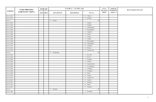
1
KODE DAN DATA WILAYAH ADMINISTRASI
PEMERINTAH KABUPATEN BOGOR
K O D E
NAMA PROVINSI I
KABUPATEN I
KOTA
JUMLAH N A M A I J U M L A H LUAS
WILAYAH
(Km2)
JUMLAH
PENDUDUK
(Jiwa) **)
K E T E R A N G A N
KAB KOTA KECAMATAN KELURAHAN D E S A
32 JAWA BARAT
32.01 1 KAB. BOGOR 40 16 410 2.710,62 4.236.667
32.01.01 1 Cibinong 12 -
32.01.01.1001 1 Pondok Rajeg
32.01.01.1002 2 Karadenan
32.01.01.1003 3 Harapanjaya
32.01.01.1004 4 Nanggewer
32.01.01.1005 5 Nanggewer Mekar
32.01.01.1006 6 Cibinong
32.01.01.1007 7 Pakansari
32.01.01.1008 8 Tengah
32.01.01.1009 9 Sukahati
32.01.01.1010 10 Ciriung
32.01.01.1011 11 Cirimekar
32.01.01.1012 12 Pabuaran
32.01.02 2 Gunung Putri - 10
32.01.02.2001 1 Wanaherang
32.01.02.2002 2 Bojong Ku1ur
32.01.02.2003 3 Ciangkasa
32.01.02.2004 4 Gunung Putri
32.01.02.2005 5 Bojong Nangka
32.01.02.2006 6 T1ajung Udik
32.01.02.2007 7 Cicadas
32.01.02.2008 8 Cikeas udik
32.01.02.2009 9 Nagrak
32.01.02.2010 10 Karanggan
32.01.03 3 Citeureup 2 12
32.01.03.2001 1 Puspasari
32.01.03.2002 2 Citeureup
32.01.03.2003 3 Leuwinutung
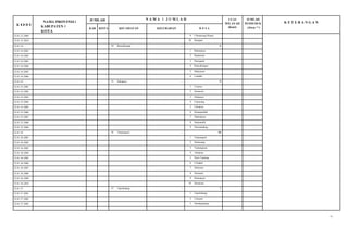
2
K 0 D E
NAMA PR0VINSI I
KABUPATEN I K0TA
JUMLAH N A M A I J U M L A H LUAS
WILAYAH
(Km2)
JUMLAH
PENDUDUK K E T E R A N G A N
KAB K0TA KECAMATAN KELURAHAN D E S A
32.01.03.2004 4 Tajur
32.01.03.2005 5 Sanja
32.01.03.1006 1 Puspanegara
32.01.03.1007 2 Karang Asem Barat
32.01.03.2008 6 Karang Asem Timur
32.01.03.2009 7 Tarikolot
32.01.03.2010 8 Gunungsari
32.01.03.2011 9 Tangkil
32.01.03.2012 10 Sukahati
32.01.03.2013 11 Hambalang
32.01.03.2014 12 Pasirmukti
32.01.04 4 Sukaraja - 13
32.01.04.2001 1 Gununggeulis
32.01.04.2002 2 Cilebut Timur
32.01.04.2003 3 Cilebut Barat
32.01.04.2004 4 Cibanon
32.01.04.2005 5 Nagrak
32.01.04.2006 6 Sukatani
32.01.04.2007 7 Sukaraja
32.01.04.2008 8 Cikeas
32.01.04.2009 9 Pasir Jambu
32.01.04.2010 10 Cimandala
32.01.04.2011 11 Cijujung
32.01.04.2012 12 Cadasngampar
32.01.04.2013 13 Pasir Laja
32.01.05 5 Babakan Madang - 9
32.01.05.2001 1 Cijayanti
32.01.05.2002 2 Sumurbatu
32.01.05.2003 3 Sentul
32.01.05.2004 4 Karangtengah
32.01.05.2005 5 Cipambuan
32.01.05.2006 6 Kadumanggu
32.01.05.2007 7 Citaringgul
32.01.05.2008 8 Babakan Madang
(Jiwa) **)
3
K O D E
NAMA PROVINSI I
KABUPATEN I
KOTA
JUMLAH N A M A I J U M L A H LUAS
WILAYAH
(Km2)
JUMLAH
PENDUDUK K E T E R A N G A N
KAB KOTA KECAMATAN KELURAHAN D E S A
32.01.05.2009 9 Bojong Koneng
32.01.06 6 Jonggol - 14
32.01.06.2001 1 Sukamaju
32.01.06.2002 2 Sirnagalih
32.01.06.2003 3 Singajaya
32.01.06.2004 4 Sukasirna
32.01.06.2005 5 Sukanegara
32.01.06.2006 6 Sukamanah
32.01.06.2007 7 Weninggalih
32.01.06.2008 8 Cibodas
32.01.06.2009 9 Jonggol
32.01.06.2010 10 Bendungan
32.01.06.2011 11 Singasari
32.01.06.2012 12 Balekambang
32.01.06.2013 13 Sukajaya
32.01.06.2014 14 Sukagalih
32.01.07 7 Cileungsi - 12
32.01.07.2001 1 Pasirangin
32.01.07.2002 2 Mekarsari
32.01.07.2003 3 Mampir
32.01.07.2004 4 Dayeuh
32.01.07.2005 5 Gandoang
32.01.07.2006 6 Jatisari
32.01.07.2007 7 Cileungsi Kidul
32.01.07.2008 8 Cipeucang
32.01.07.2009 9 Situsari
32.01.07.2010 10 Cipenjo
32.01.07.2011 11 Limusnunggal
32.01.07.2012 12 Cileungsi
32.01.08 8 Cariu - 10
32.01.08.2001 1 Karyamekar
32.01.08.2002 2 Babakanraden
32.01.08.2003 3 Cikutamahi
32.01.08.2004 4 Kutamekar
(Jiwa) **)
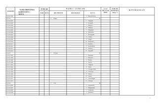
4
K 0 D E
NAMA PR0VINSI I
KABUPATEN I K0TA
JUMLAH N A M A I J U M L A H LUAS
WILAYAH
(Km2)
JUMLAH
PENDUDUK K E T E R A N G A N
KAB K0TA KECAMATAN KELURAHAN D E S A
32.01.08.2005 5 Cariu
32.01.08.2006 6 Mekarwangi
32.01.08.2007 7 Bantarkuning
32.01.08.2008 8 Sukajadi
32.01.08.2009 9 Tegalpanjang
32.01.08.2010 10 Cibatutiga
32.01.09 9 Sukamakmur - 10
32.01.09.2001 1 Wargajaya
32.01.09.2002 2 Pabuaran
32.01.09.2003 3 Sukadamai
32.01.09.2004 4 Sukawangi
32.01.09.2005 5 Cibadak
32.01.09.2006 6 Sukaresmi
32.01.09.2007 7 Sukamulya
32.01.09.2008 8 Sukaharja
32.01.09.2009 9 Sirnajaya
32.01.09.2010 10 Sukamakmur
32.01.10 10 Parung - 9
32.01.10.2001 1 Parung
32.01.10.2002 2 1wul
32.01.10.2003 3 Bojongsempu
32.01.10.2004 4 Waru
32.01.10.2005 5 Cogreg
32.01.10.2006 6 Pamegarsari
32.01.10.2007 7 Warujaya
32.01.10.2008 8 Bojongindah
32.01.10.2009 9 Jabonmekar
32.01.11 11 Gunung Sindur - 10
32.01.11.2001 1 Cidokom
32.01.11.2002 2 Padurenan
32.01.11.2003 3 Pengasinan
32.01.11.2004 4 Curug
32.01.11.2005 5 Gunungsindur
32.01.11.2006 6 Jampang
(Jiwa) **)
5
K O D E
NAMA PROVINSI I
KABUPATEN I
KOTA
JUMLAH N A M A I J U M L A H LUAS
WILAYAH
(Km2)
JUMLAH
PENDUDUK K E T E R A N G A N
KAB KOTA KECAMATAN KELURAHAN D E S A
32.01.11.2007 7 Cibadung
32.01.11.2008 8 Cibinong
32.01.11.2009 9 Rawakalong
32.01.11.2010 10 Pabuaran
32.01.12 12 Kemang 1 8
32.01.12.2001 1 Bojong
32.01.12.2002 2 Parakanjaya
32.01.12.2003 3 Kemang
32.01.12.2004 4 Pabuaran
32.01.12.2005 5 Semplak Barat
32.01.12.1006 1 Atang Senjaya
32.01.12.2007 6 Jampang
32.01.12.2008 7 Pondok Udik
32.01.12.2009 8 Tegal
32.01.13 13 Bojong Gede - 9
32.01.13.2001 1 Bojongbaru
32.01.13.2002 2 Cimanggis
32.01.13.2003 3 Susukan
32.01.13.2004 4 Ragajaya
32.01.13.2005 5 Kedungwaringin
32.01.13.2006 6 Waringinjaya
32.01.13.2007 7 Pabuaran
32.01.13.2008 8 Rawapanjang
32.01.13.2009 9 Bojonggede
32.01.14 14 Leuwiliang - 11
32.01.14.2001 1 Leuwiliang
32.01.14.2002 2 Purasari
32.01.14.2003 3 Karyasari
32.01.14.2004 4 Pabangbon
32.01.14.2005 5 Karacak
32.01.14.2006 6 Barengkok
32.01.14.2007 7 Leuwimekar
32.01.14.2008 8 Puraseda
32.01.14.2009 9 Cibeber 1
(Jiwa) **)
6
K 0 D E
NAMA PR0VINSI I
KABUPATEN I K0TA
JUMLAH N A M A I J U M L A H LUAS
WILAYAH
(Km2)
JUMLAH
PENDUDUK K E T E R A N G A N
KAB K0TA KECAMATAN KELURAHAN D E S A
32.01.14.2010 10 Cibeber 11
32.01.14.2011 11 Karehkel
32.01.15 15 Ciampea - 13
32.01.15.2001 1 Ciampea
32.01.15.2002 2 Cinangka
32.01.15.2003 3 Cihideungudik
32.01.15.2004 4 Bojongjengkol
32.01.15.2005 5 Tegalwaru
32.01.15.2006 6 Cibuntu
32.01.15.2007 7 Cicadas
32.01.15.2008 8 Cibadak
32.01.15.2009 9 Bojongrangkas
32.01.15.2010 10 Cihideunghilir
32.01.15.2011 11 Cibanteng
32.01.15.2012 12 Benteng
32.01.15.2013 13 Ciampea Udik
32.01.16 16 Cibungbulang - 15
32.01.16.2001 1 Situ Udik
32.01.16.2002 2 Situ 1lir
32.01.16.2003 3 Cemplang
32.01.16.2004 4 Cibatok 1
32.01.16.2005 5 Ciaruteun Udik
32.01.16.2006 6 Leuweungkolot
32.01.16.2007 7 Cimanggu 1
32.01.16.2008 8 Cimanggu 11
32.01.16.2009 9 Dukuh
32.01.16.2010 10 Cijujung
32.01.16.2011 11 Ciaruteun 1lir
32.01.16.2012 12 Cibatok 11
32.01.16.2013 13 Sukamaju
32.01.16.2014 14 Galuga
32.01.16.2015 15 Girimulya
32.01.17 17 Pamijahan - 15
32.01.17.2001 1 Purwabakti
(Jiwa) **)
7
K O D E
NAMA PROVINSI I
KABUPATEN I
KOTA
JUMLAH N A M A I J U M L A H LUAS
WILAYAH
(Km2)
JUMLAH
PENDUDUK K E T E R A N G A N
KAB KOTA KECAMATAN KELURAHAN D E S A
32.01.17.2002 2 Cibunian
32.01.17.2003 3 Cibitungwetan
32.01.17.2004 4 Gunungmenyan
32.01.17.2005 5 Gunungbunder 11
32.01.17.2006 6 Pasarean
32.01.17.2007 7 Cimayang
32.01.17.2008 8 Pamijahan
32.01.17.2009 9 Cibening
32.01.17.2010 10 Gunungbunder 1
32.01.17.2011 11 Cibitung Kulon
32.01.17.2012 12 Gunung Picung
32.01.17.2013 13 Ciasihan
32.01.17.2014 14 Gunungsari
32.01.17.2015 15 Ciasmara
32.01.18 18 Rumpin - 13
32.01.18.2001 1 Rumpin
32.01.18.2002 2 Leuwibatu
32.01.18.2003 3 Cidokom
32.01.18.2004 4 Gobang
32.01.18.2005 5 Cibodas
32.01.18.2006 6 Rabak
32.01.18.2007 7 Kampungsawah
32.01.18.2008 8 Cipinang
32.01.18.2009 9 Sukasari
32.01.18.2010 10 Tamansari
32.01.18.2011 11 Kertajaya
32.01.18.2012 12 Sukamulya
32.01.18.2013 13 Mekarsari
32.01.19 19 Jasinga - 15
32.01.19.2001 1 Curug
32.01.19.2002 2 Pangradin
32.01.19.2003 3 Kalongsawah
32.01.19.2004 4 Sipak
32.01.19.2005 5 Jasinga
(Jiwa) **)
8
K 0 D E
NAMA PR0VINSI I
KABUPATEN I K0TA
JUMLAH N A M A I J U M L A H LUAS
WILAYAH
(Km2)
JUMLAH
PENDUDUK K E T E R A N G A N
KAB K0TA KECAMATAN KELURAHAN D E S A
32.01.19.2006 6 Koleang
32.01.19.2007 7 Cikopomayak
32.01.19.2008 8 Setu
32.01.19.2009 9 Barengkok
32.01.19.2010 10 Bagoang
32.01.19.2011 11 Pangaur
32.01.19.2012 12 Pamagersari
32.01.19.2013 13 Jugala Jaya
32.01.19.2014 14 Tegalwangi
32.01.19.2015 15 Neglasari
32.01.20 20 Parung Panjang - 11
32.01.20.2001 1 Jagabaya
32.01.20.2002 2 Gorowong
32.01.20.2003 3 Dago
32.01.20.2004 4 Pingku
32.01.20.2005 5 Cikuda
32.01.20.2006 6 Parung Panjang
32.01.20.2007 7 Lumpang
32.01.20.2008 8 Cibunar
32.01.20.2009 9 Jagabita
32.01.20.2010 10 Gintung Cilejet
32.01.20.2011 11 Kabasiran
32.01.21 21 Nanggung - 10
32.01.21.2001 1 Malasari
32.01.21.2002 2 Curugbitung
32.01.21.2003 3 Cisarua
32.01.21.2004 4 Bantarkaret
32.01.21.2005 5 Hambaro
32.01.21.2006 6 Kalongliud
32.01.21.2007 7 Nanggung
32.01.21.2008 8 Parakanmuncang
32.01.21.2009 9 Pangkaljaya
32.01.21.2010 10 Sukaluyu
32.01.22 22 Cigudeg - 15
(Jiwa) **)
9
K O D E
NAMA PROVINSI I
KABUPATEN I
KOTA
JUMLAH N A M A I J U M L A H LUAS
WILAYAH
(Km2)
JUMLAH
PENDUDUK K E T E R A N G A N
KAB KOTA KECAMATAN KELURAHAN D E S A
32.01.22.2001 1 Sukamaju
32.01.22.2002 2 Cigudeg
32.01.22.2003 3 Bunar
32.01.22.2004 4 Banyuresmi
32.01.22.2005 5 Cintamanik
32.01.22.2006 6 Argapura
32.01.22.2007 7 Bangunjaya
32.01.22.2008 8 Rengasjajar
32.01.22.2009 9 Batujajar
32.01.22.2010 10 Wargajaya
32.01.22.2011 11 Sukaraksa
32.01.22.2012 12 Banyuwangi
32.01.22.2013 13 Banyuasih
32.01.22.2014 14 Mekarjaya
32.01.22.2015 15 Tegal Lega
32.01.23 23 Tenjo - 9
32.01.23.2001 1 Tapos
32.01.23.2002 2 Ciomas
32.01.23.2003 3 Batok
32.01.23.2004 4 Babakan
32.01.23.2005 5 Tenjo
32.01.23.2006 6 Cilaku
32.01.23.2007 7 Singabraja
32.01.23.2008 8 Singabangsa
32.01.23.2009 9 Bojong
32.01.24 24 Ciawi - 13
32.01.24.2001 1 Cileungsi
32.01.24.2002 2 Citapen
32.01.24.2003 3 Cibedug
32.01.24.2004 4 Jambuluwuk
32.01.24.2005 5 Bantarsari
32.01.24.2006 6 Teluk Pinang
32.01.24.2007 7 Banjar Waru
32.01.24.2008 8 Bendungan
(Jiwa) **)
10
K 0 D E
NAMA PR0VINSI I
KABUPATEN I K0TA
JUMLAH N A M A I J U M L A H LUAS
WILAYAH
(Km2)
JUMLAH
PENDUDUK K E T E R A N G A N
KAB K0TA KECAMATAN KELURAHAN D E S A
32.01.24.2009 9 Pandan Sari
32.01.24.2010 10 Bojong Murni
32.01.24.2011 11 Banjar Wangi
32.01.24.2012 12 Ciawi
32.01.24.2013 13 Bitungsari
32.01.25 25 Cisarua 1 9
32.01.25.2001 1 Batulayang
32.01.25.2002 2 Jogjogan
32.01.25.2003 3 Cibeureum
32.01.25.2004 4 Cilember
32.01.25.2005 5 Citeko
32.01.25.2006 6 Tugu Selatan
32.01.25.2007 7 Leuwimalang
32.01.25.2008 8 Kopo
32.01.25.2009 9 Tugu Utara
32.01.25.1010 1 Cisarua
32.01.26 26 Megamendung - 11
32.01.26.2001 1 Sukamaju
32.01.26.2002 2 Kuta
32.01.26.2003 3 Gadog
32.01.26.2004 4 Sukakarya
32.01.26.2005 5 Megamendung
32.01.26.2006 6 Cipayung Datar
32.01.26.2007 7 Sukamanah
32.01.26.2008 8 Sukagalih
32.01.26.2009 9 Cipayung Girang
32.01.26.2010 10 Sukamahi
32.01.26.2011 11 Sukaresmi
32.01.27 27 Caringin - 12
32.01.27.2001 1 Pasir Muncang
32.01.27.2002 2 Cimande Hilir
32.01.27.2003 3 Ciderum
32.01.27.2004 4 Caringin
32.01.27.2005 5 Ciherang Pondok
(Jiwa) **)
11
K O D E
NAMA PROVINSI I
KABUPATEN I
KOTA
JUMLAH N A M A I J U M L A H LUAS
WILAYAH
(Km2)
JUMLAH
PENDUDUK K E T E R A N G A N
KAB KOTA KECAMATAN KELURAHAN D E S A
32.01.27.2006 6 Cinagara
32.01.27.2007 7 Cimande
32.01.27.2008 8 Pancawati
32.01.27.2009 9 Muara Jaya
32.01.27.2010 10 Basir Buncir
32.01.27.2011 11 Lemah Duhur
32.01.27.2012 12 Tangkil
32.01.28 28 Cijeruk - 9
32.01.28.2001 1 Cijeruk
32.01.28.2002 2 Cipelang
32.01.28.2003 3 Warung Menteng
32.01.28.2004 4 Tajur Halang
32.01.28.2005 5 Cipicung
32.01.28.2006 6 Cibalung
32.01.28.2007 7 Sukaharja
32.01.28.2008 8 Palasari
32.01.28.2009 9 Tanjung Sari
32.01.29 29 Ciomas - 11
32.01.29.2001 1 Mekarjaya
32.01.29.2002 2 Sukaharja
32.01.29.2003 3 Padasuka
32.01.29.2004 4 Parakan
32.01.29.2005 5 Ciomas
32.01.29.2006 6 Pagelaran
32.01.29.2007 7 Sukamakmur
32.01.29.2008 8 Ciapaus
32.01.29.2009 9 Kota Batu
32.01.29.2010 10 Laladon
32.01.29.2011 11 Ciomas Rahayu
32.01.30 30 Dramaga - 10
32.01.30.2001 1 Sukadamai
32.01.30.2002 2 Ciherang
32.01.30.2003 3 Sinarsari
32.01.30.2004 4 Sukawening
(Jiwa) **)
12
K 0 D E
NAMA PR0VINSI I
KABUPATEN I K0TA
JUMLAH N A M A I J U M L A H LUAS
WILAYAH
(Km2)
JUMLAH
PENDUDUK K E T E R A N G A N
KAB K0TA KECAMATAN KELURAHAN D E S A
32.01.30.2005 5 Petir
32.01.30.2006 6 Purwasari
32.01.30.2007 7 Cikarawang
32.01.30.2008 8 Babakan
32.01.30.2009 9 Dramaga
32.01.30.2010 10 Neglasari
32.01.31 31 Tamansari - 8
32.01.31.2001 1 Sukamantri
32.01.31.2002 2 Sinargalih
32.01.31.2003 3 Pasir Eurih
32.01.31.2004 4 Tamansari
32.01.31.2005 5 Sukaluyu
32.01.31.2006 6 Sukaresmi
32.01.31.2007 7 Sukajaya
32.01.31.2008 8 Sukajadi
32.01.32 32 Klapanunggal - 9
32.01.32.2001 1 Klapanunggal
32.01.32.2002 2 Bojong
32.01.32.2003 3 Nambo
32.01.32.2004 4 Lulut
32.01.32.2005 5 Cikahuripan
32.01.32.2006 6 Kembang Kuning
32.01.32.2007 7 Bantarjati
32.01.32.2008 8 Leuwikaret
32.01.32.2009 9 Ligarmukti
32.01.33 33 Ciseeng - 10
32.01.33.2001 1 Putat Nutug
32.01.33.2002 2 Ciseeng
32.01.33.2003 3 Parigi Mekar
32.01.33.2004 4 Cibentang
32.01.33.2005 5 Cibeuteung Udik
32.01.33.2006 6 Karihkil
32.01.33.2007 7 Babakan
32.01.33.2008 8 Cihoe
(Jiwa) **)
13
K O D E
NAMA PROVINSI I
KABUPATEN I
KOTA
JUMLAH N A M A I J U M L A H LUAS
WILAYAH
(Km2)
JUMLAH
PENDUDUK K E T E R A N G A N
KAB KOTA KECAMATAN KELURAHAN D E S A
32.01.33.2009 9 Cibeuteung Muara
32.01.33.2010 10 Kuripan
32.01.34 34 Rancabungur - 6
32.01.34.2001 1 Bantarjaya
32.01.34.2002 2 Bantarsari
32.01.34.2003 3 Pasirgaok
32.01.34.2004 4 Rancabungur
32.01.34.2005 5 Mekarsari
32.01.34.2006 6 Candali
32.01.35 35 Sukajaya - 9
32.01.35.2001 1 Cisarua
32.01.35.2002 2 Kiarasari
32.01.35.2003 3 Sukajaya
32.01.35.2004 4 Cipayung
32.01.35.2005 5 Cileuksa
32.01.35.2006 6 Kiarapandak
32.01.35.2007 7 Harkatjaya
32.01.35.2008 8 Sukamulih
32.01.35.2009 9 Pasirmadang
32.01.36 36 Tanjungsari - 10
32.01.36.2001 1 Tanjungsari
32.01.36.2002 2 Selawangi
32.01.36.2003 3 Tanjungrasa
32.01.36.2004 4 Antajaya
32.01.36.2005 5 Pasir Tanjung
32.01.36.2006 6 Cibadak
32.01.36.2007 7 Sukarasa
32.01.36.2008 8 Sirnasari
32.01.36.2009 9 Buanajaya
32.01.36.2010 10 Sirnarasa
32.01.37 37 Tajurhalang - 7
32.01.37.2001 1 Tajurhalang
32.01.37.2002 2 Citayam
32.01.37.2003 3 Sasakpanjang
(Jiwa) **)
14
K 0 D E
NAMA PR0VINSI I
KABUPATEN I K0TA
JUMLAH N A M A I J U M L A H LUAS
WILAYAH
(Km2)
JUMLAH
PENDUDUK K E T E R A N G A N
KAB K0TA KECAMATAN KELURAHAN D E S A
32.01.37.2004 4 Nanggerang
32.01.37.2005 5 Sukmajaya
32.01.37.2006 6 Tonjong
32.01.37.2007 7 Kalisuren
32.01.38 38 Cigombong - 9
32.01.38.2001 1 Cigombong
32.01.38.2002 2 Watesjaya
32.01.38.2003 3 Ciburuy
32.01.38.2004 4 Srogol
32.01.38.2005 5 Cisalada
32.01.38.2006 6 Tugujaya
32.01.38.2007 7 Pasir Jaya
32.01.38.2008 8 Ciburayut
32.01.38.2009 9 Ciadeg
32.01.39 39 Leuwisadeng - 8
32.01.39.2001 1 Leuwisadeng
32.01.39.2002 2 Babakan Sadeng
32.01.39.2003 3 Sadeng Kolot
32.01.39.2004 4 Wangunjaya
32.01.39.2005 5 Kalong 1
32.01.39.2006 6 Kalong 11
32.01.39.2007 7 Sadeng
32.01.39.2008 8 Sibanteng
32.01.40 40 Tenjolaya - 6
32.01.40.2001 1 Tapos 1
32.01.40.2002 2 Tapos 11
32.01.40.2003 3 Cibitung Tengah
32.01.40.2004 4 Situdaun
32.01.40.2005 5 Cinangneng
32.01.40.2006 6 Gunungmalang
(Jiwa) **)

Kode Kartu Tanda Penduduk administrasi kabupaten bogor

  • 1.
    1 KODE DAN DATAWILAYAH ADMINISTRASI PEMERINTAH KABUPATEN BOGOR K O D E NAMA PROVINSI I KABUPATEN I KOTA JUMLAH N A M A I J U M L A H LUAS WILAYAH (Km2) JUMLAH PENDUDUK (Jiwa) **) K E T E R A N G A N KAB KOTA KECAMATAN KELURAHAN D E S A 32 JAWA BARAT 32.01 1 KAB. BOGOR 40 16 410 2.710,62 4.236.667 32.01.01 1 Cibinong 12 - 32.01.01.1001 1 Pondok Rajeg 32.01.01.1002 2 Karadenan 32.01.01.1003 3 Harapanjaya 32.01.01.1004 4 Nanggewer 32.01.01.1005 5 Nanggewer Mekar 32.01.01.1006 6 Cibinong 32.01.01.1007 7 Pakansari 32.01.01.1008 8 Tengah 32.01.01.1009 9 Sukahati 32.01.01.1010 10 Ciriung 32.01.01.1011 11 Cirimekar 32.01.01.1012 12 Pabuaran 32.01.02 2 Gunung Putri - 10 32.01.02.2001 1 Wanaherang 32.01.02.2002 2 Bojong Ku1ur 32.01.02.2003 3 Ciangkasa 32.01.02.2004 4 Gunung Putri 32.01.02.2005 5 Bojong Nangka 32.01.02.2006 6 T1ajung Udik 32.01.02.2007 7 Cicadas 32.01.02.2008 8 Cikeas udik 32.01.02.2009 9 Nagrak 32.01.02.2010 10 Karanggan 32.01.03 3 Citeureup 2 12 32.01.03.2001 1 Puspasari 32.01.03.2002 2 Citeureup 32.01.03.2003 3 Leuwinutung
  • 2.
    2 K 0 DE NAMA PR0VINSI I KABUPATEN I K0TA JUMLAH N A M A I J U M L A H LUAS WILAYAH (Km2) JUMLAH PENDUDUK K E T E R A N G A N KAB K0TA KECAMATAN KELURAHAN D E S A 32.01.03.2004 4 Tajur 32.01.03.2005 5 Sanja 32.01.03.1006 1 Puspanegara 32.01.03.1007 2 Karang Asem Barat 32.01.03.2008 6 Karang Asem Timur 32.01.03.2009 7 Tarikolot 32.01.03.2010 8 Gunungsari 32.01.03.2011 9 Tangkil 32.01.03.2012 10 Sukahati 32.01.03.2013 11 Hambalang 32.01.03.2014 12 Pasirmukti 32.01.04 4 Sukaraja - 13 32.01.04.2001 1 Gununggeulis 32.01.04.2002 2 Cilebut Timur 32.01.04.2003 3 Cilebut Barat 32.01.04.2004 4 Cibanon 32.01.04.2005 5 Nagrak 32.01.04.2006 6 Sukatani 32.01.04.2007 7 Sukaraja 32.01.04.2008 8 Cikeas 32.01.04.2009 9 Pasir Jambu 32.01.04.2010 10 Cimandala 32.01.04.2011 11 Cijujung 32.01.04.2012 12 Cadasngampar 32.01.04.2013 13 Pasir Laja 32.01.05 5 Babakan Madang - 9 32.01.05.2001 1 Cijayanti 32.01.05.2002 2 Sumurbatu 32.01.05.2003 3 Sentul 32.01.05.2004 4 Karangtengah 32.01.05.2005 5 Cipambuan 32.01.05.2006 6 Kadumanggu 32.01.05.2007 7 Citaringgul 32.01.05.2008 8 Babakan Madang (Jiwa) **)
  • 3.
    3 K O DE NAMA PROVINSI I KABUPATEN I KOTA JUMLAH N A M A I J U M L A H LUAS WILAYAH (Km2) JUMLAH PENDUDUK K E T E R A N G A N KAB KOTA KECAMATAN KELURAHAN D E S A 32.01.05.2009 9 Bojong Koneng 32.01.06 6 Jonggol - 14 32.01.06.2001 1 Sukamaju 32.01.06.2002 2 Sirnagalih 32.01.06.2003 3 Singajaya 32.01.06.2004 4 Sukasirna 32.01.06.2005 5 Sukanegara 32.01.06.2006 6 Sukamanah 32.01.06.2007 7 Weninggalih 32.01.06.2008 8 Cibodas 32.01.06.2009 9 Jonggol 32.01.06.2010 10 Bendungan 32.01.06.2011 11 Singasari 32.01.06.2012 12 Balekambang 32.01.06.2013 13 Sukajaya 32.01.06.2014 14 Sukagalih 32.01.07 7 Cileungsi - 12 32.01.07.2001 1 Pasirangin 32.01.07.2002 2 Mekarsari 32.01.07.2003 3 Mampir 32.01.07.2004 4 Dayeuh 32.01.07.2005 5 Gandoang 32.01.07.2006 6 Jatisari 32.01.07.2007 7 Cileungsi Kidul 32.01.07.2008 8 Cipeucang 32.01.07.2009 9 Situsari 32.01.07.2010 10 Cipenjo 32.01.07.2011 11 Limusnunggal 32.01.07.2012 12 Cileungsi 32.01.08 8 Cariu - 10 32.01.08.2001 1 Karyamekar 32.01.08.2002 2 Babakanraden 32.01.08.2003 3 Cikutamahi 32.01.08.2004 4 Kutamekar (Jiwa) **)
  • 4.
    4 K 0 DE NAMA PR0VINSI I KABUPATEN I K0TA JUMLAH N A M A I J U M L A H LUAS WILAYAH (Km2) JUMLAH PENDUDUK K E T E R A N G A N KAB K0TA KECAMATAN KELURAHAN D E S A 32.01.08.2005 5 Cariu 32.01.08.2006 6 Mekarwangi 32.01.08.2007 7 Bantarkuning 32.01.08.2008 8 Sukajadi 32.01.08.2009 9 Tegalpanjang 32.01.08.2010 10 Cibatutiga 32.01.09 9 Sukamakmur - 10 32.01.09.2001 1 Wargajaya 32.01.09.2002 2 Pabuaran 32.01.09.2003 3 Sukadamai 32.01.09.2004 4 Sukawangi 32.01.09.2005 5 Cibadak 32.01.09.2006 6 Sukaresmi 32.01.09.2007 7 Sukamulya 32.01.09.2008 8 Sukaharja 32.01.09.2009 9 Sirnajaya 32.01.09.2010 10 Sukamakmur 32.01.10 10 Parung - 9 32.01.10.2001 1 Parung 32.01.10.2002 2 1wul 32.01.10.2003 3 Bojongsempu 32.01.10.2004 4 Waru 32.01.10.2005 5 Cogreg 32.01.10.2006 6 Pamegarsari 32.01.10.2007 7 Warujaya 32.01.10.2008 8 Bojongindah 32.01.10.2009 9 Jabonmekar 32.01.11 11 Gunung Sindur - 10 32.01.11.2001 1 Cidokom 32.01.11.2002 2 Padurenan 32.01.11.2003 3 Pengasinan 32.01.11.2004 4 Curug 32.01.11.2005 5 Gunungsindur 32.01.11.2006 6 Jampang (Jiwa) **)
  • 5.
    5 K O DE NAMA PROVINSI I KABUPATEN I KOTA JUMLAH N A M A I J U M L A H LUAS WILAYAH (Km2) JUMLAH PENDUDUK K E T E R A N G A N KAB KOTA KECAMATAN KELURAHAN D E S A 32.01.11.2007 7 Cibadung 32.01.11.2008 8 Cibinong 32.01.11.2009 9 Rawakalong 32.01.11.2010 10 Pabuaran 32.01.12 12 Kemang 1 8 32.01.12.2001 1 Bojong 32.01.12.2002 2 Parakanjaya 32.01.12.2003 3 Kemang 32.01.12.2004 4 Pabuaran 32.01.12.2005 5 Semplak Barat 32.01.12.1006 1 Atang Senjaya 32.01.12.2007 6 Jampang 32.01.12.2008 7 Pondok Udik 32.01.12.2009 8 Tegal 32.01.13 13 Bojong Gede - 9 32.01.13.2001 1 Bojongbaru 32.01.13.2002 2 Cimanggis 32.01.13.2003 3 Susukan 32.01.13.2004 4 Ragajaya 32.01.13.2005 5 Kedungwaringin 32.01.13.2006 6 Waringinjaya 32.01.13.2007 7 Pabuaran 32.01.13.2008 8 Rawapanjang 32.01.13.2009 9 Bojonggede 32.01.14 14 Leuwiliang - 11 32.01.14.2001 1 Leuwiliang 32.01.14.2002 2 Purasari 32.01.14.2003 3 Karyasari 32.01.14.2004 4 Pabangbon 32.01.14.2005 5 Karacak 32.01.14.2006 6 Barengkok 32.01.14.2007 7 Leuwimekar 32.01.14.2008 8 Puraseda 32.01.14.2009 9 Cibeber 1 (Jiwa) **)
  • 6.
    6 K 0 DE NAMA PR0VINSI I KABUPATEN I K0TA JUMLAH N A M A I J U M L A H LUAS WILAYAH (Km2) JUMLAH PENDUDUK K E T E R A N G A N KAB K0TA KECAMATAN KELURAHAN D E S A 32.01.14.2010 10 Cibeber 11 32.01.14.2011 11 Karehkel 32.01.15 15 Ciampea - 13 32.01.15.2001 1 Ciampea 32.01.15.2002 2 Cinangka 32.01.15.2003 3 Cihideungudik 32.01.15.2004 4 Bojongjengkol 32.01.15.2005 5 Tegalwaru 32.01.15.2006 6 Cibuntu 32.01.15.2007 7 Cicadas 32.01.15.2008 8 Cibadak 32.01.15.2009 9 Bojongrangkas 32.01.15.2010 10 Cihideunghilir 32.01.15.2011 11 Cibanteng 32.01.15.2012 12 Benteng 32.01.15.2013 13 Ciampea Udik 32.01.16 16 Cibungbulang - 15 32.01.16.2001 1 Situ Udik 32.01.16.2002 2 Situ 1lir 32.01.16.2003 3 Cemplang 32.01.16.2004 4 Cibatok 1 32.01.16.2005 5 Ciaruteun Udik 32.01.16.2006 6 Leuweungkolot 32.01.16.2007 7 Cimanggu 1 32.01.16.2008 8 Cimanggu 11 32.01.16.2009 9 Dukuh 32.01.16.2010 10 Cijujung 32.01.16.2011 11 Ciaruteun 1lir 32.01.16.2012 12 Cibatok 11 32.01.16.2013 13 Sukamaju 32.01.16.2014 14 Galuga 32.01.16.2015 15 Girimulya 32.01.17 17 Pamijahan - 15 32.01.17.2001 1 Purwabakti (Jiwa) **)
  • 7.
    7 K O DE NAMA PROVINSI I KABUPATEN I KOTA JUMLAH N A M A I J U M L A H LUAS WILAYAH (Km2) JUMLAH PENDUDUK K E T E R A N G A N KAB KOTA KECAMATAN KELURAHAN D E S A 32.01.17.2002 2 Cibunian 32.01.17.2003 3 Cibitungwetan 32.01.17.2004 4 Gunungmenyan 32.01.17.2005 5 Gunungbunder 11 32.01.17.2006 6 Pasarean 32.01.17.2007 7 Cimayang 32.01.17.2008 8 Pamijahan 32.01.17.2009 9 Cibening 32.01.17.2010 10 Gunungbunder 1 32.01.17.2011 11 Cibitung Kulon 32.01.17.2012 12 Gunung Picung 32.01.17.2013 13 Ciasihan 32.01.17.2014 14 Gunungsari 32.01.17.2015 15 Ciasmara 32.01.18 18 Rumpin - 13 32.01.18.2001 1 Rumpin 32.01.18.2002 2 Leuwibatu 32.01.18.2003 3 Cidokom 32.01.18.2004 4 Gobang 32.01.18.2005 5 Cibodas 32.01.18.2006 6 Rabak 32.01.18.2007 7 Kampungsawah 32.01.18.2008 8 Cipinang 32.01.18.2009 9 Sukasari 32.01.18.2010 10 Tamansari 32.01.18.2011 11 Kertajaya 32.01.18.2012 12 Sukamulya 32.01.18.2013 13 Mekarsari 32.01.19 19 Jasinga - 15 32.01.19.2001 1 Curug 32.01.19.2002 2 Pangradin 32.01.19.2003 3 Kalongsawah 32.01.19.2004 4 Sipak 32.01.19.2005 5 Jasinga (Jiwa) **)
  • 8.
    8 K 0 DE NAMA PR0VINSI I KABUPATEN I K0TA JUMLAH N A M A I J U M L A H LUAS WILAYAH (Km2) JUMLAH PENDUDUK K E T E R A N G A N KAB K0TA KECAMATAN KELURAHAN D E S A 32.01.19.2006 6 Koleang 32.01.19.2007 7 Cikopomayak 32.01.19.2008 8 Setu 32.01.19.2009 9 Barengkok 32.01.19.2010 10 Bagoang 32.01.19.2011 11 Pangaur 32.01.19.2012 12 Pamagersari 32.01.19.2013 13 Jugala Jaya 32.01.19.2014 14 Tegalwangi 32.01.19.2015 15 Neglasari 32.01.20 20 Parung Panjang - 11 32.01.20.2001 1 Jagabaya 32.01.20.2002 2 Gorowong 32.01.20.2003 3 Dago 32.01.20.2004 4 Pingku 32.01.20.2005 5 Cikuda 32.01.20.2006 6 Parung Panjang 32.01.20.2007 7 Lumpang 32.01.20.2008 8 Cibunar 32.01.20.2009 9 Jagabita 32.01.20.2010 10 Gintung Cilejet 32.01.20.2011 11 Kabasiran 32.01.21 21 Nanggung - 10 32.01.21.2001 1 Malasari 32.01.21.2002 2 Curugbitung 32.01.21.2003 3 Cisarua 32.01.21.2004 4 Bantarkaret 32.01.21.2005 5 Hambaro 32.01.21.2006 6 Kalongliud 32.01.21.2007 7 Nanggung 32.01.21.2008 8 Parakanmuncang 32.01.21.2009 9 Pangkaljaya 32.01.21.2010 10 Sukaluyu 32.01.22 22 Cigudeg - 15 (Jiwa) **)
  • 9.
    9 K O DE NAMA PROVINSI I KABUPATEN I KOTA JUMLAH N A M A I J U M L A H LUAS WILAYAH (Km2) JUMLAH PENDUDUK K E T E R A N G A N KAB KOTA KECAMATAN KELURAHAN D E S A 32.01.22.2001 1 Sukamaju 32.01.22.2002 2 Cigudeg 32.01.22.2003 3 Bunar 32.01.22.2004 4 Banyuresmi 32.01.22.2005 5 Cintamanik 32.01.22.2006 6 Argapura 32.01.22.2007 7 Bangunjaya 32.01.22.2008 8 Rengasjajar 32.01.22.2009 9 Batujajar 32.01.22.2010 10 Wargajaya 32.01.22.2011 11 Sukaraksa 32.01.22.2012 12 Banyuwangi 32.01.22.2013 13 Banyuasih 32.01.22.2014 14 Mekarjaya 32.01.22.2015 15 Tegal Lega 32.01.23 23 Tenjo - 9 32.01.23.2001 1 Tapos 32.01.23.2002 2 Ciomas 32.01.23.2003 3 Batok 32.01.23.2004 4 Babakan 32.01.23.2005 5 Tenjo 32.01.23.2006 6 Cilaku 32.01.23.2007 7 Singabraja 32.01.23.2008 8 Singabangsa 32.01.23.2009 9 Bojong 32.01.24 24 Ciawi - 13 32.01.24.2001 1 Cileungsi 32.01.24.2002 2 Citapen 32.01.24.2003 3 Cibedug 32.01.24.2004 4 Jambuluwuk 32.01.24.2005 5 Bantarsari 32.01.24.2006 6 Teluk Pinang 32.01.24.2007 7 Banjar Waru 32.01.24.2008 8 Bendungan (Jiwa) **)
  • 10.
    10 K 0 DE NAMA PR0VINSI I KABUPATEN I K0TA JUMLAH N A M A I J U M L A H LUAS WILAYAH (Km2) JUMLAH PENDUDUK K E T E R A N G A N KAB K0TA KECAMATAN KELURAHAN D E S A 32.01.24.2009 9 Pandan Sari 32.01.24.2010 10 Bojong Murni 32.01.24.2011 11 Banjar Wangi 32.01.24.2012 12 Ciawi 32.01.24.2013 13 Bitungsari 32.01.25 25 Cisarua 1 9 32.01.25.2001 1 Batulayang 32.01.25.2002 2 Jogjogan 32.01.25.2003 3 Cibeureum 32.01.25.2004 4 Cilember 32.01.25.2005 5 Citeko 32.01.25.2006 6 Tugu Selatan 32.01.25.2007 7 Leuwimalang 32.01.25.2008 8 Kopo 32.01.25.2009 9 Tugu Utara 32.01.25.1010 1 Cisarua 32.01.26 26 Megamendung - 11 32.01.26.2001 1 Sukamaju 32.01.26.2002 2 Kuta 32.01.26.2003 3 Gadog 32.01.26.2004 4 Sukakarya 32.01.26.2005 5 Megamendung 32.01.26.2006 6 Cipayung Datar 32.01.26.2007 7 Sukamanah 32.01.26.2008 8 Sukagalih 32.01.26.2009 9 Cipayung Girang 32.01.26.2010 10 Sukamahi 32.01.26.2011 11 Sukaresmi 32.01.27 27 Caringin - 12 32.01.27.2001 1 Pasir Muncang 32.01.27.2002 2 Cimande Hilir 32.01.27.2003 3 Ciderum 32.01.27.2004 4 Caringin 32.01.27.2005 5 Ciherang Pondok (Jiwa) **)
  • 11.
    11 K O DE NAMA PROVINSI I KABUPATEN I KOTA JUMLAH N A M A I J U M L A H LUAS WILAYAH (Km2) JUMLAH PENDUDUK K E T E R A N G A N KAB KOTA KECAMATAN KELURAHAN D E S A 32.01.27.2006 6 Cinagara 32.01.27.2007 7 Cimande 32.01.27.2008 8 Pancawati 32.01.27.2009 9 Muara Jaya 32.01.27.2010 10 Basir Buncir 32.01.27.2011 11 Lemah Duhur 32.01.27.2012 12 Tangkil 32.01.28 28 Cijeruk - 9 32.01.28.2001 1 Cijeruk 32.01.28.2002 2 Cipelang 32.01.28.2003 3 Warung Menteng 32.01.28.2004 4 Tajur Halang 32.01.28.2005 5 Cipicung 32.01.28.2006 6 Cibalung 32.01.28.2007 7 Sukaharja 32.01.28.2008 8 Palasari 32.01.28.2009 9 Tanjung Sari 32.01.29 29 Ciomas - 11 32.01.29.2001 1 Mekarjaya 32.01.29.2002 2 Sukaharja 32.01.29.2003 3 Padasuka 32.01.29.2004 4 Parakan 32.01.29.2005 5 Ciomas 32.01.29.2006 6 Pagelaran 32.01.29.2007 7 Sukamakmur 32.01.29.2008 8 Ciapaus 32.01.29.2009 9 Kota Batu 32.01.29.2010 10 Laladon 32.01.29.2011 11 Ciomas Rahayu 32.01.30 30 Dramaga - 10 32.01.30.2001 1 Sukadamai 32.01.30.2002 2 Ciherang 32.01.30.2003 3 Sinarsari 32.01.30.2004 4 Sukawening (Jiwa) **)
  • 12.
    12 K 0 DE NAMA PR0VINSI I KABUPATEN I K0TA JUMLAH N A M A I J U M L A H LUAS WILAYAH (Km2) JUMLAH PENDUDUK K E T E R A N G A N KAB K0TA KECAMATAN KELURAHAN D E S A 32.01.30.2005 5 Petir 32.01.30.2006 6 Purwasari 32.01.30.2007 7 Cikarawang 32.01.30.2008 8 Babakan 32.01.30.2009 9 Dramaga 32.01.30.2010 10 Neglasari 32.01.31 31 Tamansari - 8 32.01.31.2001 1 Sukamantri 32.01.31.2002 2 Sinargalih 32.01.31.2003 3 Pasir Eurih 32.01.31.2004 4 Tamansari 32.01.31.2005 5 Sukaluyu 32.01.31.2006 6 Sukaresmi 32.01.31.2007 7 Sukajaya 32.01.31.2008 8 Sukajadi 32.01.32 32 Klapanunggal - 9 32.01.32.2001 1 Klapanunggal 32.01.32.2002 2 Bojong 32.01.32.2003 3 Nambo 32.01.32.2004 4 Lulut 32.01.32.2005 5 Cikahuripan 32.01.32.2006 6 Kembang Kuning 32.01.32.2007 7 Bantarjati 32.01.32.2008 8 Leuwikaret 32.01.32.2009 9 Ligarmukti 32.01.33 33 Ciseeng - 10 32.01.33.2001 1 Putat Nutug 32.01.33.2002 2 Ciseeng 32.01.33.2003 3 Parigi Mekar 32.01.33.2004 4 Cibentang 32.01.33.2005 5 Cibeuteung Udik 32.01.33.2006 6 Karihkil 32.01.33.2007 7 Babakan 32.01.33.2008 8 Cihoe (Jiwa) **)
  • 13.
    13 K O DE NAMA PROVINSI I KABUPATEN I KOTA JUMLAH N A M A I J U M L A H LUAS WILAYAH (Km2) JUMLAH PENDUDUK K E T E R A N G A N KAB KOTA KECAMATAN KELURAHAN D E S A 32.01.33.2009 9 Cibeuteung Muara 32.01.33.2010 10 Kuripan 32.01.34 34 Rancabungur - 6 32.01.34.2001 1 Bantarjaya 32.01.34.2002 2 Bantarsari 32.01.34.2003 3 Pasirgaok 32.01.34.2004 4 Rancabungur 32.01.34.2005 5 Mekarsari 32.01.34.2006 6 Candali 32.01.35 35 Sukajaya - 9 32.01.35.2001 1 Cisarua 32.01.35.2002 2 Kiarasari 32.01.35.2003 3 Sukajaya 32.01.35.2004 4 Cipayung 32.01.35.2005 5 Cileuksa 32.01.35.2006 6 Kiarapandak 32.01.35.2007 7 Harkatjaya 32.01.35.2008 8 Sukamulih 32.01.35.2009 9 Pasirmadang 32.01.36 36 Tanjungsari - 10 32.01.36.2001 1 Tanjungsari 32.01.36.2002 2 Selawangi 32.01.36.2003 3 Tanjungrasa 32.01.36.2004 4 Antajaya 32.01.36.2005 5 Pasir Tanjung 32.01.36.2006 6 Cibadak 32.01.36.2007 7 Sukarasa 32.01.36.2008 8 Sirnasari 32.01.36.2009 9 Buanajaya 32.01.36.2010 10 Sirnarasa 32.01.37 37 Tajurhalang - 7 32.01.37.2001 1 Tajurhalang 32.01.37.2002 2 Citayam 32.01.37.2003 3 Sasakpanjang (Jiwa) **)
  • 14.
    14 K 0 DE NAMA PR0VINSI I KABUPATEN I K0TA JUMLAH N A M A I J U M L A H LUAS WILAYAH (Km2) JUMLAH PENDUDUK K E T E R A N G A N KAB K0TA KECAMATAN KELURAHAN D E S A 32.01.37.2004 4 Nanggerang 32.01.37.2005 5 Sukmajaya 32.01.37.2006 6 Tonjong 32.01.37.2007 7 Kalisuren 32.01.38 38 Cigombong - 9 32.01.38.2001 1 Cigombong 32.01.38.2002 2 Watesjaya 32.01.38.2003 3 Ciburuy 32.01.38.2004 4 Srogol 32.01.38.2005 5 Cisalada 32.01.38.2006 6 Tugujaya 32.01.38.2007 7 Pasir Jaya 32.01.38.2008 8 Ciburayut 32.01.38.2009 9 Ciadeg 32.01.39 39 Leuwisadeng - 8 32.01.39.2001 1 Leuwisadeng 32.01.39.2002 2 Babakan Sadeng 32.01.39.2003 3 Sadeng Kolot 32.01.39.2004 4 Wangunjaya 32.01.39.2005 5 Kalong 1 32.01.39.2006 6 Kalong 11 32.01.39.2007 7 Sadeng 32.01.39.2008 8 Sibanteng 32.01.40 40 Tenjolaya - 6 32.01.40.2001 1 Tapos 1 32.01.40.2002 2 Tapos 11 32.01.40.2003 3 Cibitung Tengah 32.01.40.2004 4 Situdaun 32.01.40.2005 5 Cinangneng 32.01.40.2006 6 Gunungmalang (Jiwa) **)