Herunterladen – 30 Tage kostenlos
Anmelden
Hochladen
Sprache (DE)
Support
Business
Mobil
Soziale Medien
Marketing
Technologie
Kunst & Fotos
Karriere
Design
Bildung
Präsentationen & Vorträge
Regierungs- und gemeinnützige Organisationen
Gesundheitswesen
Internet
Recht
Leadership & Management
Automobil
Ingenieurwesen
Software
Personalbeschaffung & Personalwesen
Einzelhandel
Vertrieb
Serviceleistungen
Wissenschaft
Kleinunternehmen & Unternehmertum
Lebensmittel
Umweltschutz
Wirtschaft & Finanzen
Daten & Analysen
Investorbeziehungen
Sport
Seele & Geist
News & Politik
Reisen
Weiterbildung und Persönlichkeitsentwicklung
Immobilien
Unterhaltung & Humor
Gesundheit & Medizin
Geräte & Hardware
Lifestyle
Sprache ändern
Sprache
English
Español
Português
Français
Deutsche
Abbrechen
Speichern
DE
Hochgeladen von
Iwan Pranoto
PPT, PDF
209 aufrufe
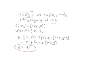
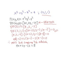
Kalkulus 2A – minggu 10A
Ini kuliah minggu ke-10 hari pertama.
Bildung
◦
Mehr lesen
0
Speichern
Teilen
Einbetten
Präsentation einbetten
Herunterladen
90-mal heruntergeladen
1
/ 12
2
/ 12
3
/ 12
4
/ 12
5
/ 12
6
/ 12
7
/ 12
8
/ 12
9
/ 12
10
/ 12
11
/ 12
12
/ 12
Weitere ähnliche Inhalte
PPTX
Viewing Nature through Math Lenses
von
Iwan Pranoto
PPT
NCA consumer empowerment research
von
National Consumer Agency
PDF
Menakar budaya bernalar - 11/12/13
von
Iwan Pranoto
PDF
COBOL技術者のためのjava勉強会2
von
naka hide
PPTX
Week 5
von
Iwan Pranoto
PPT
Kalkulus 2A minggu 2
von
Iwan Pranoto
PDF
AHRI Article on HR 2.0
von
gxdoyle
PPTX
นางสาว หัทยา เชื้อสมเกียรติ ม.5
von
hattayagif
Viewing Nature through Math Lenses
von
Iwan Pranoto
NCA consumer empowerment research
von
National Consumer Agency
Menakar budaya bernalar - 11/12/13
von
Iwan Pranoto
COBOL技術者のためのjava勉強会2
von
naka hide
Week 5
von
Iwan Pranoto
Kalkulus 2A minggu 2
von
Iwan Pranoto
AHRI Article on HR 2.0
von
gxdoyle
นางสาว หัทยา เชื้อสมเกียรติ ม.5
von
hattayagif
Andere mochten auch
PDF
Guru merdeka versi panjang
von
Iwan Pranoto
PPT
Week 8
von
Iwan Pranoto
PPT
Week 4b
von
Iwan Pranoto
PDF
Picnic photo editing
von
bluelleo
PPT
Kalkulus 2 minggu 10
von
Iwan Pranoto
PPTX
Kalkulus 2 minggu 11
von
Iwan Pranoto
PPTX
Kalkulus minggu 8
von
Iwan Pranoto
PPT
Matek 1 minggu 8-9
von
Iwan Pranoto
PPTX
UN: Sebuah Kompas Rusak
von
Iwan Pranoto
PDF
Week 3
von
Iwan Pranoto
PDF
Week 2
von
Iwan Pranoto
PPTX
Picnic photo editing
von
bluelleo
PPT
Week 7
von
Iwan Pranoto
PPT
Kalkulus 2A – minggu 11
von
Iwan Pranoto
PPT
Matek 1 minggu 13
von
Iwan Pranoto
PDF
Banking and Finance supplement
von
Michael Hill
Guru merdeka versi panjang
von
Iwan Pranoto
Week 8
von
Iwan Pranoto
Week 4b
von
Iwan Pranoto
Picnic photo editing
von
bluelleo
Kalkulus 2 minggu 10
von
Iwan Pranoto
Kalkulus 2 minggu 11
von
Iwan Pranoto
Kalkulus minggu 8
von
Iwan Pranoto
Matek 1 minggu 8-9
von
Iwan Pranoto
UN: Sebuah Kompas Rusak
von
Iwan Pranoto
Week 3
von
Iwan Pranoto
Week 2
von
Iwan Pranoto
Picnic photo editing
von
bluelleo
Week 7
von
Iwan Pranoto
Kalkulus 2A – minggu 11
von
Iwan Pranoto
Matek 1 minggu 13
von
Iwan Pranoto
Banking and Finance supplement
von
Michael Hill
Mehr von Iwan Pranoto
DOCX
Menegur Kembali Pentingnya Pembangunan Budaya Bernalar
von
Iwan Pranoto
PPT
Ringkasan Indonesia di TIMSS 2003
von
Iwan Pranoto
PPTX
Kasmaran Bernalar serta Strategi Penyebarannya
von
Iwan Pranoto
DOCX
Sebuah Ringkasan: Menyemai Benih Budaya Ilmiah di Pembelajaran Matematika dan...
von
Iwan Pranoto
PPTX
Passion to Teach, Conceptual Mastery
von
Iwan Pranoto
PPTX
Mengukur Pemahaman
von
Iwan Pranoto
PPTX
Matematika sebagai Kata Kerja
von
Iwan Pranoto
PPTX
Mengintip Kompleksitas
von
Iwan Pranoto
PPTX
Kerangka Membelajarkan Matematika
von
Iwan Pranoto
PPTX
Developing Culture through Math & Science Education
von
Iwan Pranoto
PPTX
Berbahasa untuk Bernalar
von
Iwan Pranoto
PPTX
Karakter Pendidikan Karakter
von
Iwan Pranoto
PPTX
Menakar Budaya Bernalar Bangsa melalui PISA 2013
von
Iwan Pranoto
PPTX
Mempertanyakan Rasionalitas dan Estetika Matematika
von
Iwan Pranoto
PPTX
Menafsirkan Gagasan Tan Malaka dalam Pendidikan Matematika final
von
Iwan Pranoto
DOCX
Tan Malaka
von
Iwan Pranoto
PDF
Kasmaran Tan Malaka Bermatematika
von
Iwan Pranoto
PPTX
UN LOT VS HOT
von
Iwan Pranoto
PPTX
Mengukur kecakapan mematematikakan final
von
Iwan Pranoto
DOCX
Mengukur Kecakapan Mematematikakan dan Menafsirkan sebagai Kecakapan Utama di...
von
Iwan Pranoto
Menegur Kembali Pentingnya Pembangunan Budaya Bernalar
von
Iwan Pranoto
Ringkasan Indonesia di TIMSS 2003
von
Iwan Pranoto
Kasmaran Bernalar serta Strategi Penyebarannya
von
Iwan Pranoto
Sebuah Ringkasan: Menyemai Benih Budaya Ilmiah di Pembelajaran Matematika dan...
von
Iwan Pranoto
Passion to Teach, Conceptual Mastery
von
Iwan Pranoto
Mengukur Pemahaman
von
Iwan Pranoto
Matematika sebagai Kata Kerja
von
Iwan Pranoto
Mengintip Kompleksitas
von
Iwan Pranoto
Kerangka Membelajarkan Matematika
von
Iwan Pranoto
Developing Culture through Math & Science Education
von
Iwan Pranoto
Berbahasa untuk Bernalar
von
Iwan Pranoto
Karakter Pendidikan Karakter
von
Iwan Pranoto
Menakar Budaya Bernalar Bangsa melalui PISA 2013
von
Iwan Pranoto
Mempertanyakan Rasionalitas dan Estetika Matematika
von
Iwan Pranoto
Menafsirkan Gagasan Tan Malaka dalam Pendidikan Matematika final
von
Iwan Pranoto
Tan Malaka
von
Iwan Pranoto
Kasmaran Tan Malaka Bermatematika
von
Iwan Pranoto
UN LOT VS HOT
von
Iwan Pranoto
Mengukur kecakapan mematematikakan final
von
Iwan Pranoto
Mengukur Kecakapan Mematematikakan dan Menafsirkan sebagai Kecakapan Utama di...
von
Iwan Pranoto
Kalkulus 2A – minggu 10A
1.
Kalkulus 2A –
Minggu 10A Iwan Pranoto
2.
3.
4.
5.
6.
7.
8.
9.
10.
11.
12.
Herunterladen