Methoden der Einheitspreis-Kalkulation




                                        Methoden
                               der Einheitspreis-Kalkulation
                                   Einheitspreis Kalkulation




              Divisionskalkulation                     Zuschlagskalkulation
Methoden der Kalkulation - Methoden der Einheitspreis-Kalkulation - Zuschlagskalkulation




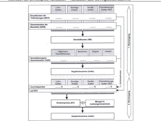
              Einzelkosten der Teilleistungen                             (EKT)
           + Gemeinkosten der Baustelle                                   (GKdB)
           = Herstellkosten                                               (HK)
           + Allgemeine Geschäftskosten                                   (AGK)
           + Bauzinsen                                                    (Z)

           = Selbstkosten                                                 (SK)
           +W
            Wagnis und G i
                i    d Gewinn                                             (W+G)
                                                                          (W G)

           = Angebotssumme (netto)                                        (AGSnetto)
           + Umsatzsteuer zur Zeit 19 %                                   (MwSt.)
           = Angebotssumme (brutto)                                       (AGSbrutto)
Methoden der Einheitspreis-Kalkulation - Zuschlagskalkulation




                                         Methoden
                                der Einheitspreis-Kalkulation
                                    Einheitspreis Kalkulation




              Divisionskalkulation                        Zuschlagskalkulation




                                                            Kalkulation über die
                                                                Angebotssumme



                                                           Kalkulation mit voraus-
                                                          bestimmten Zuschlägen
Methoden der Einheitspreis-Kalkulation - Zuschlagskalkulation




                   Kalkulation über die Angebotsendsumme


Bei dieser Kalkulation werden die Einzelkosten der Teilleistungen, die Gemeinkosten
der Baustelle und die umsatzbezogenen Gemeinkosten für jedes zu kalkulierende
Objekt gesondert ermittelt und zur Angebotssumme zusammengerechnet.
Methoden der Einheitspreis-Kalkulation – Kalkulation über die Angebotsendsumme




Für die Kalkulation sind zwei Rechengänge erforderlich:

      1. Ermittlung der Angebotssumme
      2. Ermittlung der Zuschläge und der Einheitspreise
Methoden der Einheitspreis-Kalkulation – Kalkulation über die Angebotsendsumme
Methoden der Einheitspreis-Kalkulation – Kalkulation über die Angebotsendsumme




                      Ermittlung der Angebotsendsumme

       •   Die Einzelkosten der Teilleistungen werden ermittelt und den Kostenarten
           Lohnkosten, sonstigen Kosten, Gerätekosten oder Fremdleistungskosten
                     ,       g         ,                               g
           zugeordnet.


       •   Ermittlung der Gemeinkosten der Baustelle.


       •   Die Berechnung d H t llk t d h Additi von EKdT und GKdB
           Di B     h     der Herstellkosten durch Addition d GKdB.


       •   Die Selbstkosten ergeben sich durch die Addition von Gemeinkosten der
                              g
           Baustelle, den allgemeinen Geschäftskosten und den Bauzinsen.
           Werden die Kosten für Wagnis und Gewinn hinzugefügt, erhält man die
           Netto-Angebotssumme.
Methoden der Einheitspreis-Kalkulation – Kalkulation über die Angebotsendsumme
Methoden der Einheitspreis-Kalkulation – Kalkulation über die Angebotsendsumme
Methoden der Einheitspreis-Kalkulation – Kalkulation über die Angebotsendsumme




Ermittlung der Selbstkosten:



                                     (7+1) * 100
Für eig. Leistung:                 ------------------- = 9,09 %
                                        100 - 12

                             9,09 % * 296.462 = 26.954,0 EUR

                                   (7+0,5)
                                   (7 0 5) * 100
Für Fremdleistung:                 ------------------- = 8,24 %
                                         100 - 9

                             8,24
                             8 24 % * 53 931 = 4 445 00 EUR
                                      53.931 4.445,00


Die Selbstkosten = 296.462 + 53.931 + 26.954 + 4.445 = 381.822,00 EUR
Methoden der Einheitspreis-Kalkulation – Kalkulation über die Angebotsendsumme




             Ermittlung der Zuschläge und der Einheitspreise


Ermittlung der Zuschlagssätze


Schlüsselkosten oder Umlagekosten sind damit die Summe aus den GKdB, soweit sie
nicht als Einzelkosten erfasst sind, und den umsatzbezogenen Gemeinkosten.

Diese Umlagebetrag ergibt sich durch Differenz zwischen der Netto-Angebotssumme
und der Summe der Einzelkosten. Am einfachsten ist die Bildung eines einheitlichen
Zuschlagssätze für alle Kostenarten
                        Kostenarten.
Methoden der Einheitspreis-Kalkulation – Kalkulation über die Angebotsendsumme




Der Zuschlag Z beträgt



                                  Schlüsselkosten
                          Z = ---------------------------------- * 100 [%]
                                  Summe aller EKdT


    Für unser Beispiel:

                                      118.993,00
                      Z = ---------------------------------- * 100 [%] = 42,9%
                             223.275.00 + 53.931,00
Methoden der Einheitspreis-Kalkulation – Kalkulation über die Angebotsendsumme
Methoden der Einheitspreis-Kalkulation – Kalkulation über die Angebotsendsumme




             Ermittlung der Zuschläge und der Einheitspreise


Ermittlung der Einheispreise

Bei einem Mittellohn von 34,30 €/h errechnet sich der Kalkulationsmittellohn mit
Zuschlag zu:

                                 1,786 * 34,30 = 61,26 €/h
Methoden der Einheitspreis-Kalkulation – Kalkulation über die Angebotsendsumme




          Lohnkosten : 1,7 Std./m2 * 61,26 €/Std. = 104,14 €/m2
Methoden der Einheitspreis-Kalkulation – Kalkulation über die Angebotsendsumme




          Sonstige Kosten : 1,10 * 26,00 €/m2 = 28,60 €/m2
Methoden der Einheitspreis-Kalkulation – Kalkulation über die Angebotsendsumme




                  Einheitspreis : 104,14 + 28,60 = 132,47 €/m2
Methoden der Einheitspreis-Kalkulation – Kalkulation über die Angebotsendsumme




LV-Nr. Menge Ein- Beschreibung                     Lohnstd.        Kosten je Einheit        Angebots-
       lt.
       lt LV heit                                 je Einheit Lohn Gerät Stoffe Fremdl
                                                                                    Fremdl.  preis je
                                                  ML: 34,30 Gesamtzuschlagsfaktoren          Einheit
                                                             1,786    1       1,1    1,05
 35     500   m² Stahlbetondecke über EG
                                                    1,70
                                                    1 70    104,14
                                                            104 14         28,60
                                                                           28 60             134,47
                                                                                             134 47
Methoden der Einheitspreis-Kalkulation – Kalkulation über die Angebotsendsumme




 Kosten der Einbaugerätegruppe:
lfd.Nr.      Bezeichnung        A+V       R   Motorleist Anzahl        A+V+R Motor-      AK
                               [EUR]    [EUR]   ung                    [EUR] l i
                                                                             leistung
                                               [kW]                            [kW]
  1       Lader Case, 1,2 m³   2.150    1.700     63            1        3.850    63     1,1
  2       LKW 19,5 t           3.500    3.000    220            1        6.500   220     1,1
  3       Doppelvibrowalze      550      375       8            1         925        8   1,1
                                                 291                    11.275   291     3,3


KA+V+R/h               = 11 275 / 200
                         11.275                                     = 56 38 EUR /h
                                                                      56,38

Kosten Treibstoff      = 291 kW * 0,2 l/kWh * 1,25 € /l * 1,2       = 87,30 EUR /h

KA+V+R+T+S                                                          =143,68 EUR /h

Kalkulation:

ML: 32,50 EUR /h
Methoden der Einheitspreis-Kalkulation – Kalkulation über die Angebotsendsumme




OZ     Text                                 h/m3      Lohn       Geräte        Soko       E.P
                                                     [€ /m3]     [€ /m3]      [€ /m3]   [€ /m3]

1      Bodeneinbau (20 m³/h)
                                             0,05
       L= 0,05*32,50 *3,3                              5,36
       G= 0 05*143 68
          0,05*143,68                                             7,184
                                                                  7 184
       E.P.= 5,36 + 7,184                                                               12,54
Methoden der Einheitspreis-Kalkulation – Kalkulation über die Angebotsendsumme

Beispiel: Ermittlung der Einzelkosten der Teilleistungen für die drei nachfolgenden Teilleistungen

          a) 400 m² Innenputz, d = 15 mm          ⇒ Material: 125,-- EUR/m³
          b) 50 m³ Mauerwerk 10 DF, d = 30 cm           ⇒ Material: 60,-- EUR/m³
          c) 200 m² Wandfliesen, 20/20 cm, im Dünnbett  ⇒ Material: 23,-- EUR/m²

          mit folgenden Randbedingungen:              ML = 26,60 EUR
                                                           26 60




OZ    LV-Kurztext                                              Menge      h/ME     Lohn     Stoffe    EP       GP

1     Innenputz, d = 15 mm                                      400 m²     0,2
                                 L = 0,2 x 26,60                                    5,32
                                 S = 0,015 x 125,--                                           1,88
                                 EP = (5,32 + 1,88)                                                   7,2
                                 GP = (7,2 x 400)                                                             2.880,00

2     Mauerwerk, d = 30 cm                                      50 m³      4,5
                                 L = 4,5 x 26,60                                   119,70
                                 S = 60,--                                                   60,00
                                 EP = (119,70 + 60)                                                  179,7
                                 GP = 50 x 179,7                                                              8.985,00

3     Fliesen, 20/20 cm                                         200 m²     1,5
                                 L = 1,5 x 26,60                                   39,90
                                 S = 23,--                                                   23,00
                                 EP = (39,90 + 23)                                                   62,9
                                 GP = 62,9 x 200                                                             12.580,00

                                                                                                             24445,00
                                                                                                                  ,      Summe
Methoden der Einheitspreis-Kalkulation – Kalkulation über die Angebotsendsumme




OZ LV‐ Kurztext           Menge     h/E    Lohn    Stoffe   Geräte      EP          GP

   1 Innenputz, d=15 mm   400 m²     0,2    5,32     1,88      0,00          7,2    2880,00


   2 Mauerwerk, d=30 c      50 m³    4,5 119,70     60,00      0,00      179,7      8985,00
     m
   3 Fliesen, 20/20 cm    200 m²     1,5   39,90    23,00      0,00       62,9     12580,00
                                                                      Summe:       24.445,00
Methoden der Einheitspreis-Kalkulation – Kalkulation über die Angebotsendsumme




Beispiel:

Es soll für nachfolgende Position eine Einzelkostenentwicklung durchgeführt werden

01.004                Mauerwerk 10 DF, d = 36 cm, MG II
                      herstellen , Menge = 85 m²

Es wird benötigt:     Lohnkosten 34,5 €/h
                      4,0 h/m³ Mauerstunden
                      33 Steine pro m³; 1,50 €/St
                                      m ; 1 50 €/St.
                      85 lt. Mörtel a 0,10 €/lt. pro m³


Die Umrechnung von LV-Menge (m²) auf Arbeitsmenge (m³) wird mit einem
Umrechnungsfaktor (0,36 m³/m²) durchgeführt.
Methoden der Einheitspreis-Kalkulation – Kalkulation über die Angebotsendsumme




LV-Nr. Menge Ein- Beschreibung                       Lohnstd.        Kosten je Einheit
       lt.
       lt LV heit                                   je Einheit   Lohn Gerät Stoffe Fremdl
                                                                                      Fremdl.   Preis je
                                                    ML: 34,5      Gesamtzuschlagsfaktoren       Einheit

 004    85    m² Mauerwerk 10 DF mauern
                 0,36
                 0 36 x ( 4 + - + 33 x 1 50+ - )
                                       1,50+             1,44
                                                         1 44    49,68
                                                                 49 68          17,82
                                                                                17 82               67,50
                                                                                                    67 50
                 Mörtel
                 0,36 x ( - + - + 85 x 0,10 + - )                                3,06                3,06
                 Summe                                                                              70,56
Methoden der Einheitspreis-Kalkulation – Kalkulation über die Angebotsendsumme




LV-Nr. Menge Ein- Beschreibung                            Lohnstd.        Kosten je Einheit
       lt. LV heit                                       je Einheit   Lohn Gerät Stoffe Fremdl.   Preis je
                                                         ML: 34,5      Gesamtzuschlagsfaktoren    Einheit

 004    300   m² Sauberkeitsschicht C8/10,
                 d = 10 cm
                 C 8/10 Transportbeton = 65,- €/m3
                 abzüglich 10 % Rabatt = 58 5 €/m3
                                          58,5
                 Betoneinbau mit Betonkübel 500 l
                 0,70 h/m3
                 Betoneinbau von Automischer aus
                 0 62 h/ 3
                 0,62 h/m
                 0,10 m3/m2x (0,62 h/m3+ - + 58,5+ - )     0,06       2,07         5,85                 7,92
                 Zuschlag für Abgleichen der
                 Oberfläche 0,08 h/m2                      0,08       2,76                              2,76

                  Summe                                                                               10,68
Methoden der Einheitspreis-Kalkulation – Kalkulation über die Angebotsendsumme




LV-Nr. Menge Ein- Beschreibung                          Lohnstd.        Kosten je Einheit
       lt. LV heit                                     je Einheit   Lohn Gerät Stoffe Fremdl.   Preis je
                                                       ML: 34,5      Gesamtzuschlagsfaktoren    Einheit

 005    50    m 3 Fundamentbeton C20/25, h= 1,50
                  ohne Schalung

                  Beton C 20/25 liefern = 73,81 €/m3
                  abzüglich 27 % Rabatt = 53,88 €/m3
                       g                                                         53,88
                  Betoneinbau mit Betonkübel 500 l
                  Kran in BE kalkuliert                  0,65
                  Oberfläche von Hand arbeiten
                  0,1 h/m2
                   ,
                  Pro m3 Beton 0,10 h/m2 / 1,5 m =       0,07

                                                         0,72       24,84        53,88              78,72
Methoden der Einheitspreis-Kalkulation – Kalkulation über die Angebotsendsumme
Methoden der Einheitspreis-Kalkulation – Kalkulation über die Angebotsendsumme
Methoden der Einheitspreis-Kalkulation – Kalkulation über die Angebotsendsumme
Methoden der Einheitspreis-Kalkulation – Kalkulation über die Angebotsendsumme
Methoden der Einheitspreis-Kalkulation – Kalkulation über die Angebotsendsumme
Methoden der Einheitspreis-Kalkulation – Kalkulation über die Angebotsendsumme
Methoden der Einheitspreis-Kalkulation - Zuschlagskalkulation




                                         Methoden
                                der Einheitspreis-Kalkulation
                                    Einheitspreis Kalkulation




              Divisionskalkulation                        Zuschlagskalkulation




                                                            Kalkulation über die
                                                                Angebotssumme



                                                           Kalkulation mit voraus-
                                                          bestimmten Zuschlägen
Methoden der Einheitspreis-Kalkulation




               Kalkulation mit vorausbestimmten Zuschlägen


Die Einzelkosten der Teilleistungen werden auf Basis

       •    der vertraglichen Leistungsbeschreibung (Teilleistungen und
            Ausschreibungsmengen),
       •    der notwendigen Aufwands- und Leistungswerte und
       •    der entsprechenden Kostenansätze berechnet.
Methoden der Einheitspreis-Kalkulation – Kalkulation mit vorausbestimmten Zuschlägen
Methoden der Einheitspreis-Kalkulation – Kalkulation mit vorausbestimmten Zuschlägen
Methoden der Einheitspreis-Kalkulation – Kalkulation über die Angebotsendsumme

Beispiel: Ermittlung der Angebotssumme (brutto) für die drei nachfolgenden Teilleistungen

          a) 400 m² Innenputz, d = 15 mm          ⇒ Material: 125,-- EUR/m³
          b) 50 m³ Mauerwerk 10 DF, d = 30 cm           ⇒ Material: 60,-- EUR/m³
          c) 200 m² Wandfliesen, 20/20 cm, im Dünnbett  ⇒ Material: 23,-- EUR/m²

          mit folgenden Randbedingungen:             ML = 26,60 EUR
                                                          26 60
                                                     Faktor = 1,25


OZ    LV-Kurztext                                             Menge    h/ME     Lohn        Stoffe    EP        GP

1     Innenputz, d = 15 mm                                    400 m²    0,2
                                L = 0,2 x 26,60                                  5,32
                                S = 0,015 x 125,--                                           1,88
                                EP = (5,32 + 1,88) x 1,25                                             9,00
                                GP = (9,00 x 400)                                                               3.600,00

2     Mauerwerk, d = 30 cm                                     50 m³    4,5
                                L = 4,5 x 26,60                                 119,70
                                S = 60,--                                                   60,00
                                EP = (119,70 + 60) x 1,25                                            224,63
                                GP = 50 x 224,63                                                               11.231,50

3     Fliesen, 20/20 cm                                       200 m²    1,5
                                L = 1,5 x 26,60                                 39,90
                                S = 23,--                                                   23,00
                                EP = (39,90 + 23) x 1,25                                             78,63
                                GP = 78,63 x 200                                                               15.726,00

                                                                                                              30.557,50
                                                                                                                     ,     Summe (netto)
                                                                                                                                  (    )
                                                                                                                5.805,93   + 19 % Mwst.
                                                                                                              36.363,43    Summe (brutto)
Methoden der Einheitspreis-Kalkulation – Kalkulation über die Angebotsendsumme




OZ LV‐Kurztext           Menge    h/E      Lohn    Stoffe   Geräte        EP             GP

   1 Innenputz,   d=15 400 m²        0,2    5,32     1,88      0,00             9,00    3.600,00
     mm
   2 Mauerwerk, d=30      50 m³      4,5 119,70     60,00      0,00           224,50   11.231,50
     cm
   3 Fliesen, 20/20 cm   200 m²      1,5   39,90    23,00      0,00            78,63   15.726,00
                                                                      netto            30.557,50
                                                                      19% MwSt
                                                                          MwSt.        58059,93
                                                                                       58059 93
                                                                      brutto           36.363,43
Methoden der Einheitspreis-Kalkulation – Kalkulation über die Angebotsendsumme




LV-Nr. Menge Ein- Beschreibung                          Lohnstd.          Kosten je Einheit   Angebots-
       lt. LV heit                                     je Einheit   Lohn Gerät Stoffe Fremdl.  preis je
                                                       ML: 34,5       Gesamtzuschlagsfaktoren  Einheit
                                                                    57,09           15%
 005    50    m 3 Fundamentbeton C20/25, h= 1,50
                  ohne Schalung

                  Beton C 20/25 liefern = 73,81 €/m3
                  abzüglich 27 % Rabatt = 53,88 €/m3
                       g                                                         61,96
                  Betoneinbau mit Betonkübel 500 l
                  Kran in BE kakuliert                   0,65
                  Oberfläche von Hand arbeiten
                  0,62 h/m3
                   ,
                  0,10 h/m2 / 1,5 m =                    0,07

                                                         0,72       41,10        61,96            103,06
Methoden der Einheitspreis-Kalkulation – Kalkulation mit vorausbestimmten Zuschlägen
Methoden der Einheitspreis-Kalkulation – Kalkulation mit vorausbestimmten Zuschlägen
Methoden der Einheitspreis-Kalkulation – Kalkulation mit vorausbestimmten Zuschlägen
Methoden der Einheitspreis-Kalkulation – Kalkulation mit vorausbestimmten Zuschlägen




    MwSt. 19 %                                             = 375.877,855 EUR

    Angebotssumme brutto                                   = 2.354.182,355 EUR
Kalkulationsbestandteile




                           1,148.
Kalkulationsbestandteile
Kalkulationsbestandteile
Kalkulationsbestandteile
Kalkulationsbestandteile – Gerätekosten



    Zusammenstellung A + V + R für Hydraulikbagger mit anbauten

  BGL-Nr.                 Bezeichnung        R                  A+V
                                           [EUR]               [EUR]
D.1.00.0160      Raupenbagger - HYD         3.680,00            4.905,00
D.1.40,0160
D 1 40 0160      Monoblock M Hydrozyl         471,00
                                              471 00              627,50
                                                                  627 50
D.1.60.1500      Tieflöffel 1,5 m3            128,00              134,50
Summe                                       4.279,00
                                                 ,              5.667,00
                                                                     ,
Summe für das Jahr 2009 (Faktor 1,148)      4.912,29            6.505,72
LNK und LGK (0,60*4912,29*0,90)             2.652,64
Summe mit LNK und LGK                       7.564,93
Gerätekosten je Vorhaltemonat                      14.070,65
Kalkulationsbestandteile
Kalkulationsbestandteile



             Zusammenstellung A + V + R für Dreiseitenkipper

  BGL-Nr.                   Bezeichnung        R                  A+V
                                             [EUR]               [EUR]
P.2.02.0410       Lastkraftwagen               3.990,00           5.525,00
Summe                                          3.990,00
                                               3 990 00           5.525,00
                                                                  5 525 00
Summe für das Jahr 2009 (Faktor 1,148)         4.580,52           6.342,70
LNK und LGK (0,60*4580,52*0,90)
            ( ,       ,    , )                 2.473,48
                                                    ,
Summe mit LNK und LGK                          7.054,00
Gerätekosten je Vorhaltemonat                        13.396,70
Kalkulationsbestandteile



                  Zusammenstellung A + V + R für Gerätegruppe

Lfd.     Bezeichnung            A+V+R       Motor     Anzahl Gesamt         Gesamt
Nr.                             [EUR]      Leistung          A+V+R           Motor-
                                                             [EUR]          Leistung
                                                                              [KW]
1      Bagger R934C            14.070,65        150        1 14.070,65            150
2      LKW MAN 8x4             13.396,70        323        6 80.380,20           1938
                                           Summen:         7 94.450,85          2.088
Kosten für Betriebs- und Schmierstoffe
                        2.088 (KW) * 0,2 (l/KWh) * 1,25 (€ / l) * 1,2 =
                              (   )      (     )        (     )           626,40 € / h
Betriebszeit beträgt 160 je Vorhaltemonat
Gerätevorhaltekosen je Betriebsstunde                 94450,85 / 160 =    590,32 € / h

                        Kosten für Gerätegruppe je Betriebsstunde = 1.216,72 € / h
Abrechnung



             Beispiele für Aufmaß und Abrechnung
Abrechnung
Abrechnung




        MwSt.
        M St 19 %   = 202 35 EUR
                      202,35

                    = 1267,35 EUR
Abrechnung

Kalkulation

  • 1.
    Methoden der Einheitspreis-Kalkulation Methoden der Einheitspreis-Kalkulation Einheitspreis Kalkulation Divisionskalkulation Zuschlagskalkulation
  • 2.
    Methoden der Kalkulation- Methoden der Einheitspreis-Kalkulation - Zuschlagskalkulation Einzelkosten der Teilleistungen (EKT) + Gemeinkosten der Baustelle (GKdB) = Herstellkosten (HK) + Allgemeine Geschäftskosten (AGK) + Bauzinsen (Z) = Selbstkosten (SK) +W Wagnis und G i i d Gewinn (W+G) (W G) = Angebotssumme (netto) (AGSnetto) + Umsatzsteuer zur Zeit 19 % (MwSt.) = Angebotssumme (brutto) (AGSbrutto)
  • 3.
    Methoden der Einheitspreis-Kalkulation- Zuschlagskalkulation Methoden der Einheitspreis-Kalkulation Einheitspreis Kalkulation Divisionskalkulation Zuschlagskalkulation Kalkulation über die Angebotssumme Kalkulation mit voraus- bestimmten Zuschlägen
  • 4.
    Methoden der Einheitspreis-Kalkulation- Zuschlagskalkulation Kalkulation über die Angebotsendsumme Bei dieser Kalkulation werden die Einzelkosten der Teilleistungen, die Gemeinkosten der Baustelle und die umsatzbezogenen Gemeinkosten für jedes zu kalkulierende Objekt gesondert ermittelt und zur Angebotssumme zusammengerechnet.
  • 5.
    Methoden der Einheitspreis-Kalkulation– Kalkulation über die Angebotsendsumme Für die Kalkulation sind zwei Rechengänge erforderlich: 1. Ermittlung der Angebotssumme 2. Ermittlung der Zuschläge und der Einheitspreise
  • 6.
    Methoden der Einheitspreis-Kalkulation– Kalkulation über die Angebotsendsumme
  • 7.
    Methoden der Einheitspreis-Kalkulation– Kalkulation über die Angebotsendsumme Ermittlung der Angebotsendsumme • Die Einzelkosten der Teilleistungen werden ermittelt und den Kostenarten Lohnkosten, sonstigen Kosten, Gerätekosten oder Fremdleistungskosten , g , g zugeordnet. • Ermittlung der Gemeinkosten der Baustelle. • Die Berechnung d H t llk t d h Additi von EKdT und GKdB Di B h der Herstellkosten durch Addition d GKdB. • Die Selbstkosten ergeben sich durch die Addition von Gemeinkosten der g Baustelle, den allgemeinen Geschäftskosten und den Bauzinsen. Werden die Kosten für Wagnis und Gewinn hinzugefügt, erhält man die Netto-Angebotssumme.
  • 8.
    Methoden der Einheitspreis-Kalkulation– Kalkulation über die Angebotsendsumme
  • 9.
    Methoden der Einheitspreis-Kalkulation– Kalkulation über die Angebotsendsumme
  • 10.
    Methoden der Einheitspreis-Kalkulation– Kalkulation über die Angebotsendsumme Ermittlung der Selbstkosten: (7+1) * 100 Für eig. Leistung: ------------------- = 9,09 % 100 - 12 9,09 % * 296.462 = 26.954,0 EUR (7+0,5) (7 0 5) * 100 Für Fremdleistung: ------------------- = 8,24 % 100 - 9 8,24 8 24 % * 53 931 = 4 445 00 EUR 53.931 4.445,00 Die Selbstkosten = 296.462 + 53.931 + 26.954 + 4.445 = 381.822,00 EUR
  • 11.
    Methoden der Einheitspreis-Kalkulation– Kalkulation über die Angebotsendsumme Ermittlung der Zuschläge und der Einheitspreise Ermittlung der Zuschlagssätze Schlüsselkosten oder Umlagekosten sind damit die Summe aus den GKdB, soweit sie nicht als Einzelkosten erfasst sind, und den umsatzbezogenen Gemeinkosten. Diese Umlagebetrag ergibt sich durch Differenz zwischen der Netto-Angebotssumme und der Summe der Einzelkosten. Am einfachsten ist die Bildung eines einheitlichen Zuschlagssätze für alle Kostenarten Kostenarten.
  • 12.
    Methoden der Einheitspreis-Kalkulation– Kalkulation über die Angebotsendsumme Der Zuschlag Z beträgt Schlüsselkosten Z = ---------------------------------- * 100 [%] Summe aller EKdT Für unser Beispiel: 118.993,00 Z = ---------------------------------- * 100 [%] = 42,9% 223.275.00 + 53.931,00
  • 13.
    Methoden der Einheitspreis-Kalkulation– Kalkulation über die Angebotsendsumme
  • 14.
    Methoden der Einheitspreis-Kalkulation– Kalkulation über die Angebotsendsumme Ermittlung der Zuschläge und der Einheitspreise Ermittlung der Einheispreise Bei einem Mittellohn von 34,30 €/h errechnet sich der Kalkulationsmittellohn mit Zuschlag zu: 1,786 * 34,30 = 61,26 €/h
  • 15.
    Methoden der Einheitspreis-Kalkulation– Kalkulation über die Angebotsendsumme Lohnkosten : 1,7 Std./m2 * 61,26 €/Std. = 104,14 €/m2
  • 16.
    Methoden der Einheitspreis-Kalkulation– Kalkulation über die Angebotsendsumme Sonstige Kosten : 1,10 * 26,00 €/m2 = 28,60 €/m2
  • 17.
    Methoden der Einheitspreis-Kalkulation– Kalkulation über die Angebotsendsumme Einheitspreis : 104,14 + 28,60 = 132,47 €/m2
  • 18.
    Methoden der Einheitspreis-Kalkulation– Kalkulation über die Angebotsendsumme LV-Nr. Menge Ein- Beschreibung Lohnstd. Kosten je Einheit Angebots- lt. lt LV heit je Einheit Lohn Gerät Stoffe Fremdl Fremdl. preis je ML: 34,30 Gesamtzuschlagsfaktoren Einheit 1,786 1 1,1 1,05 35 500 m² Stahlbetondecke über EG 1,70 1 70 104,14 104 14 28,60 28 60 134,47 134 47
  • 19.
    Methoden der Einheitspreis-Kalkulation– Kalkulation über die Angebotsendsumme Kosten der Einbaugerätegruppe: lfd.Nr. Bezeichnung A+V R Motorleist Anzahl A+V+R Motor- AK [EUR] [EUR] ung [EUR] l i leistung [kW] [kW] 1 Lader Case, 1,2 m³ 2.150 1.700 63 1 3.850 63 1,1 2 LKW 19,5 t 3.500 3.000 220 1 6.500 220 1,1 3 Doppelvibrowalze 550 375 8 1 925 8 1,1 291 11.275 291 3,3 KA+V+R/h = 11 275 / 200 11.275 = 56 38 EUR /h 56,38 Kosten Treibstoff = 291 kW * 0,2 l/kWh * 1,25 € /l * 1,2 = 87,30 EUR /h KA+V+R+T+S =143,68 EUR /h Kalkulation: ML: 32,50 EUR /h
  • 20.
    Methoden der Einheitspreis-Kalkulation– Kalkulation über die Angebotsendsumme OZ Text h/m3 Lohn Geräte Soko E.P [€ /m3] [€ /m3] [€ /m3] [€ /m3] 1 Bodeneinbau (20 m³/h) 0,05 L= 0,05*32,50 *3,3 5,36 G= 0 05*143 68 0,05*143,68 7,184 7 184 E.P.= 5,36 + 7,184 12,54
  • 21.
    Methoden der Einheitspreis-Kalkulation– Kalkulation über die Angebotsendsumme Beispiel: Ermittlung der Einzelkosten der Teilleistungen für die drei nachfolgenden Teilleistungen a) 400 m² Innenputz, d = 15 mm ⇒ Material: 125,-- EUR/m³ b) 50 m³ Mauerwerk 10 DF, d = 30 cm ⇒ Material: 60,-- EUR/m³ c) 200 m² Wandfliesen, 20/20 cm, im Dünnbett ⇒ Material: 23,-- EUR/m² mit folgenden Randbedingungen: ML = 26,60 EUR 26 60 OZ LV-Kurztext Menge h/ME Lohn Stoffe EP GP 1 Innenputz, d = 15 mm 400 m² 0,2 L = 0,2 x 26,60 5,32 S = 0,015 x 125,-- 1,88 EP = (5,32 + 1,88) 7,2 GP = (7,2 x 400) 2.880,00 2 Mauerwerk, d = 30 cm 50 m³ 4,5 L = 4,5 x 26,60 119,70 S = 60,-- 60,00 EP = (119,70 + 60) 179,7 GP = 50 x 179,7 8.985,00 3 Fliesen, 20/20 cm 200 m² 1,5 L = 1,5 x 26,60 39,90 S = 23,-- 23,00 EP = (39,90 + 23) 62,9 GP = 62,9 x 200 12.580,00 24445,00 , Summe
  • 22.
    Methoden der Einheitspreis-Kalkulation– Kalkulation über die Angebotsendsumme OZ LV‐ Kurztext Menge h/E Lohn Stoffe Geräte EP GP 1 Innenputz, d=15 mm 400 m² 0,2 5,32 1,88 0,00 7,2 2880,00 2 Mauerwerk, d=30 c 50 m³ 4,5 119,70 60,00 0,00 179,7 8985,00 m 3 Fliesen, 20/20 cm 200 m² 1,5 39,90 23,00 0,00 62,9 12580,00 Summe: 24.445,00
  • 23.
    Methoden der Einheitspreis-Kalkulation– Kalkulation über die Angebotsendsumme Beispiel: Es soll für nachfolgende Position eine Einzelkostenentwicklung durchgeführt werden 01.004 Mauerwerk 10 DF, d = 36 cm, MG II herstellen , Menge = 85 m² Es wird benötigt: Lohnkosten 34,5 €/h 4,0 h/m³ Mauerstunden 33 Steine pro m³; 1,50 €/St m ; 1 50 €/St. 85 lt. Mörtel a 0,10 €/lt. pro m³ Die Umrechnung von LV-Menge (m²) auf Arbeitsmenge (m³) wird mit einem Umrechnungsfaktor (0,36 m³/m²) durchgeführt.
  • 24.
    Methoden der Einheitspreis-Kalkulation– Kalkulation über die Angebotsendsumme LV-Nr. Menge Ein- Beschreibung Lohnstd. Kosten je Einheit lt. lt LV heit je Einheit Lohn Gerät Stoffe Fremdl Fremdl. Preis je ML: 34,5 Gesamtzuschlagsfaktoren Einheit 004 85 m² Mauerwerk 10 DF mauern 0,36 0 36 x ( 4 + - + 33 x 1 50+ - ) 1,50+ 1,44 1 44 49,68 49 68 17,82 17 82 67,50 67 50 Mörtel 0,36 x ( - + - + 85 x 0,10 + - ) 3,06 3,06 Summe 70,56
  • 25.
    Methoden der Einheitspreis-Kalkulation– Kalkulation über die Angebotsendsumme LV-Nr. Menge Ein- Beschreibung Lohnstd. Kosten je Einheit lt. LV heit je Einheit Lohn Gerät Stoffe Fremdl. Preis je ML: 34,5 Gesamtzuschlagsfaktoren Einheit 004 300 m² Sauberkeitsschicht C8/10, d = 10 cm C 8/10 Transportbeton = 65,- €/m3 abzüglich 10 % Rabatt = 58 5 €/m3 58,5 Betoneinbau mit Betonkübel 500 l 0,70 h/m3 Betoneinbau von Automischer aus 0 62 h/ 3 0,62 h/m 0,10 m3/m2x (0,62 h/m3+ - + 58,5+ - ) 0,06 2,07 5,85 7,92 Zuschlag für Abgleichen der Oberfläche 0,08 h/m2 0,08 2,76 2,76 Summe 10,68
  • 26.
    Methoden der Einheitspreis-Kalkulation– Kalkulation über die Angebotsendsumme LV-Nr. Menge Ein- Beschreibung Lohnstd. Kosten je Einheit lt. LV heit je Einheit Lohn Gerät Stoffe Fremdl. Preis je ML: 34,5 Gesamtzuschlagsfaktoren Einheit 005 50 m 3 Fundamentbeton C20/25, h= 1,50 ohne Schalung Beton C 20/25 liefern = 73,81 €/m3 abzüglich 27 % Rabatt = 53,88 €/m3 g 53,88 Betoneinbau mit Betonkübel 500 l Kran in BE kalkuliert 0,65 Oberfläche von Hand arbeiten 0,1 h/m2 , Pro m3 Beton 0,10 h/m2 / 1,5 m = 0,07 0,72 24,84 53,88 78,72
  • 27.
    Methoden der Einheitspreis-Kalkulation– Kalkulation über die Angebotsendsumme
  • 28.
    Methoden der Einheitspreis-Kalkulation– Kalkulation über die Angebotsendsumme
  • 29.
    Methoden der Einheitspreis-Kalkulation– Kalkulation über die Angebotsendsumme
  • 30.
    Methoden der Einheitspreis-Kalkulation– Kalkulation über die Angebotsendsumme
  • 31.
    Methoden der Einheitspreis-Kalkulation– Kalkulation über die Angebotsendsumme
  • 32.
    Methoden der Einheitspreis-Kalkulation– Kalkulation über die Angebotsendsumme
  • 33.
    Methoden der Einheitspreis-Kalkulation- Zuschlagskalkulation Methoden der Einheitspreis-Kalkulation Einheitspreis Kalkulation Divisionskalkulation Zuschlagskalkulation Kalkulation über die Angebotssumme Kalkulation mit voraus- bestimmten Zuschlägen
  • 34.
    Methoden der Einheitspreis-Kalkulation Kalkulation mit vorausbestimmten Zuschlägen Die Einzelkosten der Teilleistungen werden auf Basis • der vertraglichen Leistungsbeschreibung (Teilleistungen und Ausschreibungsmengen), • der notwendigen Aufwands- und Leistungswerte und • der entsprechenden Kostenansätze berechnet.
  • 35.
    Methoden der Einheitspreis-Kalkulation– Kalkulation mit vorausbestimmten Zuschlägen
  • 36.
    Methoden der Einheitspreis-Kalkulation– Kalkulation mit vorausbestimmten Zuschlägen
  • 37.
    Methoden der Einheitspreis-Kalkulation– Kalkulation über die Angebotsendsumme Beispiel: Ermittlung der Angebotssumme (brutto) für die drei nachfolgenden Teilleistungen a) 400 m² Innenputz, d = 15 mm ⇒ Material: 125,-- EUR/m³ b) 50 m³ Mauerwerk 10 DF, d = 30 cm ⇒ Material: 60,-- EUR/m³ c) 200 m² Wandfliesen, 20/20 cm, im Dünnbett ⇒ Material: 23,-- EUR/m² mit folgenden Randbedingungen: ML = 26,60 EUR 26 60 Faktor = 1,25 OZ LV-Kurztext Menge h/ME Lohn Stoffe EP GP 1 Innenputz, d = 15 mm 400 m² 0,2 L = 0,2 x 26,60 5,32 S = 0,015 x 125,-- 1,88 EP = (5,32 + 1,88) x 1,25 9,00 GP = (9,00 x 400) 3.600,00 2 Mauerwerk, d = 30 cm 50 m³ 4,5 L = 4,5 x 26,60 119,70 S = 60,-- 60,00 EP = (119,70 + 60) x 1,25 224,63 GP = 50 x 224,63 11.231,50 3 Fliesen, 20/20 cm 200 m² 1,5 L = 1,5 x 26,60 39,90 S = 23,-- 23,00 EP = (39,90 + 23) x 1,25 78,63 GP = 78,63 x 200 15.726,00 30.557,50 , Summe (netto) ( ) 5.805,93 + 19 % Mwst. 36.363,43 Summe (brutto)
  • 38.
    Methoden der Einheitspreis-Kalkulation– Kalkulation über die Angebotsendsumme OZ LV‐Kurztext Menge h/E Lohn Stoffe Geräte EP GP 1 Innenputz, d=15 400 m² 0,2 5,32 1,88 0,00 9,00 3.600,00 mm 2 Mauerwerk, d=30 50 m³ 4,5 119,70 60,00 0,00 224,50 11.231,50 cm 3 Fliesen, 20/20 cm 200 m² 1,5 39,90 23,00 0,00 78,63 15.726,00 netto 30.557,50 19% MwSt MwSt. 58059,93 58059 93 brutto 36.363,43
  • 39.
    Methoden der Einheitspreis-Kalkulation– Kalkulation über die Angebotsendsumme LV-Nr. Menge Ein- Beschreibung Lohnstd. Kosten je Einheit Angebots- lt. LV heit je Einheit Lohn Gerät Stoffe Fremdl. preis je ML: 34,5 Gesamtzuschlagsfaktoren Einheit 57,09 15% 005 50 m 3 Fundamentbeton C20/25, h= 1,50 ohne Schalung Beton C 20/25 liefern = 73,81 €/m3 abzüglich 27 % Rabatt = 53,88 €/m3 g 61,96 Betoneinbau mit Betonkübel 500 l Kran in BE kakuliert 0,65 Oberfläche von Hand arbeiten 0,62 h/m3 , 0,10 h/m2 / 1,5 m = 0,07 0,72 41,10 61,96 103,06
  • 40.
    Methoden der Einheitspreis-Kalkulation– Kalkulation mit vorausbestimmten Zuschlägen
  • 41.
    Methoden der Einheitspreis-Kalkulation– Kalkulation mit vorausbestimmten Zuschlägen
  • 42.
    Methoden der Einheitspreis-Kalkulation– Kalkulation mit vorausbestimmten Zuschlägen
  • 43.
    Methoden der Einheitspreis-Kalkulation– Kalkulation mit vorausbestimmten Zuschlägen MwSt. 19 % = 375.877,855 EUR Angebotssumme brutto = 2.354.182,355 EUR
  • 44.
  • 45.
  • 46.
  • 47.
  • 48.
    Kalkulationsbestandteile – Gerätekosten Zusammenstellung A + V + R für Hydraulikbagger mit anbauten BGL-Nr. Bezeichnung R A+V [EUR] [EUR] D.1.00.0160 Raupenbagger - HYD 3.680,00 4.905,00 D.1.40,0160 D 1 40 0160 Monoblock M Hydrozyl 471,00 471 00 627,50 627 50 D.1.60.1500 Tieflöffel 1,5 m3 128,00 134,50 Summe 4.279,00 , 5.667,00 , Summe für das Jahr 2009 (Faktor 1,148) 4.912,29 6.505,72 LNK und LGK (0,60*4912,29*0,90) 2.652,64 Summe mit LNK und LGK 7.564,93 Gerätekosten je Vorhaltemonat 14.070,65
  • 49.
  • 50.
    Kalkulationsbestandteile Zusammenstellung A + V + R für Dreiseitenkipper BGL-Nr. Bezeichnung R A+V [EUR] [EUR] P.2.02.0410 Lastkraftwagen 3.990,00 5.525,00 Summe 3.990,00 3 990 00 5.525,00 5 525 00 Summe für das Jahr 2009 (Faktor 1,148) 4.580,52 6.342,70 LNK und LGK (0,60*4580,52*0,90) ( , , , ) 2.473,48 , Summe mit LNK und LGK 7.054,00 Gerätekosten je Vorhaltemonat 13.396,70
  • 51.
    Kalkulationsbestandteile Zusammenstellung A + V + R für Gerätegruppe Lfd. Bezeichnung A+V+R Motor Anzahl Gesamt Gesamt Nr. [EUR] Leistung A+V+R Motor- [EUR] Leistung [KW] 1 Bagger R934C 14.070,65 150 1 14.070,65 150 2 LKW MAN 8x4 13.396,70 323 6 80.380,20 1938 Summen: 7 94.450,85 2.088 Kosten für Betriebs- und Schmierstoffe 2.088 (KW) * 0,2 (l/KWh) * 1,25 (€ / l) * 1,2 = ( ) ( ) ( ) 626,40 € / h Betriebszeit beträgt 160 je Vorhaltemonat Gerätevorhaltekosen je Betriebsstunde 94450,85 / 160 = 590,32 € / h Kosten für Gerätegruppe je Betriebsstunde = 1.216,72 € / h
  • 52.
    Abrechnung Beispiele für Aufmaß und Abrechnung
  • 53.
  • 54.
    Abrechnung MwSt. M St 19 % = 202 35 EUR 202,35 = 1267,35 EUR
  • 55.