d2 Tanabe-Sugano Diagram

                      1A      1E
                        1g      g
      80                              3A
                                        2g

      70

      60                              1T
                                        1g
                                      1T
      1S                                 2g
                                      3T
      50                                 1g
E/B




      40                              3T
                                        2g
                                      1A
                                         1g
      30
      1G
      20                              1E
      3P                                g
      1D                              1T
                                        2g
      10
      3F
                                      3T
      0                                 1g
           0    10    20     30     40
                     ∆o/B
d3 Tanabe-Sugano Diagram

                                 4T
                                   1g A2g
                                      2
      80

      70                                     2A
                                               1g
                                             4T
      60                                       1g



      50                                     4T
                                               2g
E/B




      40
      2F
                                             2T
                                               2g
      30
                                             2T
                                               1g
      20                                     2E
      2G                                       g
      4P
      10
      4F
                                             4A
      0                                        2g
           0   10   20      30     40       50
                     ∆o/B
d4 Tanabe-Sugano Diagram

                               3A
                                 2g A2g
                                    1

      80
                                                5T
      70                                          2g

                                                1T
                                                  1g
      60                                        1A
                                                   2g
      3P
                                                3A
                                                   2g
      50                                        3A
                                                   1g
      1F                                        3T
                                                  2g
E/B




                                                3E
      40                                           g

  3D, 1I
                                                1A
      30                                          1g
 3F, 3G
     3H                                         5E
                                                   g
      20
                                                1E
                                                   g
                                                1T
      10                   3T
                                                  2g
                             1g
      5D            5E
                      g
                                                3T
      0                                           1g
           0   10         20       30     40   50
                           ∆o/B
d5 Tanabe-Sugano Diagram

                                        4A     4T
                                          2g     1g
      80
                                                  4A
                                                    1g
      70
                                                  2A
                                                    1g
      60
      4F
      50                                          2E
                                                     g
      2I                                          2A , 2T
                                                     2g  1g
E/B




                                                  6A
      40                                             1g
      4D                                          4T
                                                    2g
      4G
      30                                          4T
                                                    1g


      20

      10
                           2T
      6S            6A       2g
                      1g
                                                  2T
      0                                             2g
           0   10          20      30   40      50
                            ∆o/B
d6 Tanabe-Sugano Diagram

                              3A 1A 3A 5E 1E
                                2g 1g 2g g  g
      80
                                     1A
                                       2g        3T
                                                   2g
                      3A
      70                2g

                                                        5T
                                                          2g
      60                                                1T
      3P                                                  2g


      50                                                1T
      1F                                                  1g
                                                        3T
E/B




                                                          2g
      40                                                3T
                                                          1g
  1G, 1I
      30
 3F, 3G
     3H
      20

      10          1A
                    1g
      5D       5T
                 2g
                                                        1A
      0                                                   1g
           0     10          20      30     40      50
                              ∆o/B
d7 Tanabe-Sugano Diagram

                              2A 4A 2A 4T
                                2g 2g 1g 1g
      80
                                              4T
                                                2g
      70

      60

      50                                      2T
                                                2g
                                              2T
                                                1g
E/B




      40
      2F


      30                                      4T
                                                1g

      20
      2G
      4P
      10
      4F       4T
                 1g
                                              2T
      0                                         2g
           0   10     20      30    40    50
                       ∆o/B
d8 Tanabe-Sugano Diagram

                     1A          1T     3T
                       1g          2g     1g
      80
                                  1E
                                    g
      70

                                               1T
      60                                       1T
                                                 1g
      1S                                         2g
                                               3T
      50                                         1g
E/B




                                               3T
      40                                         2g

                                               1A
      30                                         1g

      1G
      20                                       1E
      3P                                         g
      1D
      10
      3F
                                               3A
      0                                          2g
           0    10          20   30        40
                       ∆o/B
d2 ν2/ν1 Ratio

        2.6


        2.4


        2.2


        2.0
ν2/ν1




        1.8


        1.6


        1.4


        1.2
              10   15     20   25    30   35   40
                               ∆/B
d3 ν2/ν1 Ratio

        1.8


        1.7


        1.6
ν2/ν1




        1.5


        1.4


        1.3


        1.2
              0   10   20          30   40   50
                            ∆o/B
d8 ν2/ν1 Ratio

        1.8


        1.7


        1.6
ν2/ν1




        1.5


        1.4


        1.3


        1.2
              0   5   10   15   20     25   30   35   40
                                ∆o/B

T sdiagram

  • 1.
    d2 Tanabe-Sugano Diagram 1A 1E 1g g 80 3A 2g 70 60 1T 1g 1T 1S 2g 3T 50 1g E/B 40 3T 2g 1A 1g 30 1G 20 1E 3P g 1D 1T 2g 10 3F 3T 0 1g 0 10 20 30 40 ∆o/B
  • 2.
    d3 Tanabe-Sugano Diagram 4T 1g A2g 2 80 70 2A 1g 4T 60 1g 50 4T 2g E/B 40 2F 2T 2g 30 2T 1g 20 2E 2G g 4P 10 4F 4A 0 2g 0 10 20 30 40 50 ∆o/B
  • 3.
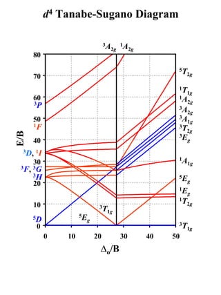
    d4 Tanabe-Sugano Diagram 3A 2g A2g 1 80 5T 70 2g 1T 1g 60 1A 2g 3P 3A 2g 50 3A 1g 1F 3T 2g E/B 3E 40 g 3D, 1I 1A 30 1g 3F, 3G 3H 5E g 20 1E g 1T 10 3T 2g 1g 5D 5E g 3T 0 1g 0 10 20 30 40 50 ∆o/B
  • 4.
    d5 Tanabe-Sugano Diagram 4A 4T 2g 1g 80 4A 1g 70 2A 1g 60 4F 50 2E g 2I 2A , 2T 2g 1g E/B 6A 40 1g 4D 4T 2g 4G 30 4T 1g 20 10 2T 6S 6A 2g 1g 2T 0 2g 0 10 20 30 40 50 ∆o/B
  • 5.
    d6 Tanabe-Sugano Diagram 3A 1A 3A 5E 1E 2g 1g 2g g g 80 1A 2g 3T 2g 3A 70 2g 5T 2g 60 1T 3P 2g 50 1T 1F 1g 3T E/B 2g 40 3T 1g 1G, 1I 30 3F, 3G 3H 20 10 1A 1g 5D 5T 2g 1A 0 1g 0 10 20 30 40 50 ∆o/B
  • 6.
    d7 Tanabe-Sugano Diagram 2A 4A 2A 4T 2g 2g 1g 1g 80 4T 2g 70 60 50 2T 2g 2T 1g E/B 40 2F 30 4T 1g 20 2G 4P 10 4F 4T 1g 2T 0 2g 0 10 20 30 40 50 ∆o/B
  • 7.
    d8 Tanabe-Sugano Diagram 1A 1T 3T 1g 2g 1g 80 1E g 70 1T 60 1T 1g 1S 2g 3T 50 1g E/B 3T 40 2g 1A 30 1g 1G 20 1E 3P g 1D 10 3F 3A 0 2g 0 10 20 30 40 ∆o/B
  • 8.
    d2 ν2/ν1 Ratio 2.6 2.4 2.2 2.0 ν2/ν1 1.8 1.6 1.4 1.2 10 15 20 25 30 35 40 ∆/B
  • 9.
    d3 ν2/ν1 Ratio 1.8 1.7 1.6 ν2/ν1 1.5 1.4 1.3 1.2 0 10 20 30 40 50 ∆o/B
  • 10.
    d8 ν2/ν1 Ratio 1.8 1.7 1.6 ν2/ν1 1.5 1.4 1.3 1.2 0 5 10 15 20 25 30 35 40 ∆o/B