Herunterladen – 30 Tage kostenlos
Anmelden
Hochladen
Sprache (DE)
Support
Business
Mobil
Soziale Medien
Marketing
Technologie
Kunst & Fotos
Karriere
Design
Bildung
Präsentationen & Vorträge
Regierungs- und gemeinnützige Organisationen
Gesundheitswesen
Internet
Recht
Leadership & Management
Automobil
Ingenieurwesen
Software
Personalbeschaffung & Personalwesen
Einzelhandel
Vertrieb
Serviceleistungen
Wissenschaft
Kleinunternehmen & Unternehmertum
Lebensmittel
Umweltschutz
Wirtschaft & Finanzen
Daten & Analysen
Investorbeziehungen
Sport
Seele & Geist
News & Politik
Reisen
Weiterbildung und Persönlichkeitsentwicklung
Immobilien
Unterhaltung & Humor
Gesundheit & Medizin
Geräte & Hardware
Lifestyle
Sprache ändern
Sprache
English
Español
Português
Français
Deutsche
Abbrechen
Speichern
Suche senden
DE
Hochgeladen von
jchartiersjsd
95 aufrufe
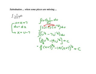
Day 3 examples
Mehr lesen
0
Speichern
Teilen
Einbetten
Präsentation einbetten
Herunterladen
Downloaden Sie, um offline zu lesen
1
/ 7
2
/ 7
3
/ 7
4
/ 7
5
/ 7
6
/ 7
7
/ 7
Weitere ähnliche Inhalte
PPTX
AP Calculus BC Series Multiple Choice Solutions
von
jaflint718
PDF
Day 4 examples
von
jchartiersjsd
PDF
Day 5 examples
von
jchartiersjsd
PDF
Day 5 examples
von
jchartiersjsd
PDF
Day 1 examples
von
jchartiersjsd
PDF
Day 2 examples
von
jchartiersjsd
PDF
Day 7 examples
von
jchartiersjsd
PDF
Day 6 examples
von
jchartiersjsd
AP Calculus BC Series Multiple Choice Solutions
von
jaflint718
Day 4 examples
von
jchartiersjsd
Day 5 examples
von
jchartiersjsd
Day 5 examples
von
jchartiersjsd
Day 1 examples
von
jchartiersjsd
Day 2 examples
von
jchartiersjsd
Day 7 examples
von
jchartiersjsd
Day 6 examples
von
jchartiersjsd
Mehr von jchartiersjsd
PDF
Exam outline j14
von
jchartiersjsd
PDF
Test outline
von
jchartiersjsd
PDF
Combs perms review pascals
von
jchartiersjsd
PDF
Day 8 examples u7w14
von
jchartiersjsd
PDF
Day 7 examples u7w14
von
jchartiersjsd
PDF
Day 4 examples u7w14
von
jchartiersjsd
PDF
Day 3 examples u7w14
von
jchartiersjsd
PDF
Day 2 examples u7w14
von
jchartiersjsd
PDF
Day 1 examples u7w14
von
jchartiersjsd
PDF
Test outline comp rational
von
jchartiersjsd
PDF
Day 7 examples u6w14
von
jchartiersjsd
PDF
Day 5 examples u6w14
von
jchartiersjsd
PDF
Day 4 examples u6w14
von
jchartiersjsd
PDF
Day 3 examples u6w14
von
jchartiersjsd
PDF
Day 2 examples u6w14
von
jchartiersjsd
PDF
Day 1 examples u6w14
von
jchartiersjsd
PDF
Mental math test outline
von
jchartiersjsd
PDF
Day 8 examples u5w14
von
jchartiersjsd
PDF
Day 7 examples u5w14
von
jchartiersjsd
PDF
Day 5 examples u5w14
von
jchartiersjsd
Exam outline j14
von
jchartiersjsd
Test outline
von
jchartiersjsd
Combs perms review pascals
von
jchartiersjsd
Day 8 examples u7w14
von
jchartiersjsd
Day 7 examples u7w14
von
jchartiersjsd
Day 4 examples u7w14
von
jchartiersjsd
Day 3 examples u7w14
von
jchartiersjsd
Day 2 examples u7w14
von
jchartiersjsd
Day 1 examples u7w14
von
jchartiersjsd
Test outline comp rational
von
jchartiersjsd
Day 7 examples u6w14
von
jchartiersjsd
Day 5 examples u6w14
von
jchartiersjsd
Day 4 examples u6w14
von
jchartiersjsd
Day 3 examples u6w14
von
jchartiersjsd
Day 2 examples u6w14
von
jchartiersjsd
Day 1 examples u6w14
von
jchartiersjsd
Mental math test outline
von
jchartiersjsd
Day 8 examples u5w14
von
jchartiersjsd
Day 7 examples u5w14
von
jchartiersjsd
Day 5 examples u5w14
von
jchartiersjsd
Day 3 examples
1.
U-Substitution
Herunterladen