosengeld Zuschlag (§ 24 SGB II); ohne Leistungen für Unterkunft 3) Bevölkerungsdaten mit Stand 31.12.2009; Statistisches Bundesamt 72
  • 73.
    Tabellenanhang zum Monatsbericht Februar 2011 6.5 Grundsicherung für Arbeitsuchende nach dem SGB II Westdeutschland Februar 2011 endgültige Daten mit Wartezeit von 3 Monaten Veränderung Oktober 2010 zum 2010 Vorjahresmonat Merkmale Oktober September August absolut relativ in % 1 2 3 4 5 Bedarfsgemeinschaften Bestand 2.311.720 2.331.311 2.356.242 -22.880 -1,0 dar.: 54,1 % mit 1 Person 1.251.206 1.259.258 1.271.868 +8.268 +0,7 20,3 % mit 2 Personen 469.310 473.067 477.827 -11.471 -2,4 12,5 % mit 3 Personen 287.946 291.475 296.000 -10.966 -3,7 7,7 % mit 4 Personen 178.846 181.320 183.643 -6.039 -3,3 5,4 % mit 5 und mehr Personen 124.411 126.191 126.904 -2.673 -2,1 Personen pro Bedarfsgemeinschaft 1,9 1,9 1,9 -0,02 -0,9 Zugang insgesamt 90.601 91.975 98.025 -8.381 -8,5 dar.: vorheriger SGB II Leistungsbezug (< 3Monate) 24.680 26.931 27.080 +2.702 +12,3 Abgang insgesamt 110.219 116.998 120.384 +13.542 +14,0 dar.: erneuter SGB II Leistungsbezug innerhalb von 3 Mon. 23.013 25.015 28.134 +2.277 +11,0 Leistungen pro Bedarfsgemeinschaft in Euro insgesamt 867,95 866,89 899,30 -15,93 -1,8 dav.: Arbeitslosengeld II 1) und 2) 342,16 343,23 351,05 -9,08 -2,6 Sozialgeld1) 15,23 15,32 40,54 -5,99 -28,2 Leistungen für Unterkunft und Heizung1) 344,30 341,51 340,71 -1,32 -0,4 Sozialversicherungsleistung1) 160,73 160,63 160,68 +0,37 +0,2 sonstige Leistungen1) 5,53 6,19 6,31 +0,11 +2,0 Personen in Bedarfsgemeinschaften Bestand 4.460.517 4.505.339 4.554.476 -85.728 -1,9 dav.: 71,2 % erwerbsfähige Hilfebedürftige 3.175.275 3.211.003 3.250.400 -62.089 -1,9 28,8 % Nichterwerbsfähige Hilfebedürftige 1.285.242 1.294.336 1.304.076 -23.639 -1,8 Erwerbsfähige Hilfebedürftige Bestand 3.175.275 3.211.003 3.250.400 -62.089 -1,9 dav.: 51,9 % Frauen 1.647.606 1.665.113 1.682.389 -32.249 -1,9 48,1 % Männer 1.527.669 1.545.890 1.568.011 -29.840 -1,9 18,5 % unter 25 Jahre 586.988 602.961 620.026 -27.324 -4,4 56,8 % 25 bis unter 50 Jahre 1.803.971 1.822.984 1.843.827 -51.482 -2,8 24,7 % 50 bis unter 65 Jahre 784.315 785.058 786.547 +16.716 +2,2 24,9 % Ausländer 791.973 797.041 799.544 -4.126 -0,5 Zugang insgesamt 116.890 124.557 133.992 -13.237 -10,2 dar.: vorheriger SGB II Leistungsbezug (< 3 Monate) 38.543 47.005 47.402 +3.504 +10,0 dar.: vorheriger Arbeitslosengeld-Bezug (< 3 Monate) 12.200 13.253 14.244 -4.164 -25,4 gleichzeitig Arbeitslosengeld-Bezug (Aufstocker) 5.691 6.106 7.546 -2.949 -34,1 Abgang insgesamt 156.351 168.577 174.897 +19.098 +13,9 dar.: erneuter SGB II Leistungsbezug innerhalb von 3 Mon. 35.305 39.840 50.127 +3.122 +9,7 Nichterwerbsfähige Hilfebedürftige Bestand 1.285.242 1.294.336 1.304.076 -23.639 -1,8 dav.: 95,6 % unter 15 Jahre 1.228.302 1.237.490 1.246.979 -24.708 -2,0 4,4 % 15 bis unter 65 Jahre 56.938 56.838 57.092 +1.072 +1,9 17,8 % Ausländer 228.734 230.010 230.507 -9.827 -4,1 Zugang insgesamt 43.735 49.052 58.006 -4.560 -9,4 dar.: vorheriger SGB II Leistungsbezug (< 3 Monate) 12.989 17.399 18.521 +2.052 +18,8 Abgang insgesamt 48.439 53.792 55.022 +8.302 +20,7 dar.: erneuter SGB II Leistungsbezug innerhalb von 3 Mon. 12.120 14.262 18.704 +2.122 +21,2 Hilfequoten bezogen auf die Bevölkerung 3) im jeweiligen Alter in Prozent (bzw. Veränderung absolut in Prozentpunkten) hilfebedürftige Personen insgesamt (0 bis 65 Jahre) 8,5 8,6 8,7 -0,2 . erwerbsfähige Hilfebedürftige (15 bis 65 Jahre) 7,4 7,5 7,6 -0,1 . Frauen (15 bis 65 Jahre) 7,7 7,8 7,9 -0,2 . Männer (15 bis 65 Jahre) 7,0 7,1 7,2 -0,1 . unter 25 Jahre 7,8 8,0 8,2 -0,4 . 25 bis unter 50 Jahre 7,8 7,9 8,0 -0,2 . 50 bis unter 65 Jahre 6,3 6,3 6,3 +0,1 . Ausländer (15 bis 65 Jahre) 15,7 15,8 15,8 -0,1 . nichterwerbsfähige Hilfebedürftige (unter 15 Jahre) 13,4 13,5 13,6 -0,3 . Datenstand: Februar 2011 © Statistik der Bundesagentur für Arbeit Quelle: Bundesagentur für Arbeit 1) jeweils ermittelt auf Basis aller Bedarfsgemeinschaften im Berichtsmonat 2) Arbeitslosengeld II- Regelleistung, Mehrbedarf, Leistungen nach § 23 und Arbeitslosengeld Zuschlag (§ 24 SGB II); ohne Leistungen für Unterkunft 3) Bevölkerungsdaten mit Stand 31.12.2009; Statistisches Bundesamt 73
  • 74.
    Tabellenanhang zum Monatsbericht Februar 2011 6.6 Grundsicherung für Arbeitsuchende nach dem SGB II Ostdeutschland Februar 2011 endgültige Daten mit Wartezeit von 3 Monaten Veränderung Oktober 2010 zum 2010 Vorjahresmonat Merkmale Oktober September August absolut relativ in % 1 2 3 4 5 Bedarfsgemeinschaften Bestand 1.186.856 1.198.507 1.212.618 -43.613 -3,5 dar.: 58,6 % mit 1 Person 695.649 701.404 707.700 -12.905 -1,8 21,6 % mit 2 Personen 256.013 258.588 261.832 -15.217 -5,6 10,9 % mit 3 Personen 129.245 131.156 134.100 -10.118 -7,3 5,8 % mit 4 Personen 68.325 69.373 70.655 -4.235 -5,8 3,2 % mit 5 und mehr Personen 37.624 37.986 38.331 -1.138 -2,9 Personen pro Bedarfsgemeinschaft 1,7 1,8 1,8 -0,02 -0,9 Zugang insgesamt 41.169 40.070 41.928 -2.446 -5,6 dar.: vorheriger SGB II Leistungsbezug (< 3Monate) 12.078 11.344 12.394 +1.078 +9,8 Abgang insgesamt 52.641 54.028 54.057 +2.861 +5,7 dar.: erneuter SGB II Leistungsbezug innerhalb von 3 Mon. 11.577 11.818 11.903 +880 +8,2 Leistungen pro Bedarfsgemeinschaft in Euro insgesamt 790,53 786,96 809,51 -12,34 -1,5 dav.: Arbeitslosengeld II 1) und 2) 325,89 326,60 331,78 -8,41 -2,5 Sozialgeld1) 9,70 9,71 28,14 -3,78 -28,1 Leistungen für Unterkunft und Heizung1) 289,20 284,72 283,58 -0,28 -0,1 Sozialversicherungsleistung1) 161,58 161,46 161,50 +0,38 +0,2 sonstige Leistungen1) 4,16 4,47 4,51 -0,24 -5,5 Personen in Bedarfsgemeinschaften Bestand 2.076.678 2.099.501 2.128.223 -96.910 -4,5 dav.: 75,8 % erwerbsfähige Hilfebedürftige 1.574.704 1.594.406 1.618.011 -83.515 -5,0 24,2 % Nichterwerbsfähige Hilfebedürftige 501.974 505.095 510.212 -13.395 -2,6 Erwerbsfähige Hilfebedürftige Bestand 1.574.704 1.594.406 1.618.011 -83.515 -5,0 dav.: 49,3 % Frauen 776.052 785.135 795.821 -41.158 -5,0 50,7 % Männer 798.652 809.271 822.190 -42.357 -5,0 15,8 % unter 25 Jahre 248.601 257.413 267.464 -32.191 -11,5 56,8 % 25 bis unter 50 Jahre 894.147 904.120 916.362 -51.817 -5,5 27,4 % 50 bis unter 65 Jahre 431.956 432.873 434.185 +493 +0,1 10,3 % Ausländer 162.698 163.434 163.318 +235 +0,1 Zugang insgesamt 50.821 50.447 53.839 -3.709 -6,8 dar.: vorheriger SGB II Leistungsbezug (< 3 Monate) 17.884 17.660 20.324 +1.174 +7,0 dar.: vorheriger Arbeitslosengeld-Bezug (< 3 Monate) 5.103 5.601 5.678 -1.312 -20,5 gleichzeitig Arbeitslosengeld-Bezug (Aufstocker) 3.342 4.539 4.330 -1.406 -29,6 Abgang insgesamt 71.626 75.291 75.379 +2.386 +3,4 dar.: erneuter SGB II Leistungsbezug innerhalb von 3 Mon. 16.849 17.505 19.500 +850 +5,3 Nichterwerbsfähige Hilfebedürftige Bestand 501.974 505.095 510.212 -13.395 -2,6 dav.: 96,1 % unter 15 Jahre 482.189 485.208 490.078 -13.281 -2,7 3,9 % 15 bis unter 65 Jahre 19.785 19.887 20.134 -109 -0,5 7,3 % Ausländer 36.793 37.026 37.027 -1.702 -4,4 Zugang insgesamt 16.310 15.900 18.384 -124 -0,8 dar.: vorheriger SGB II Leistungsbezug (< 3 Monate) 5.483 4.991 6.360 +1.158 +26,8 Abgang insgesamt 17.814 19.281 18.449 +2.162 +13,8 dar.: erneuter SGB II Leistungsbezug innerhalb von 3 Mon. 5.168 5.282 5.756 +995 +23,8 Hilfequoten bezogen auf die Bevölkerung 3) im jeweiligen Alter in Prozent (bzw. Veränderung absolut in Prozentpunkten) hilfebedürftige Personen insgesamt (0 bis 65 Jahre) 16,4 16,6 16,8 -0,8 . erwerbsfähige Hilfebedürftige (15 bis 65 Jahre) 14,5 14,7 14,9 -0,8 . Frauen (15 bis 65 Jahre) 14,7 14,9 15,1 -0,8 . Männer (15 bis 65 Jahre) 14,3 14,5 14,8 -0,8 . unter 25 Jahre 14,7 15,2 15,8 -1,9 . 25 bis unter 50 Jahre 15,5 15,7 15,9 -0,9 . 50 bis unter 65 Jahre 12,8 12,8 12,8 +0,0 . Ausländer (15 bis 65 Jahre) 25,2 25,3 25,3 +0,0 . nichterwerbsfähige Hilfebedürftige (unter 15 Jahre) 26,1 26,3 26,6 -0,7 . Datenstand: Februar 2011 © Statistik der Bundesagentur für Arbeit Quelle: Bundesagentur für Arbeit 1) jeweils ermittelt auf Basis aller Bedarfsgemeinschaften im Berichtsmonat 2) Arbeitslosengeld II- Regelleistung, Mehrbedarf, Leistungen nach § 23 und Arbeitslosengeld Zuschlag (§ 24 SGB II); ohne Leistungen für Unterkunft 3) Bevölkerungsdaten mit Stand 31.12.2009; Statistisches Bundesamt 74
  • 75.
    Tabellenanhang zum Monatsbericht Februar 2011 7.1 Bestand gemeldete Arbeitsstellen*) Deutschland Februar 2011 Bestand gemeldete Arbeitsstellen Saisonbereinigte Werte Veränderung gegenüber dar. (Sp. 1) Bestand dar. (Sp. 5) Vorjahr sozialversiche- gemeldete sozialversiche- Jahr/Monat Anzahl Arbeitsstellen Vorjahresmonat rungspflichtige rungspflichtige absolut in% Stellen in Tausend Stellen 1 2 3 4 5 6 Jahr 20071) 422.721 67.126 18,9 389.154 x x Jahr 20081) 388.675 -34.046 -8,1 361.215 x x Jahr 20091) 300.516 -88.159 -22,7 274.251 x x Jahr 20101) 359.038 58.522 19,5 325.960 x x 2009 Januar 301.542 -49.310 -14,1 279.037 343 319 Februar 317.512 -58.312 -15,5 293.239 335 309 März 317.114 -75.024 -19,1 293.585 321 296 April 305.446 -89.286 -22,6 281.856 305 281 Mai 298.638 -99.109 -24,9 273.784 293 269 Juni 296.958 -120.578 -28,9 271.523 284 260 Juli 297.723 -124.428 -29,5 271.978 279 255 August 299.970 -116.794 -28,0 274.110 281 256 September 301.912 -107.164 -26,2 271.488 287 257 Oktober 297.636 -95.095 -24,2 267.167 289 260 November 290.577 -76.529 -20,8 260.881 296 266 Dezember 281.162 -46.281 -14,1 252.366 306 274 2010 Januar 271.338 -30.204 -10,0 242.143 308 277 Februar 297.721 -19.791 -6,2 266.970 313 281 März 319.889 2.775 0,9 288.120 323 291 April 334.800 29.354 9,6 301.880 335 301 Mai 355.322 56.684 19,0 321.150 349 314 Juni 370.047 73.089 24,6 334.465 355 321 Juli 390.824 93.101 31,3 354.746 367 333 August 396.365 96.395 32,1 361.650 373 339 September 397.640 95.728 31,7 364.386 378 346 Oktober 400.555 102.919 34,6 367.032 389 357 November 394.149 103.572 35,6 360.642 400 367 Dezember 379.808 98.646 35,1 348.331 411 378 2011 Januar 374.671 103.333 38,1 343.913 424 392 Februar 417.224 119.503 40,1 384.367 439 404 März April Mai Juni Juli August September Oktober November Dezember Datenstand: Februar 2011 © Statistik der Bundesagentur für Arbeit Quelle: Statistik der Bundesagentur für Arbeit , saisonbereinigte Werte: Institut für Arbeitsmarkt- und Berufsforschung 1) Jahresdurchschnittswerte *) Weitergehende Informationen sind dem Methodenbericht „Umstellung der Statistik der gemeldeten Arbeitsstellen“ im Internet http://statistik.arbeitsagentur.de/Navigation/Statistik/Grundlagen/Methodenberichte/Methodenberichte-Nav.html zu entnehmen. 75
  • 76.
    Tabellenanhang zum Monatsbericht Februar 2011 7.2 Bestand gemeldete Arbeitsstellen*) Westdeutschland Februar 2011 Bestand gemeldete Arbeitsstellen Saisonbereinigte Werte Veränderung gegenüber dar. (Sp. 1) Bestand dar. (Sp. 5) Vorjahr sozialversiche- gemeldete sozialversiche- Jahr/Monat Anzahl Arbeitsstellen Vorjahresmonat rungspflichtige rungspflichtige absolut in% Stellen in Tausend Stellen 1 2 3 4 5 6 Jahr 20071) 359.227 60.157 20,1 330.083 x x Jahr 20081) 333.238 -25.989 -7,2 309.741 x x Jahr 20091) 250.326 -82.912 -24,9 228.295 x x Jahr 20101) 299.250 48.925 19,5 271.129 x x 2009 Januar 255.872 -45.609 -15,1 236.855 290 270 Februar 266.815 -55.671 -17,3 246.355 282 260 März 263.781 -71.865 -21,4 244.023 269 248 April 252.659 -85.128 -25,2 232.968 254 234 Mai 246.820 -94.625 -27,7 225.872 243 223 Juni 246.022 -112.218 -31,3 224.505 236 216 Juli 247.408 -116.196 -32,0 225.631 231 211 August 249.597 -108.989 -30,4 227.914 233 212 September 251.505 -99.569 -28,4 225.759 238 213 Oktober 248.135 -88.426 -26,3 222.708 240 215 November 241.582 -72.021 -23,0 217.096 245 220 Dezember 233.710 -44.632 -16,0 209.852 253 226 2010 Januar 224.514 -31.358 -12,3 200.114 254 228 Februar 245.844 -20.971 -7,9 219.298 259 232 März 261.912 -1.869 -0,7 235.157 267 240 April 274.838 22.179 8,8 247.037 277 249 Mai 293.773 46.953 19,0 264.817 290 261 Juni 307.613 61.591 25,0 277.171 296 267 Juli 326.947 79.539 32,1 296.005 306 277 August 333.375 83.778 33,6 303.351 312 283 September 334.156 82.651 32,9 305.855 316 289 Oktober 337.082 88.947 35,8 308.702 326 298 November 330.927 89.345 37,0 302.648 335 306 Dezember 320.020 86.310 36,9 293.394 345 316 2011 Januar 314.393 89.879 40,0 288.383 355 328 Februar 347.969 102.125 41,5 320.104 367 338 März April Mai Juni Juli August September Oktober November Dezember Datenstand: Februar 2011 © Statistik der Bundesagentur für Arbeit Quelle: Statistik der Bundesagentur für Arbeit , saisonbereinigte Werte: Institut für Arbeitsmarkt- und Berufsforschung 1) Jahresdurchschnittswerte *) Weitergehende Informationen sind dem Methodenbericht „Umstellung der Statistik der gemeldeten Arbeitsstellen“ im Internet http://statistik.arbeitsagentur.de/Navigation/Statistik/Grundlagen/Methodenberichte/Methodenberichte-Nav.html zu entnehmen. 76
  • 77.
    Tabellenanhang zum Monatsbericht Februar 2011 7.3 Bestand gemeldete Arbeitsstellen*) Ostdeutschland Februar 2011 Bestand gemeldete Arbeitsstellen Saisonbereinigte Werte Veränderung gegenüber dar. (Sp. 1) Bestand dar. (Sp. 5) Vorjahr sozialversiche- gemeldete sozialversiche- Jahr/Monat Anzahl Arbeitsstellen Vorjahresmonat rungspflichtige rungspflichtige absolut in% Stellen in Tausend Stellen 1 2 3 4 5 6 Jahr 20071) 63.494 6.969 12,3 59.072 x x Jahr 20081) 55.437 -8.057 -12,7 51.474 x x Jahr 20091) 50.190 -5.247 -9,5 45.956 x x Jahr 20101) 59.788 9.598 19,1 54.831 x x 2009 Januar 45.670 -3.701 -7,5 42.182 53 49 Februar 50.697 -2.641 -5,0 46.884 53 49 März 53.333 -3.159 -5,6 49.562 52 48 April 52.787 -4.158 -7,3 48.888 51 47 Mai 51.818 -4.484 -8,0 47.912 50 46 Juni 50.936 -8.360 -14,1 47.018 48 44 Juli 50.315 -8.232 -14,1 46.347 48 44 August 50.373 -7.805 -13,4 46.196 48 44 September 50.407 -7.595 -13,1 45.729 49 44 Oktober 49.501 -6.669 -11,9 44.459 49 45 November 48.995 -4.508 -8,4 43.785 51 46 Dezember 47.452 -1.649 -3,4 42.514 53 48 2010 Januar 46.824 1.154 2,5 42.029 54 49 Februar 51.877 1.180 2,3 47.672 54 49 März 57.977 4.644 8,7 52.963 56 51 April 59.962 7.175 13,6 54.843 58 52 Mai 61.549 9.731 18,8 56.333 59 53 Juni 62.434 11.498 22,6 57.294 59 54 Juli 63.877 13.562 27,0 58.741 61 56 August 62.990 12.617 25,0 58.299 61 56 September 63.484 13.077 25,9 58.531 62 57 Oktober 63.473 13.972 28,2 58.330 63 59 November 63.222 14.227 29,0 57.994 65 61 Dezember 59.788 12.336 26,0 54.937 66 62 2011 Januar 60.278 13.454 28,7 55.530 69 64 Februar 69.255 17.378 33,5 64.263 72 66 März April Mai Juni Juli August September Oktober November Dezember Datenstand: Februar 2011 © Statistik der Bundesagentur für Arbeit Quelle: Statistik der Bundesagentur für Arbeit , saisonbereinigte Werte: Institut für Arbeitsmarkt- und Berufsforschung 1) Jahresdurchschnittswerte *) Weitergehende Informationen sind dem Methodenbericht „Umstellung der Statistik der gemeldeten Arbeitsstellen“ im Internet http://statistik.arbeitsagentur.de/Navigation/Statistik/Grundlagen/Methodenberichte/Methodenberichte-Nav.html zu entnehmen. 77
  • 78.
    Tabellenanhang zum Monatsbericht Februar 2011 7.4 Der Bundesagentur (BA) bekanntes Stellenangebot Deutschland Februar 2011 gem. Stellen für Freiberufler, Selbständige, Gemeldete Arbeitsstellen Stellenindex der BA Private Arbeitsvermittlung Jahr / Monat (BA-X) Zugang Bestand Zugang Bestand 1 2 3 4 5 2009 Januar 99.315 301.542 1.812 8.326 125 Februar 141.247 317.512 2.760 8.570 124 März 131.407 317.114 2.549 8.810 118 April 134.558 305.446 2.393 8.895 114 Mai 134.794 298.638 2.431 8.693 110 Juni 134.796 296.958 2.389 8.388 107 Juli 151.177 297.723 2.672 8.218 107 August 139.410 299.970 2.586 8.556 108 September 151.644 301.912 2.254 8.293 112 Oktober 146.471 297.636 2.487 8.642 112 November 134.419 290.577 2.228 8.438 113 Dezember 119.014 281.162 1.619 8.005 116 2010 Januar 106.308 271.338 1.411 7.237 119 Februar 144.134 297.721 2.549 8.179 120 März 153.255 319.889 2.032 8.297 125 April 169.883 334.800 2.199 8.432 130 Mai 183.153 355.322 2.396 8.678 135 Juni 184.191 370.047 2.397 8.586 137 Juli 200.906 390.824 2.422 8.940 140 August 184.963 396.365 2.155 8.994 142 September 180.773 397.640 2.409 8.554 142 Oktober 177.008 400.555 2.416 8.659 145 November 171.788 394.149 2.330 8.685 150 Dezember 160.854 379.808 1.892 8.107 156 2011 Januar 135.775 374.671 1.348 7.201 160 Februar 199.968 417.224 1.796 7.091 166 März April Mai Juni Juli August September Oktober November Dezember Datenstand: Februar 2011 © Statistik der Bundesagentur für Arbeit Quelle: Statistik der Bundesagentur für Arbeit 78
  • 79.
    Tabellenanhang zum Monatsbericht Februar 2011 8.1 Ausgewählte arbeitsmarktpolitische Instrumente - für Personen im Rechtskreis SGB III und SGB II - mit Förderinformationen der zkT7) Deutschland Februar 2011 Bestand Zugang seit Jahresbeginn Veränderung Veränderung Veränderung Februar 2011 Veränderung Februar 2011 Januar 2011 Veränderung Instrumente (Sp. 1) gg. (Sp. 2) gg. (Sp. 3) gg. (Sp. 7) gg. November 2010 (Sp. 9) gg. der Arbeitsmarktpolitik (vorläufig und (vorläufig und Vorjahres- Vorjahres- Vorjahres- (vorläufig und Vorjahres- 2011 Vorjahres- hochgerechnet) hochgerechnet) monat in % monat in % monat in % hochgerechnet) monat in % zeitraum in % 1 2 3 4 5 6 7 8 9 10 Vermittlungsunterstützende Leistungen 183.076 171.076 198.440 -34,4 -34,9 -34,8 288.026 -19,5 519.562 -25,9 dar. eingelöste Vermittlungsgutscheine (bewilligt 1. Rate) 1) x x x x x x 1.264 -53,0 4.909 -38,3 1) 8) 252 244 987 -94,7 -96,7 -96,7 33 -87,1 72 -88,2 Beauftragung Dritter mit der Vermittlung (Restabwicklung) Förderungen aus dem Vermittlungsbudget 1) x x x x x x 178.317 -11,4 321.855 -23,1 Teilnahmen an Maßnahmen zur Aktivierung und berufl. Eingliederung 182.822 170.830 197.448 -33,3 -32,9 -27,7 108.234 -29,4 192.355 -29,6 dar. bei einem Arbeitgeber 1) 10.658 9.968 11.465 -32,3 -12,1 -23,9 30.448 -23,0 51.327 -20,6 Qualifizierung 207.739 212.107 226.911 -5,8 -4,2 -11,3 28.787 -48,2 54.943 -42,7 dar. Berufliche Weiterbildung 6) 205.751 209.651 222.065 -0,2 1,4 -5,0 27.821 -36,0 53.064 -27,0 ESF-Qualifizierung während Kurzarbeit 1) 1.457 1.862 3.918 -86,9 -84,4 -76,6 748 -93,1 1.453 -92,9 Förderung der Berufsausbildung (ohne BAB) 356.729 355.016 382.225 -10,4 -9,7 -3,7 12.984 -62,9 26.208 -56,7 Vertiefte und erweiterte Berufsorientierung 1) 5) 24.698 25.596 55.112 -61,0 -51,8 -8,0 867 -95,1 3.382 -88,5 Berufsvorbereitende Bildungsmaßnahmen 78.303 70.689 69.652 0,2 -9,5 -8,6 5.471 -1,9 10.410 0,6 Berufsausbildung Benachteiligter 1) 117.271 124.979 128.304 -8,7 -7,1 -6,1 2.792 -48,2 5.092 -44,5 Einstiegsqualifizierung n. § 235b SGB III 25.522 20.813 17.375 4,5 -6,6 -6,3 2.487 -26,5 4.542 -23,8 besondere Maßnahmen zur Ausbildung behinderter Menschen 42.669 42.513 43.333 -1,8 -4,7 -5,3 298 -31,2 538 -32,5 Ausbildungsbonus 1) 33.196 33.883 34.216 20,8 23,3 26,7 41 -92,9 199 -84,0 Berufseinstiegsbegleitung 1) 5) 24.771 25.771 23.158 19,0 24,5 18,1 321 -49,8 550 -60,1 Berufsausbildungsbeihilfe w.e. beruflichen Ausbildung (BAB) 1) ... ... 123.113 x x -4,6 ... x ... x Sonstige Förderung der Berufsausbildung 1) 10.299 10.772 11.075 -12,7 -12,7 -16,2 707 -43,1 1.495 -36,2 Beschäftigungsbegleitende Leistungen 313.175 320.154 351.428 -13,2 -11,7 -7,2 24.784 -31,8 57.556 -25,7 Förderung abhängiger Beschäftigung 172.814 176.506 200.019 -17,5 -17,1 -13,6 15.313 -33,1 33.301 -27,5 Eingliederungszuschüsse (einschl. § 421f, § 421p SGB III) 97.431 99.624 115.061 -16,8 -17,2 -15,5 12.661 -25,1 25.954 -21,2 Eingliederungszuschüsse f. schwerbehinderte Menschen (einschl. § 421f SGB III) 13.144 13.116 13.423 -0,4 -0,8 x 593 -19,3 1.423 -11,8 Eingliederungsgutschein 4.111 4.272 4.670 -13,9 -8,4 2,3 133 -71,4 341 -64,2 Entgeltsicherung für Ältere nach § 421j SGB III 1) 4) 18.161 18.403 19.798 27,6 31,5 37,9 89 -91,5 1.066 -50,6 Arbeitsentgeltzuschuss bei berufl. Weiterbildung Beschäftigter 9.839 9.081 9.270 1,7 -9,9 -22,8 370 -69,5 1.176 -51,7 Einstiegsgeld - Variante: Beschäftigung 7.656 8.095 9.966 2,9 7,7 15,8 1.281 -16,4 2.744 -6,9 Beschäftigungszuschuss nach § 16e SGB II 22.076 23.502 27.336 -47,6 -44,3 -33,7 151 -81,6 527 -78,9 Sonstige Förderung abhängiger Beschäftigung 396 413 495 -56,1 -56,6 -61,0 35 -80,0 70 -81,8 Förderung der Selbständigkeit 140.361 143.648 151.409 -7,4 -4,0 3,0 9.471 -29,6 24.255 -23,1 dar. Gründungszuschuss 131.336 134.542 141.530 -6,4 -2,7 4,7 8.228 -27,7 21.491 -20,5 Einstiegsgeld - Variante: Selbständigkeit 9.025 9.106 9.879 -19,9 -19,5 -15,8 789 -45,0 1.857 -38,8 Sachmittel für Selbständige § 16c SGB II 1) x x x x x x 454 -28,8 907 -37,7 Beschäftigung schaffende Maßnahmen 209.597 230.034 324.648 -29,1 -23,3 -6,5 39.843 -29,4 91.408 -29,5 Arbeitsgelegenheiten nach § 16d SGB II 207.610 228.339 322.629 -28,9 -22,9 -5,4 39.306 -30,1 90.698 -29,8 darunter: Variante Mehraufwand 181.141 195.667 268.930 -27,0 -21,5 -5,4 36.932 -27,1 85.280 -28,0 Beschäftigungsphase Bürgerarbeit 1) 443 74 - x x x 403 x 477 x Arbeitsbeschaffungsmaßnahmen 1.544 1.621 2.019 -58,1 -57,7 -66,9 134 -32,7 233 -46,6 Sonstiges 48.110 48.660 62.848 -23,4 -23,7 -26,8 2.944 -55,2 6.734 -49,9 Freie Förderung nach § 10 SGB III (Restabwicklung) 1) 392 662 803 -90,3 -86,1 -88,4 - -100,0 x -100,0 sonst. weit. Leistungen nach § 16 (2) S. 1 SGB II (Restabwicklung) 1) 1.822 2.260 4.216 -87,9 -86,3 -85,5 88 -92,3 181 -93,1 Individuelle rehaspezifische Maßnahmen 26.854 25.794 31.449 -1,0 -5,9 -6,9 843 6,2 1.730 -2,7 Freie Förderung nach § 16f SGB II 1) 16.522 17.407 23.858 9,9 28,5 62,5 1.928 -57,2 4.594 -46,3 darunter: Einmalleistungen 1) x x x x x x 159 -58,3 335 -48,7 Unterstützte Beschäftigung Reha 1) 2.520 2.537 2.522 55,2 62,8 87,5 85 -26,1 229 -3,4 Summe der Instrumente mit Einmalleistungen 2) und ohne BAB 1.318.426 1.337.047 1.546.500 -18,5 -16,6 -12,6 397.368 -27,5 756.411 -29,8 Summe der Instrumente ohne Einmalleistungen 2) und ohne BAB 1.318.426 1.337.047 1.546.500 -18,5 -16,6 -12,6 216.973 -36,6 427.985 -34,0 Kommunale Eingliederungsleistungen (flankierende Leistungen) nach § 16a SGB II 1) 3) 37.061 35.867 53.120 -14,8 -10,6 10,7 4.926 -32,9 10.731 -33,2 Kurzarbeiter 9) ... ... ... x x x x x x x Erstellungsdatum: 22.02.2011 DZ-FST © Bundesagentur für Arbeit Quelle: Statistik der Bundesagentur für Arbeit *) Die erhobenen Daten unterliegen grundsätzlich der Geheimhaltung nach § 16 BStatG. Eine Übermittlung von Einzelangaben ist daher ausgeschlossen. Aus diesem Grund werden bei den hier dargestellten Daten auch Zahlenwerte kleiner 3 anonymisiert. Am aktuellen Rand werden die Daten aufgrund von Erfahrungswerten hochgerechnet. Dies gilt jedoch nicht für die Daten der zkT, was ebenso den Vorjahresvergleich einschränkt wie die unterschiedliche Vollständigkeit der von den zkT übermittelten Daten. Endgültige statistische Ergebnisse zum Einsatz arbeitsmarktpolitischer Instrumente stehen erst nach einer Wartezeit von drei Monaten fest. 1) Die Hochrechnung am aktuellen Rand ist derzeit aufgrund fehlender Erfahrungswerte oder technisch nicht realisierbar, darum ist der Vergleich mit Vorjahresergebnissen nur eingeschränkt möglich. 2) Die Einmalleistungen umfassen: Vermittlungsgutschein, Förderungen aus dem Vermittlungsbudget, Sachmittel für Selbständige, sowie Einmalleistungen zu den sonstigen weiteren Leistungen nach § 16 (2) S. 1 SGB II und zur Freien Förderung nach § 16f SGB II 3) Es ist von einer Untererfassung auszugehen, so haben bundesweit für 2010 [Januar bis September, Datenstand Dezember 2010 - endgültige Werte] nur ca. 69 % der Träger Daten zum Einsatz der komm. Eingliederungsleistungen (flankierende Leistungen) erfasst. 4) Als Datengrundlage dienen Zahldaten, die grundsätzlich je Kalendermonat im Nachhinein erfasst werden. Zugänge des aktuellen Berichtsmonats sind somit nur bis zum Ende des Vormonats verfügbar. 5) Aus datenschutzrechtlichen bzw. technischen Gründen werden derzeit nicht alle Teilnahmen erfasst. Bis auf weiteres ist von einer Untererfassung der Teilnahmen auszugehen. 6) Einschließlich der Daten zur Förderung der Teilhabe behinderter Menschen am Arbeitsleben; derzeit nicht trennscharf berichtsfähig. 7) Auf Grund der Trägergebietsreform in Sachsen und Sachsen-Anhalt zum 1. Januar 2011 ergeben sich Untererfassungen bei einzelnen Jobcentern in kommunaler Trägerschaft. 8) Die individuelle Förderung der Teilnehmer mit Beginn ab 01.01.2009 erfolgt auf Grundlage des zum 01.01.2009 eingeführten § 46 SGB III. 79 9) Ab Januar 2009 werden revidierte Werte auf Basis von Abrechnungslisten berichtet, bis Dezember 2008 erfolgt die Ermittlung der Werte auf Basis von Betriebsmeldungen.
  • 80.
    Tabellenanhang zum Monatsbericht Februar 2011 8.2 Ausgewählte arbeitsmarktpolitische Instrumente - für Personen im Rechtskreis SGB III Deutschland Februar 2011 Bestand Zugang seit Jahresbeginn Veränderung Veränderung Veränderung Februar 2011 Veränderung Februar 2011 Januar 2011 Veränderung Instrumente (Sp. 1) gg. (Sp. 2) gg. (Sp. 3) gg. (Sp. 7) gg. November 2010 (Sp. 9) gg. der Arbeitsmarktpolitik (vorläufig und (vorläufig und Vorjahres- Vorjahres- Vorjahres- (vorläufig und Vorjahres- 2011 Vorjahres- hochgerechnet) hochgerechnet) monat in % monat in % monat in % hochgerechnet) monat in % zeitraum in % 1 2 3 4 5 6 7 8 9 10 Vermittlungsunterstützende Leistungen 39.922 35.614 41.940 -68,8 -72,2 -72,2 119.867 -29,4 205.543 -37,0 dar. eingelöste Vermittlungsgutscheine (bewilligt 1. Rate) 1) x x x x x x 276 -74,6 1.667 -55,3 Beauftragung Dritter mit der Vermittlung (Restabwicklung) 1) 8) - - - -100,0 -100,0 -100,0 - x x x Förderungen aus dem Vermittlungsbudget 1) x x x x x x 80.235 -16,2 137.595 -27,9 Teilnahmen an Maßnahmen zur Aktivierung und berufl. Eingliederung 39.922 35.614 41.940 -68,8 -72,0 -70,4 39.356 -46,0 66.281 -49,6 dar. bei einem Arbeitgeber 1) 5.331 4.671 4.691 -41,3 -31,1 -44,0 17.209 -32,8 28.200 -32,2 Qualifizierung 122.790 123.175 121.394 5,6 4,3 -14,8 15.830 -52,9 33.194 -43,5 dar. Berufliche Weiterbildung 6) 121.333 121.313 117.476 15,4 14,5 -6,2 15.082 -33,7 31.741 -16,6 ESF-Qualifizierung während Kurzarbeit 1) 1.457 1.862 3.918 -86,9 -84,4 -76,6 748 -93,1 1.453 -92,9 Förderung der Berufsausbildung (ohne BAB) 307.901 305.357 331.297 -10,5 -9,6 -2,7 11.788 -63,8 23.764 -57,3 Vertiefte und erweiterte Berufsorientierung 1) 5) 24.589 25.485 54.740 -60,8 -51,4 -7,9 865 -95,1 3.373 -88,4 Berufsvorbereitende Bildungsmaßnahmen 78.303 70.689 69.652 0,2 -9,5 -8,6 5.471 -1,9 10.410 0,6 Berufsausbildung Benachteiligter 1) 81.254 87.286 88.867 -8,8 -6,4 -4,8 2.479 -43,5 4.301 -37,2 Einstiegsqualifizierung n. § 235b SGB III 18.683 15.042 12.580 5,4 -7,5 -8,2 1.720 -23,6 3.142 -21,0 besondere Maßnahmen zur Ausbildung behinderter Menschen 38.217 37.890 38.533 0,9 -2,4 -2,7 267 -29,9 495 -30,1 Ausbildungsbonus 1) 33.196 33.883 34.216 20,8 23,3 26,7 41 -92,9 199 -84,0 Berufseinstiegsbegleitung 1) 5) 24.771 25.771 23.158 19,0 24,5 18,1 321 -49,8 550 -60,1 Berufsausbildungsbeihilfe w.e. beruflichen Ausbildung (BAB) 1) ... ... 123.113 x x -4,6 ... x ... x Sonstige Förderung der Berufsausbildung 1) 8.888 9.311 9.551 -13,6 -13,4 -17,4 624 -42,4 1.294 -36,3 Beschäftigungsbegleitende Leistungen 210.567 213.996 229.280 -11,1 -9,7 -7,2 14.919 -36,0 36.195 -28,2 Förderung abhängiger Beschäftigung 79.231 79.454 87.750 -17,9 -19,5 -21,5 6.691 -43,8 14.704 -37,0 Eingliederungszuschüsse (einschl. § 421f, § 421p SGB III) 39.006 39.588 45.594 -33,7 -35,0 -36,2 5.686 -34,7 11.165 -33,3 Eingliederungszuschüsse f. schwerbehinderte Menschen (einschl. § 421f SGB III) 8.230 8.221 8.526 -8,6 -9,1 x 416 -10,0 961 -7,1 Eingliederungsgutschein 4.091 4.252 4.646 -13,9 -8,4 2,2 133 -71,3 341 -64,0 Entgeltsicherung für Ältere nach § 421j SGB III 1) 4) 18.161 18.403 19.798 27,6 31,5 37,9 89 -91,5 1.066 -50,6 Arbeitsentgeltzuschuss bei berufl. Weiterbildung Beschäftigter 9.731 8.975 9.158 2,0 -9,9 -23,0 367 -69,3 1.169 -51,5 Sonstige Förderung abhängiger Beschäftigung 12 15 28 -92,4 -91,9 -92,0 - -100,0 * -96,4 Förderung der Selbständigkeit 131.336 134.542 141.530 -6,4 -2,7 4,7 8.228 -27,7 21.491 -20,5 dar. Gründungszuschuss 131.336 134.542 141.530 -6,4 -2,7 4,7 8.228 -27,7 21.491 -20,5 Beschäftigung schaffende Maßnahmen 820 822 1.038 -60,5 -61,6 -66,3 126 -26,3 221 -37,0 Arbeitsbeschaffungsmaßnahmen 820 822 1.038 -60,5 -61,6 -66,3 126 -26,3 221 -37,0 Sonstiges 29.443 28.666 34.447 -9,7 -14,6 -17,8 915 1,7 1.924 -14,1 Freie Förderung nach § 10 SGB III (Restabwicklung) 1) 392 662 803 -90,3 -86,1 -88,4 - -100,0 x -100,0 Individuelle rehaspezifische Maßnahmen 26.854 25.794 31.449 -1,0 -5,9 -6,9 843 6,2 1.730 -2,7 Unterstützte Beschäftigung Reha 1) 2.197 2.210 2.195 52,9 59,6 81,3 72 -22,6 194 2,6 Summe der Instrumente mit Einmalleistungen 2) und ohne BAB 711.443 707.630 759.396 -17,3 -17,4 -18,0 163.445 -37,2 300.841 -39,1 Summe der Instrumente ohne Einmalleistungen 2) und ohne BAB 711.443 707.630 759.396 -17,3 -17,4 -18,0 82.934 -49,3 161.579 -46,0 Kurzarbeiter 9) ... ... ... x x x x x x x Erstellungsdatum: 22.02.2011 DZ-FST © Bundesagentur für Arbeit Quelle: Statistik der Bundesagentur für Arbeit *) Die erhobenen Daten unterliegen grundsätzlich der Geheimhaltung nach § 16 BStatG. Eine Übermittlung von Einzelangaben ist daher ausgeschlossen. Aus diesem Grund werden bei den hier dargestellten Daten auch Zahlenwerte kleiner 3 anonymisiert. Am aktuellen Rand werden die Daten aufgrund von Erfahrungswerten hochgerechnet. Endgültige statistische Ergebnisse zum Einsatz arbeitsmarktpolitischer Instrumente stehen erst nach einer Wartezeit von drei Monaten fest. 1) Die Hochrechnung am aktuellen Rand ist derzeit aufgrund fehlender Erfahrungswerte oder technisch nicht realisierbar, darum ist der Vergleich mit Vorjahresergebnissen nur eingeschränkt möglich. 2) Die Einmalleistungen umfassen: Vermittlungsgutschein und Förderungen aus dem Vermittlungsbudget 4) Als Datengrundlage dienen Zahldaten, die grundsätzlich je Kalendermonat im Nachhinein erfasst werden. Zugänge des aktuellen Berichtsmonats sind somit nur bis zum Ende des Vormonats verfügbar. 5) Aus datenschutzrechtlichen bzw. technischen Gründen werden derzeit nicht alle Teilnahmen erfasst. Bis auf weiteres ist von einer Untererfassung der Teilnahmen auszugehen. 6) Einschließlich der Daten zur Förderung der Teilhabe behinderter Menschen am Arbeitsleben; derzeit nicht trennscharf berichtsfähig. 8) Die individuelle Förderung der Teilnehmer mit Beginn ab 01.01.2009 erfolgt auf Grundlage des zum 01.01.2009 eingeführten § 46 SGB III. 9) Ab Januar 2009 werden revidierte Werte auf Basis von Abrechnungslisten berichtet, bis Dezember 2008 erfolgt die Ermittlung der Werte auf Basis von Betriebsmeldungen. 80
  • 81.
    Tabellenanhang zum Monatsbericht Februar 2011 7) 8.3 Ausgewählte arbeitsmarktpolitische Instrumente - für Personen im Rechtskreis SGB II - mit Förderinformationen der zkT Deutschland Februar 2011 Bestand Zugang seit Jahresbeginn Veränderung Veränderung Veränderung Februar 2011 Veränderung Februar 2011 Januar 2011 Veränderung Instrumente (Sp. 1) gg. (Sp. 2) gg. (Sp. 3) gg. (Sp. 7) gg. November 2010 (Sp. 9) gg. der Arbeitsmarktpolitik (vorläufig und (vorläufig und Vorjahres- Vorjahres- Vorjahres- (vorläufig und Vorjahres- 2011 Vorjahres- hochgerechnet) hochgerechnet) monat in % monat in % monat in % hochgerechnet) monat in % zeitraum in % 1 2 3 4 5 6 7 8 9 10 Vermittlungsunterstützende Leistungen 143.154 135.462 156.500 -5,2 0,6 1,9 168.159 -10,6 314.019 -16,2 dar. eingelöste Vermittlungsgutscheine (bewilligt 1. Rate) 1) x x x x x x 988 -38,4 3.242 -23,3 Beauftragung Dritter mit der Vermittlung (Restabwicklung) 1) 8) 252 244 987 -94,6 -96,5 -95,5 33 -87,1 72 -88,2 Förderungen aus dem Vermittlungsbudget 1) x x x x x x 98.082 -7,0 184.260 -19,1 Teilnahmen an Maßnahmen zur Aktivierung und berufl. Eingliederung 142.900 135.216 155.508 -2,3 6,1 18,5 68.878 -14,3 126.074 -10,9 dar. bei einem Arbeitgeber 1) 5.327 5.297 6.774 -20,1 16,0 1,4 13.239 -5,1 23.127 0,2 Qualifizierung 84.949 88.932 105.517 -18,4 -14,0 -7,0 12.957 -41,1 21.749 -41,4 dar. Berufliche Weiterbildung 6) 84.418 88.338 104.589 -16,4 -12,4 -3,7 12.739 -38,5 21.323 -38,3 Förderung der Berufsausbildung (ohne BAB) 48.828 49.659 50.928 -9,3 -10,4 -9,9 1.196 -50,4 2.444 -50,3 Vertiefte und erweiterte Berufsorientierung 1) 5) 109 111 372 -85,1 -83,5 -25,7 * -97,1 9 -95,6 Berufsvorbereitende Bildungsmaßnahmen 10) - - - x x x - x x x Berufsausbildung Benachteiligter 1) 36.017 37.693 39.437 -8,4 -8,8 -9,1 313 -68,8 791 -66,0 Einstiegsqualifizierung n. § 235b SGB III 6.839 5.771 4.795 2,0 -4,3 -0,7 767 -32,1 1.400 -29,3 besondere Maßnahmen zur Ausbildung behinderter Menschen 4.452 4.623 4.800 -20,3 -20,3 -22,0 31 -40,4 43 -51,7 Sonstige Förderung der Berufsausbildung 1) 1.411 1.461 1.524 -6,3 -8,4 -8,3 83 -47,5 201 -36,0 Beschäftigungsbegleitende Leistungen 102.608 106.158 122.148 -17,4 -15,4 -7,1 9.865 -24,5 21.361 -21,1 Förderung abhängiger Beschäftigung 93.583 97.052 112.269 -17,1 -15,0 -6,2 8.622 -21,6 18.597 -17,6 Eingliederungszuschüsse (einschl. § 421f, § 421p SGB III) 58.425 60.036 69.467 0,3 1,1 7,5 6.975 -15,0 14.789 -8,6 Eingliederungszuschüsse f. schwerbehinderte Menschen (einschl. § 421f SGB III) 4.914 4.895 4.897 17,0 17,1 x 177 -35,2 462 -20,1 Eingliederungsgutschein 20 20 24 5,3 0,0 41,2 - -100,0 x -100,0 Arbeitsentgeltzuschuss bei berufl. Weiterbildung Beschäftigter 108 106 112 -16,3 -13,8 -7,4 3 -81,3 7 -75,0 Einstiegsgeld - Variante: Beschäftigung 7.656 8.095 9.966 2,9 7,7 15,8 1.281 -16,4 2.744 -6,9 Beschäftigungszuschuss nach § 16e SGB II 22.076 23.502 27.336 -47,6 -44,3 -33,7 151 -81,6 527 -78,9 Sonstige Förderung abhängiger Beschäftigung 384 398 467 -48,5 -48,0 -49,2 35 -75,5 68 -79,3 Förderung der Selbständigkeit 9.025 9.106 9.879 -19,9 -19,5 -15,8 1.243 -40,0 2.764 -38,5 Einstiegsgeld - Variante: Selbständigkeit 9.025 9.106 9.879 -19,9 -19,5 -15,8 789 -45,0 1.857 -38,8 Sachmittel für Selbständige § 16c SGB II 1) x x x x x x 454 -28,8 907 -37,7 Beschäftigung schaffende Maßnahmen 208.777 229.212 323.610 -28,9 -23,0 -6,0 39.717 -29,4 91.187 -29,4 Arbeitsgelegenheiten nach § 16d SGB II 207.610 228.339 322.629 -28,9 -22,9 -5,4 39.306 -30,1 90.698 -29,8 darunter: Variante Mehraufwand 181.141 195.667 268.930 -27,0 -21,5 -5,4 36.932 -27,1 85.280 -28,0 Beschäftigungsphase Bürgerarbeit 1) 443 74 - x x x 403 x 477 x Arbeitsbeschaffungsmaßnahmen 724 799 981 -55,0 -52,7 -67,4 8 -71,4 12 -85,9 Sonstiges 18.667 19.994 28.401 -38,2 -33,8 -35,4 2.029 -64,2 4.810 -57,1 sonst. weit. Leistungen nach § 16 (2) S. 1 SGB II (Restabwicklung) 1) 1.822 2.260 4.216 -87,9 -86,3 -85,5 88 -92,3 181 -93,1 Individuelle rehaspezifische Maßnahmen - - - x x x - x x x Freie Förderung nach § 16f SGB II 1) 16.522 17.407 23.858 9,9 28,5 62,5 1.928 -57,2 4.594 -46,3 darunter: Einmalleistungen 1) x x x x x x 159 -58,3 335 -48,7 Unterstützte Beschäftigung Reha 1) 323 327 327 72,7 89,0 144,0 13 -40,9 35 -27,1 Summe der Instrumente mit Einmalleistungen 2) und ohne BAB 606.983 629.417 787.104 -19,8 -15,7 -6,6 233.923 -18,6 455.570 -22,1 Summe der Instrumente ohne Einmalleistungen 2) und ohne BAB 606.983 629.417 787.104 -19,8 -15,7 -6,6 134.039 -25,1 266.406 -23,7 Kommunale Eingliederungsleistungen (flankierende Leistungen) nach § 16a SGB II 1) 3) 37.061 35.867 53.120 -14,8 -10,6 10,7 4.926 -32,9 10.731 -33,2 Erstellungsdatum: 22.02.2011 DZ-FST © Bundesagentur für Arbeit Quelle: Statistik der Bundesagentur für Arbeit *) Die erhobenen Daten unterliegen grundsätzlich der Geheimhaltung nach § 16 BStatG. Eine Übermittlung von Einzelangaben ist daher ausgeschlossen. Aus diesem Grund werden bei den hier dargestellten Daten auch Zahlenwerte kleiner 3 anonymisiert. Am aktuellen Rand werden die Daten aufgrund von Erfahrungswerten hochgerechnet. Dies gilt jedoch nicht für die Daten der zkT, was ebenso den Vorjahresvergleich einschränkt wie die unterschiedliche Vollständigkeit der von den zkT übermittelten Daten. Endgültige statistische Ergebnisse zum Einsatz arbeitsmarktpolitischer Instrumente stehen erst nach einer Wartezeit von drei Monaten fest. 1) Die Hochrechnung am aktuellen Rand ist derzeit aufgrund fehlender Erfahrungswerte oder technisch nicht realisierbar, darum ist der Vergleich mit Vorjahresergebnissen nur eingeschränkt möglich. 2) Die Einmalleistungen umfassen: Vermittlungsgutschein, Förderungen aus dem Vermittlungsbudget, Sachmittel für Selbständige, sowie Einmalleistungen zu den sonstigen weiteren Leistungen nach § 16 (2) S. 1 SGB II und zur Freien Förderung nach § 16f SGB II 3) Es ist von einer Untererfassung auszugehen, so haben bundesweit für 2010 [Januar bis September, Datenstand Dezember 2010 - endgültige Werte] nur ca. 69 % der Träger Daten zum Einsatz der komm. Eingliederungsleistungen (flankierende Leistungen) erfasst. 5) Aus datenschutzrechtlichen bzw. technischen Gründen werden derzeit nicht alle Teilnahmen erfasst. Bis auf weiteres ist von einer Untererfassung der Teilnahmen auszugehen. 6) Einschließlich der Daten zur Förderung der Teilhabe behinderter Menschen am Arbeitsleben; derzeit nicht trennscharf berichtsfähig. 7) Auf Grund der Trägergebietsreform in Sachsen und Sachsen-Anhalt zum 1. Januar 2011 ergeben sich Untererfassungen bei einzelnen Jobcentern in kommunaler Trägerschaft. 8) Die individuelle Förderung der Teilnehmer mit Beginn ab 01.01.2009 erfolgt auf Grundlage des zum 01.01.2009 eingeführten § 46 SGB III. 9) Ab Januar 2009 werden revidierte Werte auf Basis von Abrechnungslisten berichtet, bis Dezember 2008 erfolgt die Ermittlung der Werte auf Basis von Betriebsmeldungen. 10) Ab Datenstand Februar 2011 rückwirkende Zuordnung der Kostenträgerschaft zu SGB III. 81